当前位置:首页>文档>专题06相似三角形的判定与性质重难点题型专训(10大题型)(原卷版)_初中数学人教版_9下-初中数学人教版_07专项讲练_2023-2024学年九年级数学全册重难点专题提升精讲精练(人教版)

专题06相似三角形的判定与性质重难点题型专训(10大题型)(原卷版)_初中数学人教版_9下-初中数学人教版_07专项讲练_2023-2024学年九年级数学全册重难点专题提升精讲精练(人教版)

  • 2026-04-03 02:11:20 2026-03-27 03:13:42

文档预览

专题06相似三角形的判定与性质重难点题型专训(10大题型)(原卷版)_初中数学人教版_9下-初中数学人教版_07专项讲练_2023-2024学年九年级数学全册重难点专题提升精讲精练(人教版)
专题06相似三角形的判定与性质重难点题型专训(10大题型)(原卷版)_初中数学人教版_9下-初中数学人教版_07专项讲练_2023-2024学年九年级数学全册重难点专题提升精讲精练(人教版)
专题06相似三角形的判定与性质重难点题型专训(10大题型)(原卷版)_初中数学人教版_9下-初中数学人教版_07专项讲练_2023-2024学年九年级数学全册重难点专题提升精讲精练(人教版)
专题06相似三角形的判定与性质重难点题型专训(10大题型)(原卷版)_初中数学人教版_9下-初中数学人教版_07专项讲练_2023-2024学年九年级数学全册重难点专题提升精讲精练(人教版)
专题06相似三角形的判定与性质重难点题型专训(10大题型)(原卷版)_初中数学人教版_9下-初中数学人教版_07专项讲练_2023-2024学年九年级数学全册重难点专题提升精讲精练(人教版)
专题06相似三角形的判定与性质重难点题型专训(10大题型)(原卷版)_初中数学人教版_9下-初中数学人教版_07专项讲练_2023-2024学年九年级数学全册重难点专题提升精讲精练(人教版)
专题06相似三角形的判定与性质重难点题型专训(10大题型)(原卷版)_初中数学人教版_9下-初中数学人教版_07专项讲练_2023-2024学年九年级数学全册重难点专题提升精讲精练(人教版)
专题06相似三角形的判定与性质重难点题型专训(10大题型)(原卷版)_初中数学人教版_9下-初中数学人教版_07专项讲练_2023-2024学年九年级数学全册重难点专题提升精讲精练(人教版)
专题06相似三角形的判定与性质重难点题型专训(10大题型)(原卷版)_初中数学人教版_9下-初中数学人教版_07专项讲练_2023-2024学年九年级数学全册重难点专题提升精讲精练(人教版)
专题06相似三角形的判定与性质重难点题型专训(10大题型)(原卷版)_初中数学人教版_9下-初中数学人教版_07专项讲练_2023-2024学年九年级数学全册重难点专题提升精讲精练(人教版)
专题06相似三角形的判定与性质重难点题型专训(10大题型)(原卷版)_初中数学人教版_9下-初中数学人教版_07专项讲练_2023-2024学年九年级数学全册重难点专题提升精讲精练(人教版)
专题06相似三角形的判定与性质重难点题型专训(10大题型)(原卷版)_初中数学人教版_9下-初中数学人教版_07专项讲练_2023-2024学年九年级数学全册重难点专题提升精讲精练(人教版)
专题06相似三角形的判定与性质重难点题型专训(10大题型)(原卷版)_初中数学人教版_9下-初中数学人教版_07专项讲练_2023-2024学年九年级数学全册重难点专题提升精讲精练(人教版)
专题06相似三角形的判定与性质重难点题型专训(10大题型)(原卷版)_初中数学人教版_9下-初中数学人教版_07专项讲练_2023-2024学年九年级数学全册重难点专题提升精讲精练(人教版)
专题06相似三角形的判定与性质重难点题型专训(10大题型)(原卷版)_初中数学人教版_9下-初中数学人教版_07专项讲练_2023-2024学年九年级数学全册重难点专题提升精讲精练(人教版)
