当前位置:首页>文档>专题11水的电离和溶液的酸碱性(教师版含解析)2021年高考化学真题和模拟题分类汇编_05高考化学_新高考复习资料_2023年新高考资料_一轮复习_2023年新高考大一轮复习讲义

专题11水的电离和溶液的酸碱性(教师版含解析)2021年高考化学真题和模拟题分类汇编_05高考化学_新高考复习资料_2023年新高考资料_一轮复习_2023年新高考大一轮复习讲义

  • 2026-04-29 00:50:54 2026-03-27 12:05:24

文档预览

专题11水的电离和溶液的酸碱性(教师版含解析)2021年高考化学真题和模拟题分类汇编_05高考化学_新高考复习资料_2023年新高考资料_一轮复习_2023年新高考大一轮复习讲义
专题11水的电离和溶液的酸碱性(教师版含解析)2021年高考化学真题和模拟题分类汇编_05高考化学_新高考复习资料_2023年新高考资料_一轮复习_2023年新高考大一轮复习讲义
专题11水的电离和溶液的酸碱性(教师版含解析)2021年高考化学真题和模拟题分类汇编_05高考化学_新高考复习资料_2023年新高考资料_一轮复习_2023年新高考大一轮复习讲义
专题11水的电离和溶液的酸碱性(教师版含解析)2021年高考化学真题和模拟题分类汇编_05高考化学_新高考复习资料_2023年新高考资料_一轮复习_2023年新高考大一轮复习讲义
专题11水的电离和溶液的酸碱性(教师版含解析)2021年高考化学真题和模拟题分类汇编_05高考化学_新高考复习资料_2023年新高考资料_一轮复习_2023年新高考大一轮复习讲义
专题11水的电离和溶液的酸碱性(教师版含解析)2021年高考化学真题和模拟题分类汇编_05高考化学_新高考复习资料_2023年新高考资料_一轮复习_2023年新高考大一轮复习讲义
专题11水的电离和溶液的酸碱性(教师版含解析)2021年高考化学真题和模拟题分类汇编_05高考化学_新高考复习资料_2023年新高考资料_一轮复习_2023年新高考大一轮复习讲义
专题11水的电离和溶液的酸碱性(教师版含解析)2021年高考化学真题和模拟题分类汇编_05高考化学_新高考复习资料_2023年新高考资料_一轮复习_2023年新高考大一轮复习讲义
专题11水的电离和溶液的酸碱性(教师版含解析)2021年高考化学真题和模拟题分类汇编_05高考化学_新高考复习资料_2023年新高考资料_一轮复习_2023年新高考大一轮复习讲义
专题11水的电离和溶液的酸碱性(教师版含解析)2021年高考化学真题和模拟题分类汇编_05高考化学_新高考复习资料_2023年新高考资料_一轮复习_2023年新高考大一轮复习讲义
专题11水的电离和溶液的酸碱性(教师版含解析)2021年高考化学真题和模拟题分类汇编_05高考化学_新高考复习资料_2023年新高考资料_一轮复习_2023年新高考大一轮复习讲义
专题11水的电离和溶液的酸碱性(教师版含解析)2021年高考化学真题和模拟题分类汇编_05高考化学_新高考复习资料_2023年新高考资料_一轮复习_2023年新高考大一轮复习讲义
专题11水的电离和溶液的酸碱性(教师版含解析)2021年高考化学真题和模拟题分类汇编_05高考化学_新高考复习资料_2023年新高考资料_一轮复习_2023年新高考大一轮复习讲义
专题11水的电离和溶液的酸碱性(教师版含解析)2021年高考化学真题和模拟题分类汇编_05高考化学_新高考复习资料_2023年新高考资料_一轮复习_2023年新高考大一轮复习讲义
专题11水的电离和溶液的酸碱性(教师版含解析)2021年高考化学真题和模拟题分类汇编_05高考化学_新高考复习资料_2023年新高考资料_一轮复习_2023年新高考大一轮复习讲义
专题11水的电离和溶液的酸碱性(教师版含解析)2021年高考化学真题和模拟题分类汇编_05高考化学_新高考复习资料_2023年新高考资料_一轮复习_2023年新高考大一轮复习讲义
专题11水的电离和溶液的酸碱性(教师版含解析)2021年高考化学真题和模拟题分类汇编_05高考化学_新高考复习资料_2023年新高考资料_一轮复习_2023年新高考大一轮复习讲义
专题11水的电离和溶液的酸碱性(教师版含解析)2021年高考化学真题和模拟题分类汇编_05高考化学_新高考复习资料_2023年新高考资料_一轮复习_2023年新高考大一轮复习讲义
专题11水的电离和溶液的酸碱性(教师版含解析)2021年高考化学真题和模拟题分类汇编_05高考化学_新高考复习资料_2023年新高考资料_一轮复习_2023年新高考大一轮复习讲义
专题11水的电离和溶液的酸碱性(教师版含解析)2021年高考化学真题和模拟题分类汇编_05高考化学_新高考复习资料_2023年新高考资料_一轮复习_2023年新高考大一轮复习讲义
专题11水的电离和溶液的酸碱性(教师版含解析)2021年高考化学真题和模拟题分类汇编_05高考化学_新高考复习资料_2023年新高考资料_一轮复习_2023年新高考大一轮复习讲义
专题11水的电离和溶液的酸碱性(教师版含解析)2021年高考化学真题和模拟题分类汇编_05高考化学_新高考复习资料_2023年新高考资料_一轮复习_2023年新高考大一轮复习讲义
专题11水的电离和溶液的酸碱性(教师版含解析)2021年高考化学真题和模拟题分类汇编_05高考化学_新高考复习资料_2023年新高考资料_一轮复习_2023年新高考大一轮复习讲义
专题11水的电离和溶液的酸碱性(教师版含解析)2021年高考化学真题和模拟题分类汇编_05高考化学_新高考复习资料_2023年新高考资料_一轮复习_2023年新高考大一轮复习讲义
专题11水的电离和溶液的酸碱性(教师版含解析)2021年高考化学真题和模拟题分类汇编_05高考化学_新高考复习资料_2023年新高考资料_一轮复习_2023年新高考大一轮复习讲义
专题11水的电离和溶液的酸碱性(教师版含解析)2021年高考化学真题和模拟题分类汇编_05高考化学_新高考复习资料_2023年新高考资料_一轮复习_2023年新高考大一轮复习讲义
专题11水的电离和溶液的酸碱性(教师版含解析)2021年高考化学真题和模拟题分类汇编_05高考化学_新高考复习资料_2023年新高考资料_一轮复习_2023年新高考大一轮复习讲义
专题11水的电离和溶液的酸碱性(教师版含解析)2021年高考化学真题和模拟题分类汇编_05高考化学_新高考复习资料_2023年新高考资料_一轮复习_2023年新高考大一轮复习讲义
专题11水的电离和溶液的酸碱性(教师版含解析)2021年高考化学真题和模拟题分类汇编_05高考化学_新高考复习资料_2023年新高考资料_一轮复习_2023年新高考大一轮复习讲义
专题11水的电离和溶液的酸碱性(教师版含解析)2021年高考化学真题和模拟题分类汇编_05高考化学_新高考复习资料_2023年新高考资料_一轮复习_2023年新高考大一轮复习讲义
专题11水的电离和溶液的酸碱性(教师版含解析)2021年高考化学真题和模拟题分类汇编_05高考化学_新高考复习资料_2023年新高考资料_一轮复习_2023年新高考大一轮复习讲义
专题11水的电离和溶液的酸碱性(教师版含解析)2021年高考化学真题和模拟题分类汇编_05高考化学_新高考复习资料_2023年新高考资料_一轮复习_2023年新高考大一轮复习讲义
专题11水的电离和溶液的酸碱性(教师版含解析)2021年高考化学真题和模拟题分类汇编_05高考化学_新高考复习资料_2023年新高考资料_一轮复习_2023年新高考大一轮复习讲义
专题11水的电离和溶液的酸碱性(教师版含解析)2021年高考化学真题和模拟题分类汇编_05高考化学_新高考复习资料_2023年新高考资料_一轮复习_2023年新高考大一轮复习讲义
专题11水的电离和溶液的酸碱性(教师版含解析)2021年高考化学真题和模拟题分类汇编_05高考化学_新高考复习资料_2023年新高考资料_一轮复习_2023年新高考大一轮复习讲义
专题11水的电离和溶液的酸碱性(教师版含解析)2021年高考化学真题和模拟题分类汇编_05高考化学_新高考复习资料_2023年新高考资料_一轮复习_2023年新高考大一轮复习讲义
专题11水的电离和溶液的酸碱性(教师版含解析)2021年高考化学真题和模拟题分类汇编_05高考化学_新高考复习资料_2023年新高考资料_一轮复习_2023年新高考大一轮复习讲义
专题11水的电离和溶液的酸碱性(教师版含解析)2021年高考化学真题和模拟题分类汇编_05高考化学_新高考复习资料_2023年新高考资料_一轮复习_2023年新高考大一轮复习讲义
专题11水的电离和溶液的酸碱性(教师版含解析)2021年高考化学真题和模拟题分类汇编_05高考化学_新高考复习资料_2023年新高考资料_一轮复习_2023年新高考大一轮复习讲义
专题11水的电离和溶液的酸碱性(教师版含解析)2021年高考化学真题和模拟题分类汇编_05高考化学_新高考复习资料_2023年新高考资料_一轮复习_2023年新高考大一轮复习讲义
专题11水的电离和溶液的酸碱性(教师版含解析)2021年高考化学真题和模拟题分类汇编_05高考化学_新高考复习资料_2023年新高考资料_一轮复习_2023年新高考大一轮复习讲义
专题11水的电离和溶液的酸碱性(教师版含解析)2021年高考化学真题和模拟题分类汇编_05高考化学_新高考复习资料_2023年新高考资料_一轮复习_2023年新高考大一轮复习讲义
专题11水的电离和溶液的酸碱性(教师版含解析)2021年高考化学真题和模拟题分类汇编_05高考化学_新高考复习资料_2023年新高考资料_一轮复习_2023年新高考大一轮复习讲义
专题11水的电离和溶液的酸碱性(教师版含解析)2021年高考化学真题和模拟题分类汇编_05高考化学_新高考复习资料_2023年新高考资料_一轮复习_2023年新高考大一轮复习讲义
专题11水的电离和溶液的酸碱性(教师版含解析)2021年高考化学真题和模拟题分类汇编_05高考化学_新高考复习资料_2023年新高考资料_一轮复习_2023年新高考大一轮复习讲义
专题11水的电离和溶液的酸碱性(教师版含解析)2021年高考化学真题和模拟题分类汇编_05高考化学_新高考复习资料_2023年新高考资料_一轮复习_2023年新高考大一轮复习讲义
专题11水的电离和溶液的酸碱性(教师版含解析)2021年高考化学真题和模拟题分类汇编_05高考化学_新高考复习资料_2023年新高考资料_一轮复习_2023年新高考大一轮复习讲义
专题11水的电离和溶液的酸碱性(教师版含解析)2021年高考化学真题和模拟题分类汇编_05高考化学_新高考复习资料_2023年新高考资料_一轮复习_2023年新高考大一轮复习讲义
专题11水的电离和溶液的酸碱性(教师版含解析)2021年高考化学真题和模拟题分类汇编_05高考化学_新高考复习资料_2023年新高考资料_一轮复习_2023年新高考大一轮复习讲义
专题11水的电离和溶液的酸碱性(教师版含解析)2021年高考化学真题和模拟题分类汇编_05高考化学_新高考复习资料_2023年新高考资料_一轮复习_2023年新高考大一轮复习讲义
专题11水的电离和溶液的酸碱性(教师版含解析)2021年高考化学真题和模拟题分类汇编_05高考化学_新高考复习资料_2023年新高考资料_一轮复习_2023年新高考大一轮复习讲义
