当前位置:首页>文档>2017年高考数学试卷(理)(新课标Ⅱ)(空白卷)_历年高考真题合集_数学历年高考真题_新·PDF版2008-2025·高考数学真题_数学(按省份分类)2008-2025_2008-2025·(新疆)数学高考真题

2017年高考数学试卷(理)(新课标Ⅱ)(空白卷)_历年高考真题合集_数学历年高考真题_新·PDF版2008-2025·高考数学真题_数学(按省份分类)2008-2025_2008-2025·(新疆)数学高考真题

  • 2026-04-10 09:10:49 2026-01-27 15:59:23

文档预览

2017年高考数学试卷(理)(新课标Ⅱ)(空白卷)_历年高考真题合集_数学历年高考真题_新·PDF版2008-2025·高考数学真题_数学(按省份分类)2008-2025_2008-2025·(新疆)数学高考真题
2017年高考数学试卷(理)(新课标Ⅱ)(空白卷)_历年高考真题合集_数学历年高考真题_新·PDF版2008-2025·高考数学真题_数学(按省份分类)2008-2025_2008-2025·(新疆)数学高考真题
2017年高考数学试卷(理)(新课标Ⅱ)(空白卷)_历年高考真题合集_数学历年高考真题_新·PDF版2008-2025·高考数学真题_数学(按省份分类)2008-2025_2008-2025·(新疆)数学高考真题
2017年高考数学试卷(理)(新课标Ⅱ)(空白卷)_历年高考真题合集_数学历年高考真题_新·PDF版2008-2025·高考数学真题_数学(按省份分类)2008-2025_2008-2025·(新疆)数学高考真题
2017年高考数学试卷(理)(新课标Ⅱ)(空白卷)_历年高考真题合集_数学历年高考真题_新·PDF版2008-2025·高考数学真题_数学(按省份分类)2008-2025_2008-2025·(新疆)数学高考真题
2017年高考数学试卷(理)(新课标Ⅱ)(空白卷)_历年高考真题合集_数学历年高考真题_新·PDF版2008-2025·高考数学真题_数学(按省份分类)2008-2025_2008-2025·(新疆)数学高考真题
2017年高考数学试卷(理)(新课标Ⅱ)(空白卷)_历年高考真题合集_数学历年高考真题_新·PDF版2008-2025·高考数学真题_数学(按省份分类)2008-2025_2008-2025·(新疆)数学高考真题
2017年高考数学试卷(理)(新课标Ⅱ)(空白卷)_历年高考真题合集_数学历年高考真题_新·PDF版2008-2025·高考数学真题_数学(按省份分类)2008-2025_2008-2025·(新疆)数学高考真题
2017年高考数学试卷(理)(新课标Ⅱ)(空白卷)_历年高考真题合集_数学历年高考真题_新·PDF版2008-2025·高考数学真题_数学(按省份分类)2008-2025_2008-2025·(新疆)数学高考真题
2017年高考数学试卷(理)(新课标Ⅱ)(空白卷)_历年高考真题合集_数学历年高考真题_新·PDF版2008-2025·高考数学真题_数学(按省份分类)2008-2025_2008-2025·(新疆)数学高考真题
2017年高考数学试卷(理)(新课标Ⅱ)(空白卷)_历年高考真题合集_数学历年高考真题_新·PDF版2008-2025·高考数学真题_数学(按省份分类)2008-2025_2008-2025·(新疆)数学高考真题