专题06相似三角形的判定与性质重难点题型专训(10大题型)(原卷版)_初中数学人教版_9下-初中数学人教版_07专项讲练_2023-2024学年九年级数学全册重难点专题提升精讲精练(人教版)
专题06相似三角形的判定与性质重难点题型专训(10大题型)(原卷版)_初中数学人教版_9下-初中数学人教版_07专项讲练_2023-2024学年九年级数学全册重难点专题提升精讲精练(人教版)
专题06相似三角形的判定与性质重难点题型专训(10大题型)(原卷版)_初中数学人教版_9下-初中数学人教版_07专项讲练_2023-2024学年九年级数学全册重难点专题提升精讲精练(人教版)
专题06相似三角形的判定与性质重难点题型专训(10大题型)(原卷版)_初中数学人教版_9下-初中数学人教版_07专项讲练_2023-2024学年九年级数学全册重难点专题提升精讲精练(人教版)
专题06相似三角形的判定与性质重难点题型专训(10大题型)(原卷版)_初中数学人教版_9下-初中数学人教版_07专项讲练_2023-2024学年九年级数学全册重难点专题提升精讲精练(人教版)
专题06相似三角形的判定与性质重难点题型专训(10大题型)(原卷版)_初中数学人教版_9下-初中数学人教版_07专项讲练_2023-2024学年九年级数学全册重难点专题提升精讲精练(人教版)
专题06相似三角形的判定与性质重难点题型专训(10大题型)(原卷版)_初中数学人教版_9下-初中数学人教版_07专项讲练_2023-2024学年九年级数学全册重难点专题提升精讲精练(人教版)
专题06相似三角形的判定与性质重难点题型专训(10大题型)(原卷版)_初中数学人教版_9下-初中数学人教版_07专项讲练_2023-2024学年九年级数学全册重难点专题提升精讲精练(人教版)
专题06相似三角形的判定与性质重难点题型专训(10大题型)(原卷版)_初中数学人教版_9下-初中数学人教版_07专项讲练_2023-2024学年九年级数学全册重难点专题提升精讲精练(人教版)
专题06相似三角形的判定与性质重难点题型专训(10大题型)(原卷版)_初中数学人教版_9下-初中数学人教版_07专项讲练_2023-2024学年九年级数学全册重难点专题提升精讲精练(人教版)
专题06相似三角形的判定与性质重难点题型专训(10大题型)(原卷版)_初中数学人教版_9下-初中数学人教版_07专项讲练_2023-2024学年九年级数学全册重难点专题提升精讲精练(人教版)
专题06相似三角形的判定与性质重难点题型专训(10大题型)(原卷版)_初中数学人教版_9下-初中数学人教版_07专项讲练_2023-2024学年九年级数学全册重难点专题提升精讲精练(人教版)
专题06相似三角形的判定与性质重难点题型专训(10大题型)(原卷版)_初中数学人教版_9下-初中数学人教版_07专项讲练_2023-2024学年九年级数学全册重难点专题提升精讲精练(人教版)
专题06相似三角形的判定与性质重难点题型专训(10大题型)(原卷版)_初中数学人教版_9下-初中数学人教版_07专项讲练_2023-2024学年九年级数学全册重难点专题提升精讲精练(人教版)
专题06相似三角形的判定与性质重难点题型专训(10大题型)(原卷版)_初中数学人教版_9下-初中数学人教版_07专项讲练_2023-2024学年九年级数学全册重难点专题提升精讲精练(人教版)

文档信息

文档格式
docx
文档大小
2.099 MB
文档页数
26 页
上传时间
2026-03-27 03:13:42

文档内容

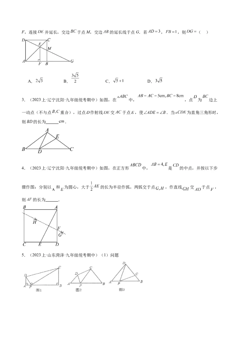