专题11水的电离和溶液的酸碱性(教师版含解析)2021年高考化学真题和模拟题分类汇编_05高考化学_新高考复习资料_2023年新高考资料_一轮复习_2023年新高考大一轮复习讲义
专题11水的电离和溶液的酸碱性(教师版含解析)2021年高考化学真题和模拟题分类汇编_05高考化学_新高考复习资料_2023年新高考资料_一轮复习_2023年新高考大一轮复习讲义
专题11水的电离和溶液的酸碱性(教师版含解析)2021年高考化学真题和模拟题分类汇编_05高考化学_新高考复习资料_2023年新高考资料_一轮复习_2023年新高考大一轮复习讲义
专题11水的电离和溶液的酸碱性(教师版含解析)2021年高考化学真题和模拟题分类汇编_05高考化学_新高考复习资料_2023年新高考资料_一轮复习_2023年新高考大一轮复习讲义
专题11水的电离和溶液的酸碱性(教师版含解析)2021年高考化学真题和模拟题分类汇编_05高考化学_新高考复习资料_2023年新高考资料_一轮复习_2023年新高考大一轮复习讲义
专题11水的电离和溶液的酸碱性(教师版含解析)2021年高考化学真题和模拟题分类汇编_05高考化学_新高考复习资料_2023年新高考资料_一轮复习_2023年新高考大一轮复习讲义
专题11水的电离和溶液的酸碱性(教师版含解析)2021年高考化学真题和模拟题分类汇编_05高考化学_新高考复习资料_2023年新高考资料_一轮复习_2023年新高考大一轮复习讲义
专题11水的电离和溶液的酸碱性(教师版含解析)2021年高考化学真题和模拟题分类汇编_05高考化学_新高考复习资料_2023年新高考资料_一轮复习_2023年新高考大一轮复习讲义
专题11水的电离和溶液的酸碱性(教师版含解析)2021年高考化学真题和模拟题分类汇编_05高考化学_新高考复习资料_2023年新高考资料_一轮复习_2023年新高考大一轮复习讲义
专题11水的电离和溶液的酸碱性(教师版含解析)2021年高考化学真题和模拟题分类汇编_05高考化学_新高考复习资料_2023年新高考资料_一轮复习_2023年新高考大一轮复习讲义
专题11水的电离和溶液的酸碱性(教师版含解析)2021年高考化学真题和模拟题分类汇编_05高考化学_新高考复习资料_2023年新高考资料_一轮复习_2023年新高考大一轮复习讲义

文档信息

文档格式
docx
文档大小
2.003 MB
文档页数
58 页
上传时间
2026-03-27 12:05:24

文档内容

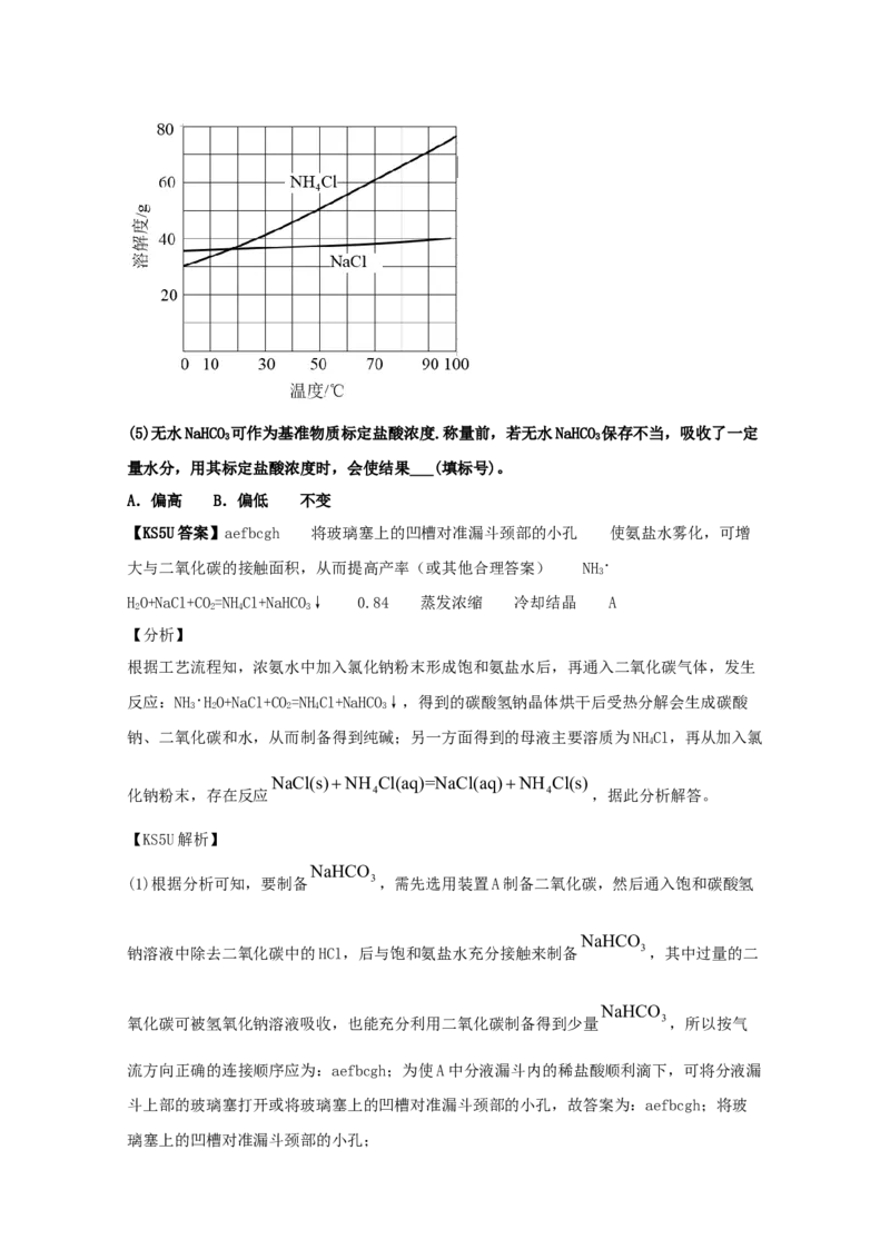
专题11 水的电离和溶液的酸碱性 2021年化学高考题 一、多选题 1.(2021·山东高考真题)为完成下列各组实验,所选玻璃仪器和试剂均准确、完整的是 (不考虑存放试剂的容器) 实验目的 玻璃仪器 试剂 配制100mL一定物质的 100mL容量瓶、胶头滴管、烧 A 蒸馏水、NaCl固体 量浓度的NaCl溶液 杯、量筒、玻璃棒 B 制备Fe(OH) 胶体 烧杯、酒精灯、胶头滴管 蒸馏水、饱和FeCl 溶液 3 3 烧杯、锥形瓶、胶头滴管、酸 待测NaOH溶液、已知浓度的盐 C 测定NaOH溶液浓度 式滴定管 酸、甲基橙试剂 冰醋酸、无水乙醇、饱和 D 制备乙酸乙酯 试管、量筒、导管、酒精灯 NaCO 溶液 2 3 A.A B.B C.C D.D 【KS5U答案】AB 【KS5U解析】 A.配制100mL一定物质的量浓度的NaCl溶液的步骤为:计算、称量、溶解、转移、洗涤、 定容、摇匀等,需要的仪器有:托盘天平、药匙、烧杯、量筒、玻璃棒、100mL容量瓶、胶 头滴管等,选项中所选玻璃仪器和试剂均准确,A符合题意; B.往烧杯中加入适量蒸馏水并加热至沸腾,向沸水滴加几滴饱和氯化铁溶液,继续煮沸至 溶液呈红褐色停止加热,得到氢氧化铁胶体,所选玻璃仪器和试剂均准确,B符合题意; C.用标准稀盐酸溶液滴定待测氢氧化钠溶液可测定出氢氧化钠的浓度,取待测液时需选取 碱式滴定管,酸式滴定管则盛装标准盐酸溶液,所以所选仪器还应有碱式滴定管,C不符合 题意; D.制备乙酸乙酯时需要用浓硫酸作催化剂和吸水剂,所选试剂中缺少浓硫酸,D不符合题意; 故选AB。二、单选题 pH pH 2.(2021·浙江)某同学拟用 计测定溶液 以探究某酸HR是否为弱电解质。下列说法 正确的是 0.01molL-1NaR pH=7 A.25℃时,若测得 溶液 ,则HR是弱酸 0.01molL-1HR pH>2 pH<7 B.25℃时,若测得 溶液 且 ,则HR是弱酸 pH=a 10.0mL 100.0mL C.25℃时,若测得HR溶液 ,取该溶液 ,加蒸馏水稀释至 ,测得 pH=b,b-a<1 ,则HR是弱酸 pH=a 10.0mL pH=b a>b D.25℃时,若测得NaR溶液 ,取该溶液 ,升温至50℃,测得 , , 则HR是弱酸 【KS5U答案】B 【KS5U解析】 0.01molL-1NaR pH=7 NaR HR A.25℃时,若测得 溶液 ,可知 为强酸强碱盐,则 为强酸, A错误; c  H+ 0.01mol/L B.25℃时,若测得0.01molL-1HR溶液 pH>2 且 pH<7 ,可知溶液中 , 所以HR未完全电离,HR为弱酸,B正确; HR PH=6 10.0mL 100.0mL C.假设 为强酸,取 的该溶液 ,加蒸馏水稀释至 测得此时溶液 PH<7 ,C错误; HR NaR D.假设 为强酸,则 为强酸强碱盐,溶液呈中性,升温至50℃,促进水的电离,水 的离子积常数增大,PH减小,D错误; 答案为:B。H SO 3.(2021·广东高考真题)测定浓硫酸试剂中 2 4含量的主要操作包括: ①量取一定量的浓硫酸,稀释; ②转移定容得待测液; 20.00mL 0.1000mol/L NaOH ③移取 待测液,用 的 溶液滴定。 上述操作中,不需要用到的仪器为 A. B. C. D. 【KS5U答案】B 【KS5U解析】 实验过程中,①量取一定量的浓硫酸并稀释所需仪器为:量筒、烧杯、玻璃棒; ②转移定容得待测液所需仪器为:玻璃棒、容量瓶、胶头滴管; ③移取20.00mL待测液,用0.1000mol/L的NaOH溶液滴定所需仪器为:酸式滴定管、碱式滴 定管、锥形瓶; 选项中A为容量瓶,B为分液漏斗,C为锥形瓶,D为碱式滴定管,上述操作中,不需要用到 的仪器为分液漏斗,综上所述,故答案为B。 4.(2021·河北高考真题)下列操作规范且能达到实验目的的是A.图甲测定醋酸浓度 B.图乙测定中和热 C.图丙稀释浓硫酸 D.图丁萃取分离碘水中的碘 【KS5U答案】A 【KS5U解析】 A.氢氧化钠溶液呈碱性,因此需装于碱式滴定管,氢氧化钠溶液与醋酸溶液恰好完全反应 后生成的醋酸钠溶液呈碱性,因此滴定过程中选择酚酞作指示剂,当溶液由无色变为淡红色 时,达到滴定终点,故A选; B.测定中和热实验中温度计用于测定溶液温度,因此不能与烧杯内壁接触,并且大烧杯内 空隙需用硬纸板填充,防止热量散失,故B不选; C.容量瓶为定容仪器,不能用于稀释操作,故C不选; D.分液过程中长颈漏斗下方放液端的长斜面需紧贴烧杯内壁,防止液体留下时飞溅,故D不 选; 综上所述,操作规范且能达到实验目的的是A项,故答案为A。 5.(2021·湖南高考真题)下列实验设计不能达到实验目的的是 实验目的 实验设计 A 检验溶液中FeSO 是否被氧化 取少量待测液,滴加KSCN 溶液,观察溶液颜色变化 4 B 净化实验室制备的Cl 气体依次通过盛有饱和NaCl溶液、浓H SO 的洗气瓶 2 2 4 C 测定NaOH溶液的pH 将待测液滴在湿润的pH试纸上,与标准比色卡对照 D 工业酒精制备无水乙醇 工业酒精中加生石灰,蒸馏 A.A B.B C.C D.D 【KS5U答案】C 【KS5U解析】 A.若Fe2+被氧化为Fe3+,Fe3+能与SCN-生成Fe(SCN),溶液变成血红色,能达到实验目的,故 3 A不符合题意; B.实验室用浓盐酸和二氧化锰加热制氯气,先用饱和食盐水除去混有的氯化氢,再通过浓 硫酸的洗气瓶干燥,能达到实验目的,故B不符合题意; C.用pH试纸测定NaOH溶液的pH不能润湿pH试纸,否则会因浓度减小,而影响测定结果, 不能达到实验目的,故C符合题意;D.制取无水酒精时,通常把工业酒精跟新制的生石灰混合,加热蒸馏,能达到实验目的, 故D不符合题意。 答案选C。 6.(2021·浙江高考真题)25℃时,下列说法正确的是 A.NaHA溶液呈酸性,可以推测HA为强酸 2 B.可溶性正盐BA溶液呈中性,可以推测BA为强酸强碱盐 C.0.010 mol·L-1、0.10mol·L-1的醋酸溶液的电离度分别为α、α,则α<α 1 2 1 2 D.100 mL pH=10.00的NaCO 溶液中水电离出H+的物质的量为1.0×10-5mol 2 3 【KS5U答案】D 【KS5U解析】 A.NaHA溶液呈酸性,可能是HA-的电离程度大于其水解程度,不能据此得出HA为强酸的结 2 论,A错误; B.可溶性正盐BA溶液呈中性,不能推测BA为强酸强碱盐,因为也可能是B+和A-的水解程 度相同,即也可能是弱酸弱碱盐,B错误; C.弱酸的浓度越小,其电离程度越大,因此0.010 mol·L-1、0.10 mol·L-1的醋酸溶液的电 离度分别为α、α,则α>α,C错误; 1 2 1 2 D.100 mL pH=10.00的NaCO 溶液中氢氧根离子的浓度是1×10-4mol/L,碳酸根水解促进水 2 3 的电离,则水电离出H+的浓度是1×10-4mol/L,其物质的量为0.1L×1×10-4mol/L=1×10- 5mol,D正确; 答案选D。 三、实验题 7.(2021·山东高考真题)六氯化钨(WCl)可用作有机合成催化剂,熔点为283℃,沸点为 6 340℃,易溶于CS,极易水解。实验室中,先将三氧化钨(WO)还原为金属钨(W)再制备 2 3 WCl,装置如图所示(夹持装置略)。回答下列问题: 6(1)检查装置气密性并加入WO。先通N,其目的是___;一段时间后,加热管式炉,改通H, 3 2 2 对B处逸出的H 进行后续处理。仪器A的名称为___,证明WO 已被完全还原的现象是___。 2 3 (2)WO 完全还原后,进行的操作为:①冷却,停止通H;②以干燥的接收装置替换E;③在B 3 2 处加装盛有碱石灰的干燥管;④……;⑤加热,通Cl;⑥……。碱石灰的作用是___;操作 2 ④是___,目的是___。 (3)利用碘量法测定WCl 产品纯度,实验如下: 6 ①称量:将足量CS(易挥发)加入干燥的称量瓶中,盖紧称重为mg;开盖并计时1分钟,盖 2 1 紧称重为mg;再开盖加入待测样品并计时1分钟,盖紧称重为mg,则样品质量为___g(不考 2 3 虑空气中水蒸气的干扰)。  2 ②滴定:先将WCl 转化为可溶的NaWO,通过IO3 离子交换柱发生反应:WO4 6 2 4   +Ba(IO)=BaWO+2IO3 ;交换结束后,向所得含IO3 的溶液中加入适量酸化的KI溶液,发生 3 2 4  2 反应:IO3 +5I-+6H+=3I+3HO;反应完全后,用NaSO 标准溶液滴定,发生反应:I+2SO3 2 2 2 2 3 2 2 2 =2I-+SO6 。滴定达终点时消耗cmol•L-1的NaSO 溶液VmL,则样品中WCl(摩尔质量为 4 2 2 3 6 Mg•mol-1)的质量分数为___。称量时,若加入待测样品后,开盖时间超过1分钟,则滴定时消 耗NaSO 溶液的体积将___(填“偏大”“偏小”或“不变”),样品中WCl 质量分数的测定 2 2 3 6 值将___(填“偏大”“偏小”或“不变”)。