文档信息

文档格式
pdf
文档大小
0.172 MB
文档页数
7 页
上传时间
2026-01-27 15:59:23

文档内容

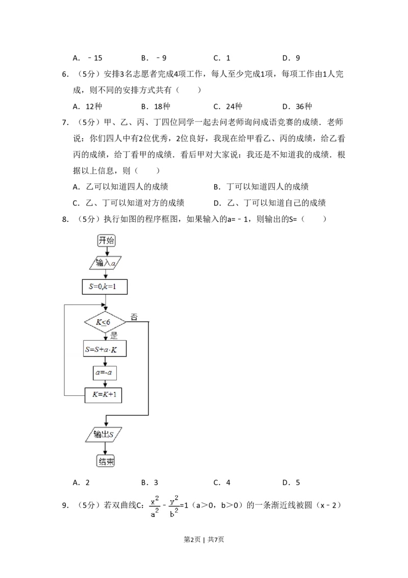
2017年全国统一高考数学试卷(理科)(新课标Ⅱ) 一、选择题:本题共12小题,每小题5分,共60分。在每小题给出的四个选项 中,只有一项是符合题目要求的。 1.(5分) =( ) A.1+2i B.1﹣2i C.2+i D.2﹣i 2.(5分)设集合A={1,2,4},B={x|x2﹣4x+m=0}.若A∩B={1},则B=( ) A.{1,﹣3} B.{1,0} C.{1,3} D.{1,5} 3.(5分)我国古代数学名著《算法统宗》中有如下问题:“远看巍巍塔七层 ,红光点点倍加增,共灯三百八十一,请问尖头几盏灯?”意思是:一座7层 塔共挂了381盏灯,且相邻两层中的下一层灯数是上一层灯数的2倍,则塔的 顶层共有灯( ) A.1盏 B.3盏 C.5盏 D.9盏 4.(5分)如图,网格纸上小正方形的边长为1,粗实线画出的是某几何体的 三视图,该几何体由一平面将一圆柱截去一部分后所得,则该几何体的体积 为( ) A.90π B.63π C.42π D.36π 5.(5分)设x,y满足约束条件 ,则z=2x+y的最小值是( ) 第1页 | 共7页A.﹣15 B.﹣9 C.1 D.9 6.(5分)安排3名志愿者完成4项工作,每人至少完成1项,每项工作由1人完 成,则不同的安排方式共有( ) A.12种 B.18种 C.24种 D.36种 7.(5分)甲、乙、丙、丁四位同学一起去问老师询问成语竞赛的成绩.老师 说:你们四人中有2位优秀,2位良好,我现在给甲看乙、丙的成绩,给乙看 丙的成绩,给丁看甲的成绩.看后甲对大家说:我还是不知道我的成绩.根 据以上信息,则( ) A.乙可以知道四人的成绩 B.丁可以知道四人的成绩 C.乙、丁可以知道对方的成绩 D.乙、丁可以知道自己的成绩 8.(5分)执行如图的程序框图,如果输入的a=﹣1,则输出的S=( ) A.2 B.3 C.4 D.5 9.(5分)若双曲线C: ﹣ =1(a>0,b>0)的一条渐近线被圆(x﹣2) 第2页 | 共7页2+y2=4所截得的弦长为2,则C的离心率为( ) A.2 B. C. D. 10.(5分)已知直三棱柱ABC﹣A B C 中,∠ABC=120°,AB=2,BC=CC =1,则 1 1 1 1 异面直线AB 与BC 所成角的余弦值为( ) 1 1 A. B. C. D. 11.(5分)若x=﹣2是函数f(x)=(x2+ax﹣1)ex﹣1的极值点,则f(x)的极小 值为( ) A.﹣1 B.﹣2e﹣3 C.5e﹣3 D.1 12.(5分)已知△ABC是边长为2的等边三角形,P为平面ABC内一点,则 •( + )的最小值是( ) A.﹣2 B.﹣ C.﹣ D.﹣1 二、填空题:本题共4小题,每小题5分,共20分。 13.(5分)一批产品的二等品率为0.02,从这批产品中每次随机取一件,有放 回地抽取100次.X表示抽到的二等品件数,则DX= . 14.(5分)函数f(x)=sin2x+ cosx﹣ (x∈[0, ])的最大值是 . 15.(5分)等差数列{a }的前n项和为S ,a =3,S =10,则 = . n n 3 4 16.(5分)已知F是抛物线C:y2=8x的焦点,M是C上一点,FM的延长线交y轴 于点N.若M为FN的中点,则|FN|= . 三、解答题:共70分。解答应写出文字说明、证明过程或演算步骤.第17~21 题为必考题,每个试题考生都必须作答.第22、23题为选考题,考生根据 要求作答.(一)必考题:共60分。 17.(12分)△ABC的内角A,B,C的对边分别为a,b,c,已知sin(A+C)=8si n2 . (1)求cosB; (2)若a+c=6,△ABC的面积为2,求b. 第3页 | 共7页18.(12分)海水养殖场进行某水产品的新、旧网箱养殖方法的产量对比,收 获时各随机抽取了100个网箱,测量各箱水产品的产量(单位:kg),其频 率分布直方图如图: (1)设两种养殖方法的箱产量相互独立,记A表示事件“旧养殖法的箱产量低 于50kg,新养殖法的箱产量不低于50kg”,估计A的概率; (2)填写下面列联表,并根据列联表判断是否有99%的把握认为箱产量与养殖 方法有关: 箱产量<50kg 箱产量≥50kg 旧养殖法 新养殖法 (3)根据箱产量的频率分布直方图,求新养殖法箱产量的中位数的估计值( 精确到0.01). 附: P(K2≥k) 0.050 0.010 0.001 k 3.841 6.635 10.828 K2= . 第4页 | 共7页19.(12分)如图,四棱锥P﹣ABCD中,侧面PAD为等边三角形且垂直于底面A BCD,AB=BC= AD,∠BAD=∠ABC=90°,E是PD的中点. (1)证明:直线CE∥平面PAB; (2)点M在棱PC上,且直线BM与底面ABCD所成角为45°,求二面角M﹣AB﹣D 的余弦值. 20.(12分)设O为坐标原点,动点M在椭圆C: +y2=1上,过M作x轴的垂线 ,垂足为N,点P满足 = . (1)求点P的轨迹方程; (2)设点Q在直线x=﹣3上,且 • =1.证明:过点P且垂直于OQ的直线l过C 的左焦点F. 第5页 | 共7页21.(12分)已知函数f(x)=ax2﹣ax﹣xlnx,且f(x)≥0. (1)求a; (2)证明:f(x)存在唯一的极大值点x ,且e﹣2<f(x )<2﹣2. 0 0 (二)选考题:共10分。请考生在第22、23题中任选一题作答。如果多做,则 按所做的第一题计分。[选修4-4:坐标系与参数方程](10分) 22.(10分)在直角坐标系xOy中,以坐标原点为极点,x轴的正半轴为极轴建 立极坐标系,曲线C 的极坐标方程为ρcosθ=4. 1 (1)M为曲线C 上的动点,点P在线段OM上,且满足|OM|•|OP|=16,求点P 1 的轨迹C 的直角坐标方程; 2 (2)设点A的极坐标为(2, ),点B在曲线C 上,求△OAB面积的最大值. 2 [选修4-5:不等式选讲](10分) 23.已知a>0,b>0,a3+b3=2.证明: (1)(a+b)(a5+b5)≥4; (2)a+b≤2. 第6页 | 共7页第7页 | 共7页