专题06 相似三角形的判定与性质(10大题型) 【题型目录】 题型一 证明两三角形相似 题型二 选择或补充条件使两个三角形相似 题型三 重心的有关性质 题型四 相似三角形的判定与性质综合 题型五 利用相似三角形的性质求解 题型六 证明三角形的对应线段成比例 题型七 利用相似求坐标 题型八 在网格中画与已知三角形相似的三角形 题型九 相似三角形——动点问题 题型十 相似三角形的综合问题 【知识梳理】 知识点一、相似三角形的判定 平行于三角形的一边的直线与其他两边(或两边的延长线)相交,所构成的三角形与原 预备定理 三角形相似. 有两个角对应相等的两个三角形相似. 判定1 两边对应成比例且夹角相等的两个三角形相似. 判定2 判定3 三边对应成比例的两个三角形相似若一个直角三角形的斜边和一条直角边与另一个直角三角形的斜边和直角边对应成比 例,那么这两个直角三角形相似. 直角三角形 的特殊判定 知识点二、相似三角形的性质 性质1 相似三角形的对应边成比例,对应角相等。 相似三角形的周长比等于相似比。 ∽ ,则 由比例性质可得: 性质2 A' A B C B' C' 类似地,我们还可以得到:相似多边形周长的比等于相似比。 相似三角形的面积比等于相似比的平方。 ∽ ,则 分别作出 与 的高 性质3 1 1 BCAD kBCkAD 和 ,则 S △ABC  2  2 =k2 S 1 1 △ABC BCAD BCAD 2 2A' A B D C B' D' C' 要点诠释:相似三角形的性质是通过比例线段的性质推证出来的。 如果把两个相似多边形分成若干个相似的三角形,我们还可以得到: 相似多边形面积的比等于相似比的平方。 相似三角形的对应高的比、对应中线的比、对应角平分线之比等于相似比。 性质4 要点诠释:要特别注意“对应”两个字,在应用时,要注意找准对应线段。 【经典例题一 证明两三角形相似】 1.(2023上·北京石景山·九年级校考期中)如图,在矩形 中,E,F分别是 , 上的点,若 ,则一定有( ). A. B. C. D. 2.(2023上·上海闵行·九年级校考期中)如图,已知 是 中的边 上的一点, , 的平分线交边 于 ,交 于 ,那么下列结论中错误的个数是( ) (a) ;(b) ; (c) ;(d) . A.0 B.1 C.2 D.3 3.(2023下·九年级课时练习)如图,不等长的两条对角线 相交于点 ,且将四边形 分成 甲、乙、丙、丁四个三角形.若 ,则甲、乙、丙、丁这4个三角形中,一定相似的有 .4.(2023下·河北衡水·九年级校考期中)如图,在矩形 中,点E在 上, , 与 相交于点O, 与 相交于点F. (1)若 平分 ,则 与 是否垂直? (填“是”或“否”); (2)图中与 相似的三角形有 (写出两个即可) 5.(2023上·河北沧州·九年级校联考期中)如图,矩形 中, , ,点 为 边上一动 点, 交 于点 . (1)求证: ; (2)当 时,求 的长. 【经典例题二 选择或补充条件使两个三角形相似】 1.(2023上·北京延庆·九年级统考期中)如图,点 是 的边 上一点,要使得 与 相 似,添加一个条件,不正确的是( )A. B. C. D. 2.(2023上·山东滨州·九年级校考期末)如图,在 中, 是 上一点,连接 ,添加下列条件 中的一个,不能判断 的是( ) A. B. C. D. 3.(2022上·黑龙江鸡西·九年级统考期末)如图,在 中, 是 边上一点,连接 ,要使 与 相似,应添加的条件是 . 4.(2023上·安徽滁州·九年级校联考期末)如图,在 中,直角边 上有一动点 (不与点 重合).过 点作直线截 ,使截得的三角形与 相似,则满足这样条件的直线共有 条. 5.(2022·浙江杭州·统考一模)在① ,② ,③ 这三个条件中选择其中一个,补充在下面的问题中,使命题正确,并证明. 问题:如图,四边形 的两条对角线交于 点,若 (填序号) 求证: . 【经典例题三 重心的有关性质】 1.(2023·浙江·统考中考真题)如图,点P是 的重心,点D是边 的中点, 交 于点 E, 交 于点F,若四边形 的面积为6,则 的面积为( ) A.15 B.18 C.24 D.36 2.