【KS5U答案】排除装置中的空气 直形冷凝管 淡黄色固体变为银白色 吸收多余氯 气,防止污染空气;防止空气中的水蒸气进入E 再次通入N 排除装置中的H 2 2 cVM ( m+m- 2m) 120m m 2m % 不变 偏大 3 1 2 3 1 2 【分析】 (1) 将WO 在加热条件下用H 还原为W,为防止空气干扰,还原WO 之前要除去装置中的空气; 3 2 3 (2) 由信息可知WCl 极易水解,W与Cl 反应制取WCl 时,要在B处加装盛有碱石灰的干燥管, 6 2 6 防止空气中的水蒸气进入E中; (3)利用碘量法测定WCl 产品纯度,称量时加入足量的CS 用于溶解样品,盖紧称重为mg, 6 2 1 由于CS 易挥发,开盖时要挥发出来,称量的质量要减少,开盖并计时1分钟,盖紧称重 2 mg,则挥发出的CS 的质量为(m- m)g,再开盖加入待测样品并计时1分钟,又挥发出(m- 2 2 1 2 1 m)g的CS,盖紧称重为mg,则样品质量为:mg+2(m- m)g-mg=( m+m- 2m)g;滴定时, 2 2 3 3 1 2 1 3 1 2 2  2 利用关系式:WO4 ~2IO3 ~6I~12 SO3 计算样品中含WCl 的质量,进而计算样品中WCl 的质 2 2 6 6 量分数;根据测定原理分析是否存在误差及误差是偏大还是偏小。 【KS5U解析】 (1)用H 还原WO 制备W,装置中不能有空气,所以先通N,其目的是排除装置中的空气;由 2 3 2 仪器构造可知仪器A的名称为直形冷凝管;WO 为淡黄色固体,被还原后生成W为银白色,所 3 以能证明WO 已被完全还原的现象是淡黄色固体变为银白色,故答案为:淡黄色固体变为银 3 白色; (2) 由信息可知WCl 极易水解,W与Cl 反应制取WCl 时,要在B处加装盛有碱石灰的干燥管, 6 2 6 防止空气中的水蒸气进入E中,所以碱石灰的作用其一是吸收多余氯气,防止污染空气;其 二是防止空气中的水蒸气进入E;在操作⑤加热,通Cl 之前,装置中有多余的H,需要除去, 2 2 所以操作④是再次通入N,目的是排除装置中的H,故答案为:吸收多余氯气,防止污染空 2 2 气;防止空气中的水蒸气进入E;再次通入N;排除装置中的H; 2 2 (3) ①根据分析,称量时加入足量的CS,盖紧称重为mg,由于CS 易挥发,开盖时要挥发 2 1 2 出来,称量的质量要减少,开盖并计时1分钟,盖紧称重mg,则挥发出的CS 的质量为(m- 2 2 1 m)g,再开盖加入待测样品并计时1分钟,又挥发出(m- m)g的CS,盖紧称重为mg,则样 2 1 2 2 3 品质量为:mg+2(m- m)g-mg=( m+m- 2m)g,故答案为:( m+m- 2m); 3 1 2 1 3 1 2 3 1 21 2  2 2 2 ②滴定时,根据关系式:WO ~2IO ~6I~12 SO ,样品中n(WCl)=n(WO )=12n(SO )= 4 3 2 2 3 6 4 2 3 1 1 cVM 12cV10-3mol,m(WCl)= 12 cV10-3molMg/mol=12000g,则样品中WCl 的质量分数为: 6 6 cVM g cVM 12000  100%= %;根据测定原理,称量时,若加入待测样品 (m m 2m )g 120m m 2m  3 1 2 3 1 2 后,开盖时间超过1分钟,挥发的CS 的质量增大,m 偏小,但WCl 的质量不变,则滴定时 2 3 6 消耗NaSO 溶液的体积将不变,样品中WCl 质量分数的测定值将偏大,故答案为: 2 2 3 6 cVM 120m m 2m %;不变;偏大。 3 1 2 Cl O 8.(2021·浙江) 2 是很好的氯化剂,实验室用如图装置(夹持仪器已省略)制备高纯 Cl O 2 。已知: HgO2Cl =HgCl Cl O 18~ 25℃ ① 2 2 2 ,合适反应温度为 ;副反应: 2HgO+2Cl 2HgCl +O 2 2 2。 Cl O ②常压下, Cl 2沸点34.0℃,熔点101.0℃; 2 沸点2.0℃,熔点120.6℃。 Cl O+H O 2HClO Cl O CCl ③ 2 2 , 2 在 4中的溶解度远大于其在水中的溶解度。 请回答:(1)①装置A的作用是去除原料气中的少量水分,可用的试剂是_______。 ②将上图中装置组装完整,虚框D中应选用_______。 (2)有关反应柱B,须进行的操作是_______。 A.将HgO粉末热处理除水分、增加表面积后填入反应柱 Cl N B.调控进入反应柱的混合气中 2和 2的比例 C.调控混合气从下口进入反应柱的流速 D.将加热带缠绕于反应柱并加热 -80~-60℃ (3)装置C,冷却液的温度通常控制在 。反应停止后,温度保持不变,为减少产品 Cl 中的 2含量,可采用的方法是_______。 Cl O Cl O (4)将纯化后的 2 产品气化,通入水中得到高纯度 2 的浓溶液,于阴凉暗处贮存。当 Cl O Cl O CCl 需要 2 时,可将 2 浓溶液用 4萃取分液,经气化重新得到。 针对萃取分液,从下列选项选择合适操作(操作不能重复使用)并排序:c→_______→_______→e→d→f→_______。 a.检查旋塞、玻璃塞处是否漏水 CCl b.将溶液和 4转入分液漏斗 c.涂凡士林 d.旋开旋塞放气 e.倒转分液漏斗,小心振摇 f.经几次振摇并放气后,将分液漏斗置于铁架台上静置 g.打开旋塞,向锥形瓶放出下层液体 h.打开旋塞,待下层液体完全流出后,关闭旋塞,将上层液体倒入锥形瓶 Cl O CCl (5)产品分析:取一定量 2 浓溶液的稀释液,加入适量 4、过量KI溶液及一定量的稀 H SO Na S O 2 4,充分反应。用标准 2 2 3溶液滴定(滴定Ⅰ);再以酚酞为指示剂,用标准 NaOH I Cl 溶液滴定(滴定Ⅱ)。已知产生 2的反应(不考虑 2与水反应): 2I-+Cl =I +2Cl- 2 2 4I-+Cl O+2H+=2I +H O+2Cl- 2 2 2 2I-+HClO+H+=I +H O+Cl- 2 2 实验数据如下表: 加入量nH SO /mol 2.505103 2 4 滴定Ⅰ测出量nI /mol 2.005103 2 滴定Ⅱ测出量nH SO /mol 1.505103 2 4 Na S O ①用标准 2 2 3溶液滴定时,无需另加指示剂。判断滴定Ⅰ到达终点的实验现象是 _______。 ②高纯度 Cl 2 O 浓溶液中要求 nCl 2 O/nCl 2 99 ( Cl 2 O 和HClO均以 Cl 2 O 计)。结合数Cl O 据分析所制备的 2 浓溶液是否符合要求_______。 H SO 【KS5U答案】浓 2 4 a ABC 抽气(或通干燥氮气) a b g CCl 中 4 由紫红色突变到无色,且30s不恢复 溶液中ClO和Cl 分别为1.000×10-3mol、5×10- 2 2 nCl O 2 6mol, nCl  =200>99,符合要求 2 【KS5U解析】 H SO (1)①装置A的作用是去除原料气(Cl、N)中的少量水分,可用的试剂是浓 2 4。 2 2 ②Cl 和ClO都不能直接排放于空气中,因此需要进行尾气处理,Cl、ClO能与NaOH溶液反 2 2 2 2 应,同时需要防止NaOH溶液中水蒸气进入C装置中,因此需要在C和尾气处理装置之间连接 吸收水蒸气的装置,所以虚框D中应选用a装置。 (2)装置B为HgO与Cl 反应制备ClO的装置, 2 2 A.因ClO能与HO发生反应,因此需要将HgO粉末热处理除水分,该反应为固体与气体接触 2 2 类反应,因此增加表面积能够加快反应速率,故A选; B.N 的作用是稀释Cl,在气流速率一定的条件下,氯气所占的比例越小,其转化率越高, 2 2 同时Cl 不足时会发生副反应,因此需要调控进入反应柱的混合气中Cl 和N 的比例,故B选; 2 2 2 C.为了让气体与固体充分接触,混合气体应从下口进入反应柱,同时需要控制气体的流速, 防止副反应发生,故C选; D.HgO与Cl 反应制备ClO的合适反应温度为18℃~25℃,因此该反应在常温下进行,若对 2 2 反应柱加热会发生副反应,故D不选; 综上所述,答案为ABC。 (3)由题可知,Cl 沸点小于ClO,在Cl 未发生冷凝时抽气或通入氮气可以有效的去除产物中 2 2 2 的Cl,故答案为:抽气(或通干燥氮气)。 2 (4)萃取分液的操作顺序为:检漏→加入萃取剂和溶液→振荡摇匀→放气→静置分层→放液, 下层液体从下口流出,上层液体从上口倒出,因CCl 密度大于水,因此萃取后溶有ClO的 4 2 CCl 位于下层,因此操作顺序为:涂凡土林→检查旋塞、玻璃塞处是否漏水→将溶液和CCl 4 4 转入分液漏斗→倒转分液漏斗,小心振摇→旋开旋塞放气→经几次振摇并放气后,将分液漏 斗置于铁架台上静置→打开旋塞,向锥形瓶放出下层液体,故答案为:abg。 (5)①溶有I 的CCl 溶液呈紫红色,用标准NaSO 溶液滴定I 过程中,当I 恰好反应完全时, 2 4 2 2 3 2 2溶液呈无色,因此滴定I 到达终点的实验现象是CCl 中由紫红色突变到无色,且30s不恢复。 2 4 2I Cl I 2Cl 4I Cl O2H 2I H O2Cl ②由 2 2 、 2 2 2 、 2I HClOH I H OCl 2 2 (HClO为Cl 2 O与H 2 O反应的产物)可得关系式:Cl 2 O~ 2H+~2I,由实验数据可知ClO和HClO共消耗n(H+)=2×(2.505×10-3mol-1.505×10- 2 2 3mol)=2×10-3mol,生成I 的物质的量为2×10-3mol,则高纯度ClO浓溶液中n(ClO)=1×10- 2 2 2 3mol,加入过量KI溶液共生成I 的物质的量为2.005×10-3mol,因此Cl 与I-反应生成I 的 2 2 2 物质的量为2.005×10-3mol-2×10-3mol=5×10-6mol,由此可知高纯度ClO浓溶液中 2 nCl O 2 1103mol n(Cl 2 )=5×10-6mol,所以高纯度Cl 2 O浓溶液中 nCl  = 5106mol =200>99,则所制备的 2 高纯度ClO浓溶液符合要求,故答案为:溶液中ClO和Cl 分别为1×10-3mol、5×10-6mol, 2 2 2 nCl O 2 nCl  =200>99,符合要求。 2 9.(2021·河北高考真题)化工专家侯德榜发明的侯氏制碱法为我国纯碱工业和国民经济 发展做出了重要贡献,某化学兴趣小组在实验室中模拟并改进侯氏制碱法制备NaHCO,进一 3 步处理得到产品NaCO 和NHCl,实验流程如图: 2 3 4 回答下列问题: (1)从A~E中选择合适的仪器制备NaHCO,正确的连接顺序是___(按气流方向,用小写字母 3 表示)。为使A中分液漏斗内的稀盐酸顺利滴下,可将分液漏斗上部的玻璃塞打开或___。A. B. C. D. E. (2)B中使用雾化装置的优点是__。 (3)生成NaHCO 的总反应的化学方程式为___。 3 (4)反应完成后,将B中U形管内的混合物处理得到固体NaHCO 和滤液: 3 ①对固体NaHCO 充分加热,产生的气体先通过足量浓硫酸,再通过足量NaO,NaO 增重 3 2 2 2 2 0.14g,则固体NaHCO 的质量为___g。 3 ②向滤液中加入NaCl粉末,存在NaCl(s)+NHCl(aq)→NaCl(aq)+NHCl(s)过程。为使NHCl 4 4 4 沉淀充分析出并分离,根据NaCl和NHCl溶解度曲线,需采用的操作为___、___、洗涤、干 4 燥。(5)无水NaHCO 可作为基准物质标定盐酸浓度.称量前,若无水NaHCO 保存不当,吸收了一定 3 3 量水分,用其标定盐酸浓度时,会使结果___(填标号)。 A.偏高 B.偏低 不变 【KS5U答案】aefbcgh 将玻璃塞上的凹槽对准漏斗颈部的小孔 使氨盐水雾化,可增 大与二氧化碳的接触面积,从而提高产率(或其他合理答案) NH  3 HO+NaCl+CO=NHCl+NaHCO↓ 0.84 蒸发浓缩 冷却结晶 A 2 2 4 3 【分析】 根据工艺流程知,浓氨水中加入氯化钠粉末形成饱和氨盐水后,再通入二氧化碳气体,发生 反应:NH HO+NaCl+CO=NHCl+NaHCO↓,得到的碳酸氢钠晶体烘干后受热分解会生成碳酸 3 2 2 4 3 钠、二氧化碳和水,从而制备得到纯碱;另一方面得到的母液主要溶质为NHCl,再从加入氯 4 NaCl(s)NH Cl(aq)=NaCl(aq)NH Cl(s) 化钠粉末,存在反应 4 4 ,据此分析解答。 【KS5U解析】 NaHCO (1)根据分析可知,要制备 3,需先选用装置A制备二氧化碳,然后通入饱和碳酸氢 NaHCO 钠溶液中除去二氧化碳中的HCl,后与饱和氨盐水充分接触来制备 3,其中过量的二 NaHCO 氧化碳可被氢氧化钠溶液吸收,也能充分利用二氧化碳制备得到少量 3,所以按气 流方向正确的连接顺序应为:aefbcgh;为使A中分液漏斗内的稀盐酸顺利滴下,可将分液漏 斗上部的玻璃塞打开或将玻璃塞上的凹槽对准漏斗颈部的小孔,故答案为:aefbcgh;将玻 璃塞上的凹槽对准漏斗颈部的小孔;(2)B中使用雾化装置使氨盐水雾化,可增大与二氧化碳的接触面积,从而提高产率; NaHCO  (3)根据上述分析可知,生成 3的总反应的化学方程式为NH 3 HO+NaCl+CO=NHCl+NaHCO↓; 2 2 4 3 NaHCO (4)①对固体 3充分加热,产生二氧化碳和水蒸气,反应的化学方程式为:  2NaHCO Na CO +CO H O 3 2 3 2 2 将气体先通过足量浓硫酸,吸收水蒸气,再通过足量 Na O Na O 2 2, 2 2与二氧化碳反应生成碳酸钠和氧气,化学方程式为: 2Na O +2CO =2Na CO +O 0.14g 2 2 2 2 3 2,根据方程式可知,根据差量法可知,当增重 (2CO 44 0.14g 的质量)时,消耗的二氧化碳的质量为 28=0.22g,其物质的量为 22g 0.005mol 44g/mol ,根据关系式2NaHCO CO 可知,消耗的NaHCO 的物质的量 3 2 3 NaHCO 为2  0.005mol=0.01mol,所以固体 3的质量为0.01mol  84g/mol=0.84g; ②根据溶解度虽温度的变化曲线可以看出,氯化铵的溶解度随着温度的升高而不断增大,而 NH Cl 氯化钠的溶解度随着温度的升高变化并不明显,所以要想使 4 沉淀充分析出并分离, 需采用蒸发浓缩、冷却结晶、洗涤、干燥的方法,故答案为:蒸发浓缩、冷却结晶; NaHCO (5)称量前,若无水 3保存不当,吸收了一定量水分,标准液被稀释,浓度减小,所 c(标)V(标) 以用其标定盐酸浓度时,消耗的碳酸氢钠的体积V(标)会增大,根据c(测)= c(测) 可 知,最终会使c(测)偏高,A项符合题意,故答案为:A。四、工业流程题 10.(2021·湖南高考真题)碳酸钠俗称纯碱,是一种重要的化工原料。以碳酸氢铵和氯化 钠为原料制备碳酸钠,并测定产品中少量碳酸氢钠的含量,过程如下: Na CO 步骤I. 2 3的制备 NaHCO 步骤Ⅱ.产品中 3含量测定 ①称取产品2.500g,用蒸馏水溶解,定容于250mL容量瓶中; 0.1000molL1 ②移取25.00mL上述溶液于锥形瓶,加入2滴指示剂M,用 盐酸标准溶液滴 VmL 定,溶液由红色变至近无色(第一滴定终点),消耗盐酸 1 ; 0.1000molL1 ③在上述锥形瓶中再加入2滴指示剂N,继续用 盐酸标准溶液滴定至终点(第 V mL 二滴定终点),又消耗盐酸 2 ; V V ④平行测定三次, 1平均值为22.45, 2平均值为23.51。 NH HCO 已知:(i)当温度超过35℃时, 4 3开始分解。 g/100gH O (ii)相关盐在不同温度下的溶解度表 2 温度/C 0 10 20 30 40 50 60 NaCl 35.7 35.8 36.0 36.3 36.6 37.0 37.3 NH HCO 11.9 15.8 21.0 27.0 4 3NaHCO 6.9 8.2 9.6 11.1 12.7 14.5 16.4 3 NH Cl 29.4 33.3 37.2 41.4 45.8 50.4 55.2 4 回答下列问题: (1)步骤I中晶体A的化学式为_______,晶体A能够析出的原因是_______; (2)步骤I中“300℃加热”所选用的仪器是_______(填标号); A. B. C. D. (3)指示剂N为_______,描述第二滴定终点前后颜色变化_______; NaHCO (4)产品中 3的质量分数为_______(保留三位有效数字); NaHCO (5)第一滴定终点时,某同学俯视读数,其他操作均正确,则 3质量分数的计算结果 _______(填“偏大”“偏小”或“无影响”)。  【KS5U答案】NaHCO 在30-35 C时NaHCO 的溶解度最小(意思合理即可) D 甲 3 3 基橙 由黄色变橙色,且半分钟内不褪色 3.56% 偏大 【分析】 步骤I:制备NaCO 的工艺流程中,先将NaCl加水溶解,制成溶液后加入NHHCO 粉末,水浴 2 3 4 3  加热,根据不同温度条件下各物质的溶解度不同,为了得到NaHCO 晶体,控制温度在30-35 3 C发生反应,最终得到滤液为NHCl,晶体A为NaHCO,再将其洗涤抽干,利用NaHCO 受热易 4 3 3  分解的性质,在300 C加热分解NaHCO 制备NaCO; 3 2 3 步骤II:利用酸碱中和滴定原理测定产品中碳酸氢钠的含量,第一次滴定发生的反应为: NaCO+HCl=NaHCO+NaCl,因为NaCO、NaHCO 溶于水显碱性,且碱性较强,所以可借助酚酞 2 3 3 2 3 3 指示剂的变化来判断滴定终点,结合颜色变化可推出指示剂M为酚酞试剂;第二次滴定时溶 液中的溶质为NaCl,同时还存在反应生成的CO,溶液呈现弱酸性,因为酚酞的变色范围为 2 8-10,所以不适合利用酚酞指示剂检测判断滴定终点,可选择甲基橙试液,所以指示剂N为 甲基橙试液,发生的反应为:NaHCO+HCl=NaCl+HO+CO↑,再根据关系式求出总的NaHCO 的 3 2 2 3物质的量,推导出产品中NaHCO 的,最终通过计算得出产品中NaHCO 的质量分数。 3 3 【KS5U解析】 根据上述分析可知,  (1)根据题给信息中盐在不同温度下的溶解度不难看出,控制温度在30-35 C,目的是为了时  NHHCO 不发生分解,同时析出NaHCO 固体,得到晶体A,因为在30-35 C时,NaHCO 的溶解 4 3 3 3  度最小,故答案为:NaHCO;在30-35 C时NaHCO 的溶解度最小; 3 3  (2)300 C加热抽干后的NaHCO 固体,需用坩埚、泥三角、三脚架进行操作,所以符合题意的 3 为D项,故答案为:D; (3)根据上述分析可知,第二次滴定时,使用的指示剂N为甲基橙试液,滴定到终点前溶液的 溶质为碳酸氢钠和氯化钠,滴定达到终点后溶液的溶质为氯化钠,所以溶液的颜色变化为: 由黄色变为橙色,且半分钟内不褪色; (4) 第一次滴定发生的反应是:NaCO+HCl=NaHCO+NaCl,则n(NaCO)=n 2 3 3 2 3 生成 (NaHCO)=n(HCl)=0.1000mol/L22.4510-3L=2.24510-3mol,第二次滴定消耗的盐酸的体 3 积V=23.51mL,则根据方程式NaHCO+HCl=NaCl+HO+CO↑可知,消耗的NaHCO 的物质的量n 2 3 2 2 3 (NaHCO)= 0.1000mol/L23.5110-3L=2.35110-3mol,则原溶液中的NaHCO 的物质的量 总 3 3 n(NaHCO)= n (NaHCO)- n (NaHCO)= 2.35110-3mol-2.24510-3mol=1.0610-4mol,则 3 总 3 生成 3 100mL 1.0610-4mol 原产品中NaHCO 的物质的量为 10mL =1.0610-3mol,故产品中NaHCO 的质 3 3 1.0610-3mol84g/mol 100%3.5616%3.56% 量分数为 2.5000g ,故答案为:3.56%; (5)若该同学第一次滴定时,其他操作均正确的情况下,俯视读数,则会使标准液盐酸的体 积偏小,即测得V偏小,所以原产品中NaHCO 的物质的量会偏大,最终导致其质量分数会偏 1 3 大,故答案为:偏大。2021年化学高考模拟题 一、单选题 1.(2021·福建省南安第一中学高三二模)常温下,下列说法正确的是 HCO- SO2- SO2- A.某溶液中含有 3、 3 、 4 和Na+,若向其中加入NaO,充分反应后,四种离子 2 2 SO2- 的浓度不变的是 4 (忽略反应前后溶液体积的变化) NH+ SO2- B.水电离的c (H+)=10-12mol·L—1的溶液中,下列离子能大量共存: 4、Na+、 4 、 水 HCO- 3 C.氢氧化铁溶于HI溶液中的离子方程式为:2Fe(OH)+6H++2I—=2Fe2++I+6HO 3 2 2 SO2- D.NaHS溶液中,下列离子能大量共存:K+、Al3+、Cl—、 4 【KS5U答案】C 【KS5U解析】 A.向溶液中加入具有强氧化性的过氧化钠固体,过氧化钠能将溶液中的亚硫酸根离子氧化 为硫酸根离子,溶液中硫酸根离子浓度会增大,故A错误; B.水电离的c (H+)=10-12mol·L—1的溶液可能为酸溶液,也可能为碱溶液,酸溶液中,氢离 水 子与碳酸氢根离子反应,不能大量共存,碱溶液中,氢氧根离子与铵根离子、碳酸氢根离子 反应,不能大量共存,故B错误; C.氢氧化铁溶于氢碘酸溶液的反应为氢氧化铁与氢碘酸溶液反应生成碘化亚铁、碘和水, 反应的离子方程式为2Fe(OH)+6H++2I—=2Fe2++I+6HO,故C正确; 3 2 2 D.在硫氢化钠溶液中,硫氢根离子与铝离子会发生双水解反应生成氢氧化铝沉淀和硫化氢 气体,不能大量共存,故D错误; 故选C。 2.(2021·安徽高三一模)25℃,向20mL0.1mol•L-1的弱碱BOH溶液(K=1.0×10-5)中逐滴 b 加入0.1mol•L-1盐酸,pH~V曲线如图所示,下列说法正确的是A.a点到b点,水的电离程度先减小后增大 B.a点时,c(Cl-)+c(OH-)=c(H+)+c(BOH) C.b点时,c(Cl-)=c(BOH)+c(B+)+c(H+) D.V=20mL时,c(Cl-)>c(B+)>c(OH-)>c(H+) 【KS5U答案】B 【KS5U解析】 A.