(2022上·上海徐汇·九年级校考阶段练习)如图,在 中,中线 相交于点G,下列说 法错误的是( ) A.点G为 的重心 B. C.当 为等边三角形时, D. 3.(2023上·浙江宁波·九年级宁波市第七中学校联考期中)若抛物线经过原点和点 及点 , 点C是x轴上一点,当 的重心G落在抛物线上时,则点G的坐标是 . 4.(2023上·江苏无锡·九年级校考阶段练习)如图, 中, , ,点 F是 的重心, ,则 . 5.(2023上·浙江金华·九年级校考期中)如图在 的网格中, 的顶点都在格点上,仅用无刻度的 直尺在给定的网格中分别按下列要求画图.(请保留画图痕迹,画图过程用虚线表示,画图结果用实线表 示) (1)在图1中,画出 的重心G; (2)在图2中,画线段 ,点E在 上,使得 ; (3)图3中,在 内寻找一格点N,使 ,并标注点N的位置. 【经典例题四 相似三角形的判定与性质综合】 1.(2023上·辽宁朝阳·九年级校联考期中)如图,矩形 中,对角线 、 交于点O, 于点E, , , ( )cm A.10 B.8 C.9 D.12 2.(2023上·安徽合肥·九年级校考阶段练习)如图,点E在正方形 的对角线 上, 于点F,连接 并延长,交边 于点M,交边 的延长线于点G.若 , ,则 ( ) A. B. C. D. 3.(2023上·辽宁沈阳·九年级统考期中)如图,在 中, ,点 为 边上 一动点(不与点 重合),过点 作射线 交 于点 ,使 .当 为直角三角形时, 则 的长为 . 4.(2023上·辽宁沈阳·九年级统考期中)如图,在正方形 中, 是 的中点,并按以下步 骤作图:分别以 和 为圆心,大于 的长为半径作弧,两弧交于点 ,作直线 交 于点 , 则 的长为 . 5.(2023上·山东菏泽·九年级统考期中)(1)问题如图1,在四边形 中,点 为 上一点, .求证: . (2)探究 如图,在四边形 中,点 为 上一点,当 时,上述结论是否依然成立?说明 理由. (3)应用 请利用(1)(2)获得的经验解决问题 如图3,在 中, , ,点 以每秒 个单位长度的速度,由点 出发,沿边 向 点 运动,且满足 .设点 的运动时间为 (秒),当以 为圆心, 为半径的圆与 相 切时,请直接写出 所满足的等量关系式. 【经典例题五 利用相似三角形的性质求解】 1.(2023上·内蒙古包头·九年级统考期中)如图,在 纸片中, , 分别在 上,连结 ,将 沿 翻折,使点 的对应点 落在 的延长线上,若 平分 ,则 ( ) A. B. C. D. 2.(2023上·安徽安庆·九年级统考期中)将一张三角形彩纸 按如图所示的方式折叠,使点B落在边 上,记为点F,折痕为 .已知 , ,若以点C,D,F为顶点的三角形与 相 似,则 的长是( )A. B. C. 或4 D. 或4 3.(2011·浙江·九年级统考期中)如图,在 中, ,动点 从 点出发到 点止, 动点 从 点出发到 点止,点 的运动速度为 ,点 的运动速度为 .若 两点同时出发, 则当以点 为顶点的三角形与 相似时,运动时间为 s. 4.(2023上·浙江绍兴·九年级校联考期中)如图,在 中, ,点D在 边上.连接 ,将 沿直线 翻折,点B落在点E处, 交 边于点F.已知 ,若 为 直角三角形,则 的面积为 . 5.(2023上·广西百色·九年级统考期中)在矩形 中,E为 边上一点,把 沿 翻折,使 点D恰好落在 边上的点F处. (1)求证: ;(2)若 , ,求 的长. 【经典例题六 证明三角形的对应线段成比例】 1.(2023下·浙江嘉兴·九年级校考开学考试)《笛卡尔几何学》一书中引入单位线段1来表示线段的乘除. 如图,已知 ,则 ,若规定 为单位线段1,则 ,若规定 为单 位线段1,则 为( ) A. B. C. D. 2.(2023·黑龙江哈尔滨·统考二模)如图,在 中,AC和BC上分别有一点E和点H,过点E和点H 分别作BC和AC的平行线交于点D,DE交AB于点G,DH交AB于点F,则下列结论错误的是( ) A. B. C. D. 3.(2015·山东枣庄·九年级学业考试)如图,在 中,若 , , ,则 的长 为 . 4.(2021·四川自贡·统考一模)如图,在Rt 中, , , ,以点 为圆心,2为半径的圆与 交于点 ,过点 作 交 于点 .点 是边 上的动点.当 最小时, 的长为 . 5.(2023·吉林四平·校联考三模)在 中, , 分别为 , 上一点, , 交于点 . (1)设 的面积为 , 的面积为 ,且 . ①如图①,连接 .若 ,求证: ; ②如图②,若 , ,求 的值. (2)如图③,若 , , , ,直接写出 的值. 【经典例题七 利用相似求坐标】 1.(2022·九年级单元测试)平面直角坐标系中有一直线 ,先将其向右平移3个单位得到 , 再将 作关于x轴的对称图形 ,最后将 绕 与y轴的交点逆时针旋转 得到 ,则直线 的解析式为 ( ). A. B. C. D. 2.(2022·海南·九年级专题练习)如图,在△ABC中,∠ACB=90°,边BC在x轴上,顶点A,B的坐标分别为(-2,6)和(7,0).将正方形OCDE沿x轴向右平移,当点E落在AB边上时,平移的距离为 ( ) A.2 B.3 C.4 D.5 3.(2021春·江苏·九年级专题练习)如图,在平面直角坐标系中,点A,B的坐标分别为 、 , 连接 .动点P从点A开始在折线段 上以每秒2个单位长度的速度向点O移动,同时动点Q从点B 开始在线段 上以每秒3个单位长度的速度向点A移动.设点P、Q移动的时间为t秒,当 与 相似时,点P的坐标是 . 4.(2023秋·全国·九年级专题练习)如图, 在平面直角坐标系中, 与 轴交于点 ,已知点 , , , 是线段 上一点,连接 ,若 与 相似,则 的长为 .5.(2023·福建厦门·统考模拟预测)如图,在平面直角坐标系 中,点 的坐标为 , 是 轴上一 点. (1) 上求作点 ,使得 ∽ 要求:尺规作图,不写作法,保留作图痕迹 ; (2)在(1)的条件下, , 是 的中线,过点 的直线交 于点 ,交 轴于点 ,当 时,求点 的坐标. 【经典例题八 在网格中画与已知三角形相似的三角形】 1.(2022秋·广东梅州·九年级校考阶段练习)如图,在正方形网格上有 个斜三角形:① ,② ,③ ,④ ,⑤ ,⑥ .在②~⑥中,与①相似的三角形有( ) A.1个 B.2个 C.3个 D.4个2.(2022秋·河南周口·九年级校考期中)如图,在5×6的方格纸中,画有格点△EFG,下列选项中的格点, 与E,G两点构成的三角形中和△EFG相似的是( ) A.点A B.点B C.点C D.点D 3.(2022春·九年级课时练习)如图,在边长相等的正方形网格中,A、B、C 为小正方形的顶点,则 ∠ABC= . 4.(2021春·全国·九年级专题练习)在方格纸中,每个小格的顶点叫做格点,以格点连线为边的三角形叫 做格点三角形.如图,请在边长为1个单位的2×3的方格纸中,找出一个格点三角形DEF.如果△DEF与 △ABC相似(相似比不为1),那么△DEF的面积为 . 5.(2023秋·北京通州·九年级校考阶段练习)在 中, (1)如图1,P是 上的点,过点P作直线截 ,使截得的三角形与 相似.例如:过点P作 交 于D,则截得的 与 相似.请你在图中画出所有满足条件的直线. (2)如图2,Q是 上异于点B,C的动点,过点Q作直线截 ,使截得的三角形与 相似,直接写出满足条件的直线的条数.(不要求画出具体的直线) 【经典例题九 相似三角形——动点问题】 1.(2023春·重庆渝中·八年级统考期末)如图, 中, , , , D为 的中点,若动点E以 的速度从A点出发,沿着A→B的方向运动,设E点的运动时间为t秒 ( ),连接 ,当以B、D、E为顶点的三角形与 相似时,t的值为( ) A.2 B.2.5或3.5 C.2或3.5 D.2或2.5 2.