当BOH与盐酸恰好完全反应时,溶液中的溶质为0.05mol/LBCl,此时溶液中存在B+的水 1014 解,BOH的电离平衡常数K b =1.0×10-5,则B+的水解平衡常数为K h =1105 =10-9;则此时溶液 5 中满足K=c(H+)c(BOH)/c(B+)≈c(H+)c(BOH)/0.05mol·L−1,c(H+)=c(BOH),解得c(H+)= h ×10-5.5mol/L,所以此时溶液的pH>5,即b点BOH已经完全反应,a点到b点,BOH逐渐和盐 酸完全反应,然后盐酸过量,则水的电离程度先增大后减小,A错误; B.a点时,溶液中存在电荷守恒c(Cl-)+c(OH-)=c(H+)+c(B+),此时pH=9,则c(OH-)=10- c(OH)c(B+) 5mol/L,BOH的电离平衡常数K= c(BOH) =1.0×10-5,所以此时c(BOH)=c(B+),则 b c(Cl-)+c(OH-)=c(H+)+c(BOH),B正确; C.当BOH和盐酸恰好完全反应时,溶液中存在物料守恒:c(Cl-)=c(BOH)+c(B+),b点时盐酸 过量,所加入的盐酸中存在c′(Cl-)=c′(H+),若加入到混合溶液中后,B+的水解不受影响, 则c(Cl-)=c(BOH)+c(B+)+c(H+),但盐酸的电离会抑制B+,所以c(Cl-)>c(BOH)+c(B+) +c(H+),C错误; D.V=20mL时,溶液中溶质为BCl,溶液存在B+的水解,溶液显酸性,但水解是微弱的,所以c(Cl-)>c(B+)>c(H+)>c(OH-),D错误; 综上所述答案为B。 3.(2021·安徽高三一模)下列实验能达到目的的是 A.装置甲证明醋酸为弱酸 B.装置乙处理Cl 尾气 2 C.装置丙除去乙醇中少量的水 D.装置丁准确量取一定体积的酸性KMnO 标准 4 溶液 【KS5U答案】A 【KS5U解析】 A.醋酸钠水解显碱性,测定盐溶液的pH可证明醋酸为弱酸,能够达到实验目的,故A选; B.氯气在饱和NaCl溶液中的溶解度很小,不能用来处理Cl 尾气,应用氢氧化钠溶液吸收 2 尾气中的氯气,故B不选; C.乙醇和水均易挥发,不能通过蒸发的方法装除去乙醇中少量的水,故C不选; D.KMnO 溶液具有强氧化性,能够腐蚀橡胶管,不能用碱式滴定管量取一定体积的酸性KMnO 4 4 标准溶液,应用酸式滴定管,故D不选; 故选A。 4.(2021·浙江高三其他模拟)25℃时,下列说法正确的是 A.HA溶液与NaOH溶液按物质的量1:1恰好完全反应时,溶液酸碱性无法判断 2 B.可溶性正盐BA溶液呈中性,可以推测BA对水的电离没有影响 C.醋酸的电离度:pH=3的醋酸溶液大于pH=4的醋酸溶液 D.pH=2的HCl和pH=12的Ba(OH) 溶液等体积混合后,溶液显碱性 2 【KS5U答案】A 【KS5U解析】 A.HA溶液与NaOH溶液按物质的量1:1恰好完全反应后,生成的是NaHA,但是HA的电离 2 2 常数不知道,所以该溶液酸碱性无法判断,A正确; B.可溶性正盐BA溶液呈中性,只能说明HA和BOH的强弱相同,但是如果都是弱酸,且电离 常数相同,则BA的阴阳离子水解程度相同,促进水的电离,B错误;C.醋酸是弱电解质,稀释促进电离,稀释后水的PH增大,PH越大说明越稀,水的电离程度 越大,C错误; D.pH=2的HCl和pH=12的Ba(OH) 当中,氢离子和氢氧根离子浓度相同,溶液等体积混合后, 2 溶液显中性,D错误; 故选A。 5.(2021·阜新市第二高级中学高三其他模拟)利用下列装置能达到相应实验目的的是 A.用图Ⅰ装置测定氯水的pH B.用图Ⅱ装置保存液溴 C.用图Ⅲ装置制备Fe(OH) 并能较长时间不变色 2 D.用图Ⅳ装置进行中和滴定 【KS5U答案】C 【KS5U解析】 A.氯水中含有HCl和HClO,HClO具有漂白性,氯水能使pH试纸先变红后褪色,不能用pH 试纸测定氨水的pH ,A错误; B.液溴能够腐蚀橡胶,不能用橡胶塞,B错误; C.Fe与电源正极相连,作阳极,Fe发生氧化反应生成Fe2+,碳棒为阴极,水在碳棒上发生 还原反应生成氢气,同时产生OH-,Fe2+结合阴极产生的OH-生成Fe(OH),煤油可以隔绝空气 2 防止Fe(OH) 被氧化,所以可用图Ⅲ装置制备Fe(OH),并能较长时间不变色,C正确; 2 2 D.将酸滴入氢氧化钠待测液时,需要使用酸式滴定管滴加酸,图中为碱式滴定管,D错误; 故选C。 6.(2021·天津)常温下,下列溶液中各组离子一定能够大量共存的是 2- - A.c(H+)/c(OH-)=1.0 ×10-12的溶液: K+、 Na+、CO3 、AlO2 2- B.水电离出来的c(OH-)=1.0 ×10-13mol/L的溶液: K+、 Cl-、S2- 、SO3+ 2- 2- C.使甲基橙变红色的溶液中:Na+、NH4、 SO3 、SO3 2 D.通入足量SO 后的溶液: Na+、 Ba2+、ClO-、CHCOO- 2 3 【KS5U答案】A 【KS5U解析】 2- - A.c(H+)/c(OH-)=1.0×10-12的溶液显碱性,K+、Na+、CO3 、AlO2之间不反应,可以大量共存, A选; 2- B.水电离出来的c(OH-)=1.0 ×10-13mol/L的溶液如果显酸性S2-、SO3 和氢离子反应生成单 质硫和水,不能大量共存,B不选; 2- 2- C.使甲基橙变红色的溶液显酸性,酸性溶液中SO3 、SO3 均与氢离子反应,不能大量共存, 2 C不选; D.通入足量SO 后的溶液中ClO-能氧化二氧化硫,CHCOO-能与氢离子结合生成醋酸,均不能 2 3 大量共存,D不选; 答案选A。 7.(2021·安徽高三其他模拟)常温下,将HCl气体通入0.1 mol/L氨水中,混合溶液中 nHCl pH与微粒浓度的对数值(lgc)和反应物物质的量之比X[X=n(NH H O)n(NH)]的关系 3 2 4 如图所示(忽略溶液体积的变化),下列说法正确的是 A.NH·HO的电离平衡常数为10-9.25 3 2 B.P 点由水电离出的c(H+)=1.0×10-7 mol/L 2  C.P 为恰好完全反应点,c(Cl-)+c(NH4)=0.2 mol/L 3 D.P 之后,水的电离程度一直减小 3【KS5U答案】B 【KS5U解析】 A.一水合氨电离平衡状态下,溶液中铵根离子和氢氧根离子浓度相同时,氨水浓度为 NH+ 0.1mol/L,图象分析可知,c( 4)=c(OH-)≈10-3mol/L,NH•HO的电离平衡常数K= 3 2 b c  NH+ c(OH-) 4 103103 cNH •H O = =10-5,A错误; 0.1 3 2 B.由图可知,P 点对应的溶液pH=7,故由水电离出的c(H+)=1.0×10-7 mol/L,B正确; 2 nHCl C.P 3 所示溶液,t=nNH •H O=1,n(HCl)=n(NH 3 •H 2 O),溶液中存在物料守恒得到:c( 3 2 NH+ NH+ NH+ 4)+c(NH•HO)=c(Cl-)=0.1mol/L,故c(Cl-)+c( 4)= 2c( 4)+c(NH•HO)< 3 2 3 2 0.2mol/L,C错误; D.P 点为恰好完全反应,溶质为NHCl,故之后,加入的HCl越来越多,由于H+对水解的抑 3 4 制作用,水的电离程度减小,当HCl达到饱和溶液时,水的电离程度将不再改变,故不是一 直减小,D错误; 故答案为:B。 8.(2021·陕西宝鸡市·高三其他模拟)常温下,向20 mL 0.01 mol·L-1的NaOH溶液中逐 滴加入0.01 mol·L-1的CHCOOH溶液,溶液中由水电离出的c (OH-)的对数随加入CHCOOH 3 水 3 溶液体积的变化如图所示,下列说法正确的是 A.H、F点溶液显中性 B.E点溶液中由水电离的c (OH—)=1×10-3 mol·L-1 水 C.H点溶液中离子浓度关系为c(CHCOO—)>c(Na+)>c(H+)>c(OH—) 3 D.G点溶液中各离子浓度关系为c(CHCOO—)=c(Na+)+c(H+)—c(OH—) 3 【KS5U答案】D【分析】 氢氧化钠在溶液中抑制水的电离,向氢氧化钠溶液中加入醋酸,对水的电离的抑制作用逐渐 减弱,当溶液为醋酸钠溶液时,水的电离程度最大,则G点为醋酸钠溶液;从E点到G点的 反应过程中,所得溶液为氢氧化钠和醋酸钠的混合溶液,溶液为碱性;H点为醋酸和醋酸钠 混合溶液,溶液呈中性。 【KS5U解析】 A.由分析可知,H点为醋酸和醋酸钠混合溶液,溶液呈中性,F点为氢氧化钠和醋酸钠的混 合溶液,溶液为碱性,故A错误; B.氢氧化钠在溶液中抑制水的电离,0.01 mol·L-1的氢氧化钠溶液中氢氧根离子的浓度为 0.01 mol·L-1,则溶液中水电离的氢离子浓度为10-12 mol·L-1,故B错误; C.由分析可知,H点为醋酸和醋酸钠混合溶液,溶液呈中性,由电荷守恒关系c(CHCOO—) 3 +c(OH—)=c(Na+)+c(H+)可知,溶液中离子浓度关系为c(CHCOO—)=c(Na+)>c(H+)=c(OH—),故C 3 错误; D.由分析可知,G点为醋酸钠溶液,由电荷守恒关系c(CHCOO—)+c(OH—)=c(Na+)+c(H+)可知, 3 溶液中各离子浓度关系为c(CHCOO—)=c(Na+)+c(H+)—c(OH—),故D正确; 3 故选D。 9.(2021·广西南宁市·南宁三中高三三模)常温下 用如图1所示装置,分别向 , 25mL0.3mol/L NaCO 溶液和25mL0.3mo/lLNaHCO 溶液中逐滴滴加0.3mol/L的稀盐酸,用压 2 3 3 强传感器测得压强随盐酸体积的变化曲线如图2所示。下列说法正确的是 A.X曲线为NaCO 溶液的滴定曲线 2 3 B.b点溶液的pH大于c点溶液的pH C.a、d两点水的电离程度:a>d2- - D.c点的溶液中:c(Na+)+c(H+)=2c(CO3 )+c(HCO3 )+c(OH-) 【KS5U答案】C 【KS5U解析】 2- - - A.碳酸钠溶液中滴加盐酸时先发生反应CO3 +H+= HCO3 +HO 然后发生HCO3 2 , - +H=HCO+HO,碳酸氢钠溶液中滴加盐酸时发生HCO3 +H=HCO+HO,所以滴加25mL盐酸 + 2 3 2 + 2 3 2 时,碳酸钠溶液中几乎不产生二氧化碳,压强几乎不变,而碳酸氫钠恰好完全反应,压 强达到最大,所以X代表NaHCO 溶液,Y代表NaCO 溶液,A错误: 3 2 3 B. b点溶液溶质为NaCl, c点溶液溶质为NaHCO 所以c点代表溶液的pH更大,B错误: 3, C. d点盐酸和碳酸钠恰好完全反应,溶质为NaCl,还有少量溶解的二氧化碳,而a点 - 2- 溶质为碳酸钠和碳酸氢钠,HCO3、CO3 的水解都会促进水的电离,所以a点水的电离程 度更大,C正确。 2- - D. c点的溶液中:根据电荷守恒知,c(Na+)+(H+)= 2(CO3 )+c(HCO3)+c(OH-)+c(C1-),D 错误。 故选:C。 10.(2021·天津高三三模)下列关于实验操作或现象说法正确的是A.图1:进行氢氧化铁胶体的电泳实验,通电后,阴极附近颜色逐渐加深 B.图2:烧瓶中溶液为蒸馏水,反应一段时间后,试管中铁粉变为红棕色 C.图3:分离乙醚和苯 D.图4:接近滴定终点时,滴定管的尖嘴不可以接触锥形瓶内壁 【KS5U答案】A 【KS5U解析】 A.氢氧化铁胶体的胶粒带正电荷,进行氢氧化铁胶体的电泳实验,通电后,阴极附近颜色 逐渐加深,A正确; B.铁和水蒸气反应生成黑色的四氧化三铁,得不到红棕色的氧化铁,B错误; C.通过蒸馏分离乙醚和苯时,应该用直形冷凝管,C错误; D.滴定接近终点时,滴定管的尖嘴可接触锥形瓶内壁,从而控制加入半滴溶液,D错误; 答案选A。 11.(2021·天津高三三模)常温下,用0.1mol·L-1NaOH溶液滴定40mL0.1mol·L-1HSO 溶 2 3 液,所得滴定曲线如图所示(忽略混合时溶液体积的变化)。下列叙述错误的是 A.可求出K(HSO)、K(HSO)的值 a1 2 3 a2 2 3 B.滴定中两次反应终点可依次用甲基橙、酚酞作指示剂 2 C.图中Y点对应的溶液中3c(SO3 )=c(Na+)+c(H+)-c(OH-) 2  D.图中Z点对应的溶液中:c(Na+)>c(SO3 )>c(HSO3 )>c(OH-) 【KS5U答案】D 【KS5U解析】c(HSO-)•c  H + 3 A.混合溶液中W点c(HSO)=c( ),K (HSO)= =c(H+)=10-pH=10-2,混 2 3 HSO- a1 2 3 c(H SO ) 3 2 3 c(SO2-)•c  H+ 3 合溶液Y点中c( )=c( ),K (HSO)= =c(H+)=10-pH=10-7.19,故可求 SO2- HSO- a2 2 3 c(HSO-) 3 3 3 出K(HSO)、K(HSO)的值,A正确; a1 2 3 a2 2 3 B.甲基橙变色范围为3.1-4.4,滴定到第一反应终点溶液pH值为4.25,在其范围内,所以 可以选取甲基橙作指示剂, 酚酞的变色范围是8.2~10.0,滴定到第二反应终点溶液pH值为 9.86,在其范围内,所以可以选取酚酞作指示剂,B正确; SO2- HSO- C.Y点溶液中存在电荷守恒c(Na+)+c(H+)=2c( 3 )+c( 3)+c(OH-)且该点溶液中存在c( SO2- HSO- SO2- 3 )=c( 3),所以存在3c( 3 )=c(Na+)+c(H+)-c(OH-),C正确; SO2- D.Z点酸碱恰好完全反应生成NaSO, 3 两步水解生成OH-导致溶液呈碱性,但只有第一 2 3 HSO- HSO- SO2- 步水解生成 3,所以c( 3)<c(OH-),由物料守恒知c(Na+)>c( 3 ),则该点溶液 SO2- HSO- 中存在c(Na+)>c( 3 )>c(OH-)>c( 3),D错误; 故答案为:D。 12.(2021·天津高三一模)下列说法正确的是 A.常温下,由水电离产生的c(H+)=10-12mol/L的溶液中:K+、Na+、ClO-、I-大量共存  2 B.苯酚溶液中:Cl-、NH4、CO3 可以大量共存  C.次氯酸钠溶液中通少量CO:ClO-+CO+HO=HClO+HCO3 2 2 2 Δ  D.用银氨溶液检验醛基的离子方程式:RCHO+2Ag(NH)OH RCOO-+NH4+2Ag↓+3NH+HO 3 2 3 2 【KS5U答案】C 【KS5U解析】 A.ClO-、I-发生氧化还原反应而不能大量共存;常温下,由水电离产生的c(H+)=10-12mol/L的溶液,说明水的电离受到了抑制,溶液可能因溶质电离显酸性,也可能因溶质电离显碱性, 酸性溶液中H+能与ClO-、发生反应,不能大量共存,A错误; 2  B. 苯酚的酸性介于碳酸的一级电离与二级电离之间,则苯酚能与CO3 反应生成HCO3 ,不 可以大量共存,B错误; C. 次氯酸的电离平衡常数介于碳酸的一级电离平衡常数与二级电离平衡常数之间,则次氯  酸钠溶液中通少量CO:ClO-+CO+HO=HClO+HCO3 ,C正确; 2 2 2  D. 醛基能被银氨溶液氧化,则用银氨溶液检验醛基的离子方程式:RCHO+2Ag(NH)2 +2OH- 3 Δ  RCOO-+NH4+2Ag↓+3NH+HO,D错误。 3 2 答案选C。 13.(2021·天津高三二模)下列说法不正确的是 A.某离子被沉淀完全是指该离子在溶液中的浓度为0 B.将KCl溶液从常温加热至100℃,溶液的pH变小但仍保持中性 C.常温下,NaCN溶液呈碱性,说明HCN是弱电解质 D.常温下,pH为3的醋酸溶液中加入醋酸钠固体,溶液pH增大 【KS5U答案】A 【KS5U解析】 1105 A.某离子被沉淀完全是指该离子在溶液中的浓度小于 ,A说法错误; B.将KCl溶液从常温加热至100℃,水电离产生的氢离子浓度增大,则溶液的pH变小但仍 保持中性,B说法正确; C.常温下,NaCN溶液呈碱性,说明CN-水解产生HCN和氢氧根离子,则HCN是弱电解质,C 说法正确; D.常温下,pH为3的醋酸溶液中加入醋酸钠固体,导致溶液中醋酸根离子浓度增大,醋酸 的电离平衡逆向移动,氢离子浓度减小,则溶液pH增大,D说法正确。 故选A。 14.(2021·天津高三二模)下列化学实验基本操作中正确的是 A.分液时,碘的四氯化碳溶液从分液漏斗下口放出,水层从上口倒出 B.蒸馏时,将温度计水银球置于被蒸馏的石油液面下,且不触及蒸馏烧瓶的底部C.滴定时,左手控制滴定管活塞,右手握持锥形瓶,边滴边振荡并平视滴定管内液面 D.用HCl标准溶液滴定NaHCO 溶液来测定其浓度,选择酚酞为指示剂 3 【KS5U答案】A 【KS5U解析】 A.分液时,下层溶液从分液漏斗下口放出,上层溶液从上口倒出,四氯化碳的密度比水大, 则碘的四氯化碳溶液从分液漏斗下口放出,水层从上口倒出,故A正确; B.蒸馏时,应将温度计水银球置于蒸馏烧瓶的支管口处,用于测定馏出物的温度,故B错误; C.滴定时,左手控制滴定管活塞,右手握持锥形瓶,边滴边振荡并注视锥形瓶中溶液颜色 的变化,故C错误; D.强酸滴定弱碱时,应选用甲基橙为指示剂,则用盐酸标准溶液滴定碳酸氢钠溶液来测定 其浓度,应选择酚酞为甲基橙,故D错误; 故选A。 15.(2021·天津高三一模)常温下,将NaOH溶液滴加到20mL等浓度的某一元酸(HA)溶液 c(A-) c(A-) 中,测得混合溶液的pH与离子浓度变化关系如图所示[已知:pc(HA) =-lgc(HA) ]。下列 叙述不正确的是 A.m点:c(Na+)m>1 【KS5U答案】D 【KS5U解析】 c(H)+c(Na)=c(OH)+c(A) A.根据电荷守恒可得 ,又由图示可知m点pH=4.76,则 c(H)>c(OH) ,所以m点:c(Na+)K(HY) a a B.M点溶液显中性,溶液中c(Y-)K(HY),故A不选; a a B.本题为向酸中滴加Ba(OH) 溶液,因此随着Ba(OH) 溶液的加入溶液先进行酸碱中和反应, 2 2 c  H 所以当HY与Ba(OH) 溶液中水电离出的 第一次达到1107mol/L时为中性点,当继 2 c  H =1107mol/L 续滴加Ba(OH) 溶液会抑制水的电离(N点之后),即第二次水电离 该点 2 c  H 2c  Ba2 =c  Y c  OH 为碱性点,所以M点呈中性,根据电荷守恒 ,所以 c(Y-)>(Ba2+),故B; c  OH =0.2mol/L C.N点完全反应点,0.1mol/LBa(OH) 溶液中 ,故消耗完20mL0.1mol/L 2 的HY需要10mL0.1mol/LBa(OH) 溶液,故C不选; 2 c  H 2c  Ba2 =c  X c  OH D.根据电荷守恒可得T点 ;M点 c  H 2c  Ba2 =c  Y c  OH c  Ba2 c  H ;T、M点 相同,T点 大于M点,所以 c  X c  OH>c  Y c  OH ,故D不选。 答案选B 17.(2021·辽宁高三其他模拟)下列有关实验操作说法正确的是 A.滴定实验时,滴定管、锥形瓶均需润洗以减小误差 MgSO B.硫酸镁溶液加热蒸干可得到 4晶体 C.分离苯和水混合液振荡时,分液漏斗尖嘴应向下倾斜D.蒸馏时应先加热再开冷凝水,实验结束后先关冷凝水再停止加热 【KS5U答案】B 【KS5U解析】 A.中和滴定实验中,锥形瓶用蒸馏水洗净后即可使用,不需要润洗,故A错误; B.硫酸镁溶液易水解生成Mg(OH) 和HSO,加热促进硫酸镁水解,由于HSO 难挥发,蒸干 2 2 4 2 4 时得到MgSO 晶体,故B正确; 4 C.分液操作振荡时分液漏斗下口朝上,上下颠倒,便于充分混合,故C错误; D.蒸馏时,先开冷凝水,防止馏分散失,蒸馏完毕后,先撤酒精灯,保证馏分完全接收, 故D错误; 故选:B。 二、工业流程题 18.(2021·南岸区·重庆第二外国语学校高三三模)过碳酸钠(2NaCO·3HO)广泛用于化 2 3 2 2 工、造纸、纺织、食品等行业,一种以芒硝(NaSO·10HO)、HO 等为原料制备过碳酸钠的 2 4 2 2 2 工艺流程如下: 2 2 2 已知①2CrO4 +2H+ CrO7 +HO,pH小于5时几乎均以CrO7 形式存在,pH大于8.5时几 2 2 2 2 乎均以CrO4 形式存在。②铬属于重金属元素。回答下列问题: (1)原料之一的HO 电子式是_______。 2 2 (2)Cr元素经步骤II再循环到步骤I中,则循环物质X为_______(填化学式)。 (3)Ksp(CaCrO)_______(填“>”或“<”)Ksp(CaSO)。 4 4 (4)步骤II中发生反应的化学方程式为_______ (5)步骤I~III是为了制得纯碱,从环境保护的角度看,可能的不足之处是_______(6)步骤V合成时,加入95%的乙醇的目的是_______ (7)测定产品活性氧的实验步骤如下:准确称取mg产品,用硫酸溶解后,用cmol·L-1的 KMnO 标准溶液滴定至终点,消耗KMnO 标准溶液VmL。 4 4 ①滴定到终点时,溶液呈_______(填“无色”或“浅红色”)。 ②过氧化物的活性氧是指过氧化物单独用催化剂催化分解时放出氧气的质量与样品的质量之 比。该实验测得的产品中活性氧为_______(列出计算表达式)。 【KS5U答案】 NaCrO > 2NaCrO+2CO+HO NaCrO+2NaHCO↓ 2 2 7 2 4 2 2  2 2 7 3 4cV% 六价铬有毒,易造成环境污染 减小过碳酸钠的溶解度,提高产率 浅红色 m 【分析】 以芒硝(NaSO•10HO)、HO 等为原料制备过碳酸钠,芒硝加入水、氧化钙反应得到铬酸钙, 2 4 2 2 2 和硫酸钠反应得到硫酸钙和铬酸钠,溶液中通入二氧化碳反应生成碳酸氢钠晶体和重铬酸钠, 过滤得到碳酸氢钠煅烧分解生成碳酸钠,加入水精制得到碳酸钠溶液,加入硅酸钠稳定剂、 30%的过氧化氢、加入95%的乙醇和饱和碳酸钠溶液反应得到过碳酸钠晶体,抽滤乙醇洗涤干 燥得到过碳酸钠。 【KS5U解析】 (1)HO 的电子式为 ; 2 2 2 2 2 (2)已知2CrO4 +2H+ CrO7 +HO,pH小于5时几乎均以CrO7 形式存在,pH大于8.5时几 2 2 2 2 乎均以CrO4 形式存在,酸溶液中平衡正向进行,流程中循环物质X为:NaCrO, 2 2 7 故答案为NaCrO; 2 2 7 (3)分析过程可知Ⅰ加入NaCrO 生成CaSO,说明反应向更难溶的方向进行,证明K (CaCrO) 2 4 4 sp 4 >Ksp(CaSO),故答案为>; 4 (4)步骤Ⅱ中发生反应的二氧化碳通入铬酸钠溶液中发生反应生成重铬酸钠和碳酸氢钠晶体, 反应的化学方程式为:2NaCrO+2CO+HO NaCrO+2NaHCO↓,故答案为 2 4 2 2  2 2 7 3 2NaCrO+2CO+HO NaCrO+2NaHCO↓; 2 4 2 2  2 2 7 3 (5)步骤Ⅰ-Ⅲ是为了制得纯碱,从环境保护的角度看:六价铬有毒,易造成环境污染,故答 案为六价铬有毒,易造成环境污染;(6)步骤V合成时,加入95%的乙醇的目的是:减小过碳酸钠的溶解度,提高产率,故答案为 减小过碳酸钠的溶解度,提高产率; (7)①滴定终点是滴入最后一滴高锰酸钾溶液,溶液无色变为紫红色且半分钟不变,证明反 应达到反应终点,故答案为浅红色; ②准确称取mg产品,用硫酸溶解后,用cmol•L-1的KMnO 标准溶液滴定至终点,消耗KMnO 4 4 标准溶液VmL,反应为:5HO+3HSO+2KMnO=KSO+2MnSO+8HO+5O↑,n(HO)= 2 2 2 4 4 2 4 4 2 2 2 2 5cV10-3 2 mol=2.5×10-3cVmol,2H 2 O 2 =2H 2 O+O 2 ↑,分解生成氧气质量=2.5×10- 1 3cVmol×32g/mol× =0.04cVg,过氧化物的活性氧是指过氧化物单独用催化剂催化分解时 2 0.04cVg 4cV% 4cV% 放出氧气的质量与样品的质量之比= mg ×100%= m ,故答案为 m 。 