(2023·山西运城·统考二模)如图1,在 中, ,动点 从点 出发,沿折线 匀速运动至点 停止.点 的运动速度为 ,设点 的运动时间为 ( ), 的长度为 ( ), 与 的函数图像如图2所示.当 恰好平分 时, 的长为( ) A. B. C. D. 3.(2023春·江苏南通·八年级校联考阶段练习)如图,已知矩形 ,长 ,宽 , P、Q分别是 、 上运动的两点.若P自点A出发,以1cm/s的速度沿AB方向运动,同时,Q自点B 出发以2cm/s的速度沿 方向运动,则经过 秒,以P、B、Q为顶点的三角形与 相似.4.(2023春·山东泰安·八年级统考期末)如图,在钝角 中, , ,点 从 点 出发沿 以 的速度向 点移动,点 从 点出发沿 以 的速度向 点移动,如果两点同时移 动,经过 秒时, 与 相似. 5.(2023秋·福建泉州·九年级校考阶段练习)如图,在 中, , , , 于点D.点P从点D出发,沿线段 向点C运动,点Q从点C出发,沿线段 向点A运动. 两点同时出发.速度都为每秒1个单位长度,当点P运动到C时,两点都停止.设运动时间为t秒. (1)求线段 的长; (2)设 的面积为S,求S与t之间的函数关系式,并确定在运动过程中是否存在某一时刻t,使得 ?若存在,求出t的值;若不存在,说明理由. 【经典例题十 相似三角形的综合问题】 1.(2023·浙江宁波·模拟预测)如图,矩形 ,分别以 、 为边向内作等边三角形 (图1);分别以 、 为边向内作等边三角形(图2),两个等边三角形的重叠部分用阴影表示,设 图1中阴影部分的面积为 ,图2中阴影部分的面积为 .若 ,则 的值为( )A. B. C. D. 2.(2023·全国·九年级专题练习)如图,在矩形纸片ABCD中,AB=3,BC=2,沿对角线AC剪开(如图 ①);固定 ADC,把 ABC沿AD方向平移(如图②),当两个三角形重叠部分的面积最大时,移动的 距离AA′等于△( ) △ A.1 B.1.5 C.2 D.0.8或1.2 3.(2023春·四川达州·九年级校考阶段练习)如图,在矩形ABCD中,点E在边BC上,连结AE,将 △ABE沿直线AE翻折得到△AFE,EF与AC相交于点M.若AB=8,BC=10,且BE= BC,则点F到直 线AD的距离为 . 4.(2023·山东德州·统考一模)在边长为4的正方形 中,E是 边上一动点(不与端点重合),将 沿 翻折,点A落在点H处,直线 交 于点F,连接 , , 分别与AC交于点P、 Q,连接 , .则以下结论中正确的有________ (写出所有正确结论的序号). ① ;② ;③ ;④ 为等腰直角三角形;⑤若连接 ,则的最小值为 . 5.(2023·江苏苏州·统考三模)【问题探究】 课外兴趣小组活动时,同学们正在解决如下问题: 如图1,在矩形 中,点 , 分别是边 , 上的点,连接 , ,且 于点 ,若 , ,求 的值. (1)请你帮助同学们解决上述问题,并说明理由. 【初步运用】 (2)如图2,在 中, , ,点 为 的中点,连接 ,过点 作 于点 , 交 于点 ,求 的值. 【灵活运用】 (3)如图3,在四边形 中, , , , ,点 , 分别在边 ,上,且 ,垂足为 ,则 __________________. 【重难点训练】 1.(2023上·浙江绍兴·九年级校考期中)如图,C是半圆上一点, 是直径,将弓形沿 翻折交 于 点D,若 , ,则 的长为( ) A. B. C. D. 2.(2023上·山东淄博·九年级统考期中)如图,在 中, 为坐标原点,直角顶点 在 轴的正半 轴上,反比例函数 在第一象限的图象经过 的中点 ,交 于点 ,连接 .若 ,则直线 的解析式为( )A. B. C. D. 3.(2023上·浙江绍兴·七年级校联考期中)如图,在 中, 是斜边 的中点, 是线段 延长线上的一点,连接 与 交于点 .给出下列结论:①若 ,则 ;②若 ,则 ;③若 ,则 .其中正确的是 ( ) A.①② B.①③ C.②③ D.①②③ 4.(2023上·湖南衡阳·九年级校联考期中)如图,在 中, , , ,点 , 分别在边 , 上,且 ,若以 , , 为顶点的三角形与 相似,则 的长度为 ( ) A.3 B. C. 或4 D.4或 5.(2023上·安徽蚌埠·九年级校联考期中)如图,在平行四边形 中,E是线段 上一点,连结 , , 与 相交于点F,若 ,则 ( ) A. B. C. D.6.(2023上·山东青岛·九年级校考期中)如图,在 中, 于点M, 于点N,P为 边中点,连接 ,则下列结论:① ;② ;③若 , 为等边三角形:④当 时, .其中正确的是( ) A.①② B.①②④ C.①③④ D.②③④ 7.(2023上·上海松江·九年级校考阶段练习)如图,在 中, , , ,则 与 的面积之比为 . 8.(2023上·河南郑州·九年级校考期中)如图,平行四边形 中,点E是边 上一点,若 , , 的面积是8,则 的面积为 . 9.(2023上·辽宁鞍山·九年级统考期中)如图,已知 中,D,E分别是 边上的点, , , 与 的延长线交于点F, ,则 .10.(2023上·河南许昌·九年级统考期中)如图,等腰三角形 中, ,底边 , 点O为 的中点.将线段 绕点O旋转得到线段 ,连接 .在旋转过程中,当 时, 的 长为 . 11.(2023上·重庆北碚·九年级西南大学附中校考期中)如图,在 中, . 是中线, 过点 作 ,垂足为点 ,与 相交于点 ,若 , ,则 的长是 . 12.(2021上·广东深圳·九年级统考期中)如图,在正方形 中,以 为腰向正方形内部作等腰 ( ),点 在 上,且 .连接 并延长,与 交于点 ,与 延长线交 于点 .连接 交 于点 ,连接 .若 , ,则 . 13.(2023上·上海·九年级上海市第三女子初级中学校考阶段练习)如图,已知在 中, 是 的中线, ,点 在边 上, .(1)求证: ; (2)求证: . 14.(2023上·河南驻马店·九年级统考期中)如图,已知 ,为了求 边 的长,小亮想出了一个好办法:将边 反向延长至点 ,使 ,连接 ,从而小亮发现图 中存在一对相似三角形,问题便迎刃而解了! (1)请你找出这对相似三角形,并进行证明; (2)求边 的长. 15.(2023上·河南驻马店·九年级统考期中)如图,折叠矩形 的一边 ,使点 落在边 上的点 处,已知折痕 ,且 . (1)求证: ;(2)求矩形 的周长. 16.(2023上·河南平顶山·九年级校考期中)如图1,在 中, ,点D、E 分别是边 的中点,连接 ,将 绕点C按顺时针方向旋转,记旋转角为α. (1)问题发现 ①当 时, ______; ②当 时, ______. (2)拓展探究 试判断:当 时, 的大小有无变化?请仅就图2的情形给出证明. (3)问题解决 当 旋转至A,D,E三点共线时,直接写出线段BD的长. 17.(2023上·辽宁沈阳·九年级统考期中)如图,在 中, .将 绕点 顺时针旋转一定角度得到 ,点 在 上,点 在 的延长线上. (1)填空:点 到 的距离为______; (2)判断线段 与 的数量关系,并说明理由; (3)当 时,求线段 的长.18.(2023上·江西吉安·九年级校联考期中)问题背景:一次数学综合实践活动课上,小慧发现并证明了 关于三角形角平分线的一个结论.如图①,已知 是 的角平分线,可证 .小慧的证明思 路是:如图②,过点C作 , 交 的延长线于点E,构造相似三角形来证明 尝试证 明: (1)请参照小慧提供的思路,利用图②证明: . 应用拓展: (2)如图③,在 中, ,D是边 上一点,连接 ,将 沿 所在直线折叠, 点C恰好落在边 上的E点处.若 , ,求 的长.