19.(2021·吉林长春市·东北师大附中高三其他模拟)三氯乙醛(CClCHO)是生产农药、医 3 药的重要中间体,实验室制备三氯乙醛的反应装置示意图(加热装置未画出)和有关数据如图: ①制备反应原理:CHOH+4Cl→CClCHO+5HCl。 2 5 2 3 ②反应过程中 CHOH和HCl 可能会生成副产物 CHCl,同时CClCHO(三氯乙醛)也能被次氯 2 5 2 5 3 酸继续氧化生成 CClCOOH(三氯乙酸) 3 ③相关物质的相对分子质量及部分物理性质: 相对分子质量 熔点/C 沸点/C 溶解性 CHOH 46 -114.1 78.3 与水互溶 2 5 CClCHO 147.5 -57.5 97.8 可溶于水、乙醇 3 CClCOO 163.5 58 198 可溶于水、乙醇、三氯乙醛 3H CHCl 64.5 -138. 7 12.3 微溶于水,可溶于乙醇 2 5 (1)A 中所发生反应的离子方程式为___________。 (2)仪器 C 的名称为___________,仪器 E 的进水口为___________(填“a”或“b”)。 (3)装置 D 中的试剂应为___________。 (4)反应结束后,有人提出先将 C 中的混合物冷却到室温,再用分液的方法分离出三氯乙酸 杂质。你认为此方案是否可行___________(填“是”或“否”),原因是___________。 (5)该设计装置中存在一处缺陷是___________,导致引起的后果是___________。 (6)测定产品纯度:称取产品4.6 g 配成待测溶液 100.00 mL,取待测液 10.00 mL 于滴定 瓶中,加入0.1000 mol/L 碘标准溶液 25.00 mL,再加入适量 NaCO 溶液,反应完全后,加 2 3 盐酸调节溶液的pH,立即用 0.02000 mol/LNaSO 溶液滴定至终点。进行三次平行实验,测 2 2 3 得平均消耗NaSO 溶液 20.00 mL。则产品的纯度为___________(计算结果保留四位有效数 2 2 3 字)。 2- 滴定原理:CClCHO+OH-=CHCl+HCOO- ,HCOO-+I =H++2I-+CO ,I+2SO3 =2I- +SO 3 3 2 2 2 2 4 2- 6 。 - 【KS5U答案】2MnO4+16H++10Cl-=2Mn2++5Cl↑+8HO 三颈烧瓶(三口瓶) a 2 2 NaOH溶液 否 CClCOOH溶于乙醇与CClCHO,无法分液 无干燥装置 氯气和水 3 3 反应生成HCl和HClO,会进一步生成副产物 73.75% 【分析】 由实验装置图可知,装置A中高锰酸钾与浓盐酸反应制备氯气,其中恒压漏斗起平衡压强的 作用,便于浓盐酸顺利流下,浓盐酸具有挥发性,制得的氯气中混有氯化氢气体,将混合气 体通入盛有饱和食盐水的洗气瓶B中除去氯化氢气体,氯气在装置C中与乙醇反应制得三氯 乙醛,其中球形冷凝管起冷凝回流作用,防止易挥发的三氯乙醛挥发损失,导致三氯乙醛产 率降低,装置D中盛有的氢氧化钠溶液用于吸收氯化氢和未反应的氯气,防止污染空气,其 中倒置的漏斗起防止倒吸的作用,由于氯气与水反应会生成次氯酸,次氯酸能将三氯乙醛氧 化为三氯乙酸,所以实验时应在B、C间和C、D间缺少2个吸收水蒸气的装置,防止氯气与 水反应生成次氯酸将三氯乙醛氧化。 【KS5U解析】(1)仪器A中发生的反应为高锰酸钾与浓盐酸反应生成氯化钾、氯化锰、氯气和水,反应的离 - 子方程式为2MnO4 +16H++10Cl-=2Mn2++5Cl↑+8HO; 2 2 (2)仪器 C 的名称为三颈烧瓶(三口瓶);仪器 E 为球形冷凝管,进水口为a; (3)装置D中盛有的氢氧化钠溶液用于吸收氯化氢和未反应的氯气,防止污染空气; (4)反应结束后,有人提出先将C中的混合物冷却到室温,再用分液的方法分离出三氯乙酸, 该方法不可行;原因是CClCOOH溶于乙醇与CClCHO,无法分液; 3 3 (5)由分析可知,该设计流程中存在一处缺陷是实验时应在B、C间和C、D间缺少2个吸收水 蒸气的干燥装置;可能导致氯气与水反应会生成次氯酸,次氯酸将三氯乙醛氧化为三氯乙酸, 导致三氯乙醛产率降低; 2- 2- (6)由题意滴定原理:CClCHO+OH﹣=CHCl+HCOO-、HCOO-+I=H++2I﹣+CO、I+2SO3 =2I-+SO6 3 3 2 2 2 2 4 1 可知,测定产品纯度时存在如下关系式:n(I)= n(CClCHO)+ ×n(NaSO),则产品的纯 2 3 2 2 2 3  1  100ml 0.1mol/L0.025L- 0.02mol/L0.02L 147.5g/mol    2  10ml 度为 100% = 4.6g 73.75%。 20.(2021·阜新市第二高级中学高三其他模拟)乳酸亚铁晶体{[CHCH(OH)COO]Fe•3HO}几 3 2 2 乎不溶于乙醇,易被氧化。以赤铁矿渣(主要成分是FeO,含少量AlO、SiO 杂质)和乳酸 2 3 2 3 2 [CHCH(OH)COOH]为原料制取乳酸亚铁晶体的工艺如图所示: 3 已知: 金属氢氧化物 溶度积Ksp 开始沉淀时的pH 完全沉淀时的pH Al(OH) 2×10-32 4.1 5.4 3Fe(OH) 3.5×10-38 2.2 3.4 3 回答下列问题: (1)C、N、O的一第电离能由大到小的顺序为___________,HO的中心原子的孤电子对数为 2 ___________。 (2)常温下,调pH=3.5~4.1的目的是___________。 (3)“沉铁”过程的离子方程式为___________。 (4)“操作2”具体为:隔绝空气低温蒸发浓缩、___________、冷却结晶、过滤、乙醇洗涤、 真空干燥,密封储存产品。乙醇洗涤的目的是___________。 (5)可用高锰酸钾滴定法测定样品中Fe2+的量,进而计算产品中乳酸亚铁的纯度,发现结果总 是大于100%,其原因可能是___________:经查阅文献后,小组同学改用Ce(SO) 标准溶液 4 2 滴定法进行测定。反应中Ce4+的还原产物为Ce3+。测定时称取3.0g样品溶于水,配成100mL 溶液,每次取20mL的溶液用0.100mol•L-1Ce(SO) 标准溶液滴定至终点,记录数据如下表: 4 2 0.100mol•L-1Ce(SO) 标准溶液体积/ 4 2 mL 滴定序号 滴定前读数 滴定后读数 1 0.10 19.85 2 0.12 21.32 3 1.05 20.70 则产品中乳酸亚铁晶体的纯度为___________。 - 【KS5U答案】N>O>C 2 使Fe3+转化为Fe(0H) 沉淀,同时避免Al3+沉淀 Fe2++2HCO3 3 =FeCO↓+CO↑+HO 趁热过滤 减少产品的溶解损失,有利于后续干燥 乳酸根离子 3 2 2 被酸性高锰酸钾溶液氧化 94.56% 【分析】 由题给流程可知,向赤铁矿渣中加入稀硫酸酸浸时,氧化铁和氧化铝与稀硫酸反应得到可溶 性硫酸盐,二氧化硅不反应,过滤得到含有二氧化硅的滤渣和含有可溶性硫酸盐的滤液;向 滤液中加入氨水调节溶液pH在3.5~4.1范围内,将溶液中铁离子完全转化为氢氧化铁沉淀, 而铝离子不沉淀,过滤得到含有硫酸铝的滤液和氢氧化铁沉淀;向氢氧化铁沉淀中加入稀硫 酸酸溶得到硫酸铁溶液,向硫酸铁溶液中加入足量的铁,将硫酸铁完全转化为硫酸亚铁,过滤得到过量的铁和硫酸亚铁溶液;向硫酸亚铁溶液中加入碳酸氢铵溶液,将硫酸亚铁转化为 碳酸亚铁沉淀,过滤得到碳酸亚铁沉淀和硫酸铵溶液;向碳酸亚铁中加入乳酸溶液,将碳酸 亚铁转化为乳酸亚铁,向反应后的溶液中加入过滤得到的铁,防止亚铁离子被氧化;反应后 经隔绝空气低温蒸发浓缩、趁热过滤除去铁、冷却结晶、过滤、乙醇洗涤、真空干燥得到乳 酸亚铁晶体。 【KS5U解析】 (1)同周期元素,从左到右第一电离能呈增大趋势,但N原子的2p轨道为半充满稳定结构, 第一电离能大于相邻元素,则C、N、O的一第电离能由大到小的顺序为N>O>C;水分子中O 原子的价层电子对数为4,孤对电子对数为2,故答案为:N>O>C;2; (2)由分析可知,常温下,调pH=3.5~4.1的目的是将溶液中铁离子完全转化为氢氧化铁沉淀, 而铝离子不沉淀,故答案为:使Fe3+转化为Fe(0H) 沉淀,同时避免Al3+沉淀; 3 (3)“沉铁”过程发生的反应为硫酸亚铁溶液与碳酸氢铵溶液反应生成碳酸亚铁沉淀、硫酸 - 铵、二氧化碳和水,反应的离子方程式为Fe2++2HCO3=FeCO↓+CO↑+HO,故答案为:Fe2+ 3 2 2 - +2HCO3=FeCO↓+CO↑+HO; 3 2 2 (4) 由分析可知,“操作2”具体操作为反应后经隔绝空气低温蒸发浓缩、趁热过滤除去铁、 冷却结晶、过滤、乙醇洗涤、真空干燥得到乳酸亚铁晶体;由乳酸亚铁晶体几乎不溶于乙醇, 易被氧化可知,用乙醇洗涤的目的是减少因乳酸亚铁晶体溶于水而造成损失,乙醇挥发时带 走水蒸气,有利于干燥晶体,故答案为:趁热过滤;减少产品的溶解损失,有利于后续干燥; (5)乳酸根中含有羟基,可以被酸性高锰酸钾溶液氧化,导致消耗高锰酸钾的增大,而计算 中按亚铁离子被氧化,所以计算所得乳酸亚铁的质量偏大,产品中乳酸亚铁的质量分数会大 于100%;由题意可知,滴定时发生的反应为Ce4++Fe2+=Ce3++Fe3+,由题给数据可知,实验2误 差较大,应略去,由实验1、3可得反应消耗Ce(SO) 标准溶液的体积为 4 2 (19. 75+19. 65)mL 2 =19.70mL,由方程式可知,20mL溶液中n(Fe2+)=n(Ce4+) =0.1000mol/L×0.0197L=0.00197mol,则产品中乳酸亚铁晶体的质量分数为 0. 00197mol  5 288g/mol 3. 0g0. 00197mol  5 288g/mol 3. 0g ×100%=94.56%,故答案为:乳酸根离子被酸性高锰酸钾溶液 氧化;94.56%。 三、实验题 21.(2021·南岸区·重庆第二外国语学校高三三模)铋酸钠(NaBiO)是分析化学中的重要 3 试剂,在水中缓慢分解,遇沸水或酸则迅速分解。某兴趣小组设计实验制取铋酸钠并探究其 应用。回答下列问题: Ⅰ.制取铋酸钠。制取装置如图(加热和夹持仪器已略去),部分物质性质如下: 物质 NaBiO Bi(OH) 3 3 性质 不溶于冷水;浅黄色 难溶于水;白色 (1)C中盛放Bi(OH) 与NaOH的混合物,与Cl 反应生成NaBiO,反应的化学方程式为: 3 2 3 _______,B装置的作用是_______。 (2)当观察到_______(填现象)时,可以初步判断C中反应已经完成。 (3)拆除装置前必须先除去残留的Cl,以免污染空气。除去烧瓶A中残留Cl 的操作是:关闭 2 2 _______;打开_______。 (4)反应结束后,为从装置C中获得尽可能多的产品,需要的操作有_______、过滤、_______。 Ⅱ.铋酸钠的应用——检验Mn2+ (5)往待检液中加入铋酸钠晶体,加硫酸酸化,生成Bi3+,且溶液变为紫红色,证明待检液中 存在Mn2+。产生紫红色现象的离子方程式为_______。 Ⅲ.产品纯度的测定 (6)取上述NaBiO 产品ag,加入足量稀硫酸和MnSO 稀溶液使其完全反应,再用bmol·L−1的 3 4   HCO 标准溶液滴定生成的MnO4(已知:HCO+MnO4—CO+Mn2++HO,未配平),当溶液紫红色 2 2 4 2 2 4 2 2恰好褪去时,消耗cmL标准溶液。该产品的纯度为_______(用含a、b、c的代数式表示)。 【KS5U答案】Bi(OH)+3NaOH+Cl=NaBiO+2NaCl+3HO 除去HCl C中的白色固体消失 3 2 3 2 (或黄色不再加深;C中上方充满黄绿色气体等) K、K (K 可不填) K 在冰水中冷 1 3 1 2  却结晶 洗涤、干燥 5NaBiO+2Mn2++14H+=5Bi3++2MnO4+5Na++7HO 280bc×10-3/a或 3 2 28bc/a % 或 0.28bc/a×100% 【分析】 用浓盐酸和二氧化锰反应制备氯气,其中混合有挥发出的氯化氢气体,要用饱和食盐水进行 除杂,然后利用氯气的强氧化性,在碱性环境下将Bi(OH) 氧化为NaBiO;利用锰离子的还 3 3 原性将NaBiO 还原,锰离子氧化为高锰酸根离子,检验NaBiO 的氧化性;实验结束后,产物 3 3 有毒性,故打开三颈烧瓶的氢氧化钠溶液,吸收剩余的氯气;NaBiO 纯度的检测利用NaBiO 3 3 和锰离子反应生成高锰酸根,高锰酸根再与草酸反应来测定,根据氧化还原反应反应进行计 算。据此分析解题。 【KS5U解析】 (1)C中盛放Bi(OH) 与NaOH的混合物,与Cl 反应生成NaBiO,根据氧化还原反应原理, 3 2 3 Bi(OH)+3NaOH+Cl=NaBiO+2NaCl+3HO 。浓盐酸具有挥发性,B装置的作用是除去HCl。 3 2 3 2 (2)C中反应已经完成,则白色的Bi(OH) 全部变成了黄色的NaBiO,白色固体消失。 3 3 (3)从图上装置看,关闭K、K,打开K 可使氢氧化钠流下与剩余的氯气反应。 1 3 2 (4)反应结束后,为从装置C中获得尽可能多的产品,由题意可知,NaBiO 不溶于冷水,接下 3 来的操作尽可能在冷水环境下进行,需要的操作可在冰水中冷却结晶、过滤、洗涤、干燥。 (5)往待检液中加入铋酸钠晶体,加硫酸酸化,生成Bi3+,且溶液变为紫红色,证明待检液中 存在Mn2+,说明铋酸钠将锰离子氧化为高锰酸根离子,因为属于酸性环境,所以铋酸钠被还 原为Bi3+,根据氧化还原反应原理可知,产生紫红色现象的离子方程式为: 5NaBiO+2Mn2+ 3  +14H+=5Bi3++2MnO4+5Na++7HO。 2 (6)根据得失电子守恒可知,草酸和高锰酸根离子的反应比例 HCO~MnO-=5:2,又因为 2 2 4 4  m =0.28bc 5NaBiO 3 +2Mn2++14H+=5Bi3++2MnO4+5Na++7H 2 O,即:NaBiO 3 :H 2 C 2 O 4 =1:1, (NaBiO 3 理论)0.28bcg 0.28bc 280bc×10-3 28bc ×100%= ×100% ×100%或 % ,纯度为= ag a ,或 a a 。 22.(2021·重庆市第十一中学校高三二模)过氧乙酸(CHCOOOH)是一种高效消毒剂,遇热 3 易分解,可用较高浓度的双氧水和冰醋酸制备,原理:HO+CHCOOH      浓  硫  酸    2 2 3 CHCOOOH+HO ΔH<0。某实验小组制备过氧乙酸。步骤如下: 3 2 (1)浓缩双氧水:(装置如图)蛇形冷凝管连接恒温水槽,维持冷凝管中的水温为60 ℃,c口 接抽气泵,使装置中的压强低于常压,将滴液漏斗中低浓度的双氧水滴入蛇形冷凝管中,重 复浓缩2~3次。 ①蛇形冷凝管的进水口为________(填“a”或“b”)。 ②常压下,HO 的沸点是158 ℃。实验完成后,较高浓度的双氧水主要收集在圆底烧瓶 2 2 ________内(填“A”或“B”)。 (2)制备过氧乙酸:向三颈烧瓶中,加入25 mL冰醋酸和一定量浓硫酸,再缓缓加入15 mL 42.5%的双氧水,温度控制在40 ℃,搅拌4 h后,室温静置12 h。 ①浓硫酸的用量对生成过氧乙酸的质量分数有较为明显的影响,如图呈现了两者之间的关系。 根据图中数据,本实验浓硫酸的用量最好控制在________(填字母)范围。 A.1.5 mL~2.0 mL B.3.5 mL~4.0 mL C.5.5 mL~6.0 mL②滴加双氧水要有冷却措施,目的是________。控制反应温度在40 ℃的加热方法是 ________。 (3)测定所得产品浓度: Ⅰ.取V mL产品溶液酸化后,用a mol/L的KMnO 标准溶液滴定其残留的HO,终点时消耗 4 2 2 KMnO 标准溶液V mL(KMnO 只与产品中的HO 反应)。 4 1 4 2 2 Ⅱ.另取V mL产品溶液,加入过量的KI溶液充分反应,然后以淀粉作指示剂,用b mol/L NaSO 标准溶液滴定生成的I,终点时消耗NaSO 标准溶液V mL。 2 2 3 2 2 2 3 2 已知:HO+2I-+2H+=I+2HO CHCOOOH+2I-+2H+=CHCOOH+I+HO 2 2 2 2 3 3 2 2 I 2S O2 S O2 2I 2 2 3 4 6 ①写出Ⅰ中酸性KMnO 溶液与HO 反应的离子方程式________,用NaSO 标准溶液滴定I, 4 2 2 2 2 3 2 终点颜色变化为________,产品中过氧乙酸的浓度为________mol/L。 ②下列实验操作可能使测定结果偏高的是________(填字母序号)。 A.盛装KMnO 标准溶液的滴定管没有润洗 4 B.用KMnO 标准溶液滴定前仰视读数,滴定终点时俯视读数 4 C.Ⅱ中加入的KI溶液量不足 D.用NaSO 标准溶液滴定前,振荡锥形瓶的时间过长 2 2 3 - 【KS5U答案】a A A 防止过氧化氢和过氧乙酸分解 水浴 2MnO4+ 5HO + 2 2 6H+=2Mn2+ + 5O↑ + 8HO 溶液由蓝色变无色 ( bV-5aV)/2V B D 2 2 2 1 【KS5U解析】 (1)①蛇形冷凝管的进水口在下面,即图中a,出水口在上面; ②圆底烧瓶B收集的是挥发又冷凝后的水,故高浓度的过氧化氢最终主要收集在圆底烧瓶 A; (2)①由图可知,当浓硫酸的总体积在反应物总体积4%-5%之间时,即可达到良好的实验效果, 反应物总体积为40mL,因此A项用量最合理,故答案为:A; ②用高浓度的双氧水和冰醋酸反应制过氧乙酸,双氧水和冰醋酸反应放出大量的热;而 CHCOOOH不稳定,遇热易分解,过氧化氢易分解,温度升高会加速分解;故向冰醋酸中滴加 3 提浓的双氧水要有冷却措施,主要防止过氧化氢和过氧乙酸因温度过高大量分解;控制反应 温度在40 ℃的加热方法是水浴加热; - (3)①Ⅰ中酸性KMnO 溶液与HO 发生氧化还原反应,MnO4被还原为Mn2+,HO 被氧化为O, 4 2 2 2 2 2- 反应的离子方程式2MnO4+ 5HO + 6H+=2Mn2+ + 5O↑ + 8HO;硫代硫酸钠滴定含碘溶液,指 2 2 2 2 示剂应为淀粉,碘的淀粉溶液呈特殊的蓝色,等碘消耗完溶液会褪色,所以滴定终点时的现 象为:滴入最后一滴标准溶液,溶液由蓝色变无色; I 2S O2 S O2 2I NaSO 滴定生成的I 包含HO 和CHCOOOH产生的,由 2 2 3 4 6 可得n(I)总= 2 2 3 2 2 2 3 2 nNa S O  cV bV 10-3 2 2 3 = = 2 mol 2 2 2 ,KMnO 4 滴定残留的H 2 O 2 ,由2MnO- 4 + 5H 2 O 2 + 6H+=2Mn2+ 5 nKMnO  5a V 10-3 nH O = 4 = 1 + 5O 2 ↑ + 8H 2 O可得 2 2 2 2 ,由H 2 O 2 +2I-+2H+=I 2 +2H 2 O 5a V 103 1 可知H 2 O 2 产生I 2 的物质的量为n(I 2 ) 1 = n(H 2 O 2 )= 2 mol,则由CH 3 COOOH产生的I 2 的 bV 103 5a V 103  物质的量为n(I 2 ) 2 =n(I 2 )总- n(I 2 ) 1 =   2 2  1 2   mol,由CH 3 COOOH+2I-+2H bV 103 5a V 103  +=CH 3 COOH+I 2 +H 2 O可得n(CH 3 COOOH)=n(I 2 ) 2 =   2 2  1 2   mol,过氧乙酸 bV 103 5a V 103  的浓度为c= n(CH 3 COOOH)/V=   2 2  1 2   mol÷V×10-3 L=( bV 2 -5aV 1 )/2V mol/L; ②A.盛装KMnO 标准溶液的滴定管没有润洗,导致KMnO 标准溶液的浓度偏小,消耗KMnO 标 4 4 4 准溶液的体积偏大,造成计算HO 产生的I 物质的量偏多,计算CHCOOOH产生的I 偏小,使 2 2 2 3 2 结果偏低,A不选; B.用KMnO 标准溶液滴定前仰视读数,滴定终点时俯视读数,消耗KMnO 标准溶液的体积偏 4 4 小,使结果偏高,B选; C.Ⅱ中加入的KI溶液量不足,未能完全消耗CHCOOOH,导致结果偏低,C不选; 3D.用NaSO 标准溶液滴定前,振荡锥形瓶的时间过长,部分HO 结合CHCOOH生成 2 2 3 2 2 3 CHCOOOH,导致结果偏高,D选; 3 故选:BD。 23.(2021·青海高三三模)亚氯酸钠(NaClO)是一种高效漂白剂,其有效氯含量相当于漂 2 白粉的7倍。可用ClO 与过氧化氢为原料制取亚氯酸钠,相关实验装置如图所示。请回答: 2 已知: ①2NaClO+HO+HSO=2ClO↑+O↑+NaSO+2HO; 3 2 2 2 4 2 2 2 4 2 ②2ClO+2NaOH=NaClO+NaClO+HO; 2 2 3 2 ③已知NaClO 饱和溶液在温度低于38℃时析出NaClO·3HO晶体,高于38℃时析出NaClO 2 2 2 2 晶体,高于60℃时NaClO 分解成NaClO 和NaCl。 2 3 (1)仪器B的作用是___________。 (2)写出装置C中制备NaClO 固体的化学方程式:___________。冰水浴冷却的目的是 2 ___________(写两种)。 (3)在装置A中发生反应生成NaClO,反应过程中放出大量的热。 2 ①研究表明,实验时装置C中HO 与NaOH的物料比需要控制在0.8左右,原因可能是 2 2 ___________。 ②在吸收液中HO 和NaOH的物料比、浓度和体积不变的条件下,控制反应在0~3℃进行,实 2 2 验中可采取的措施是___________。 (4)尾气吸收时,一般用___________溶液吸收过量的ClO 2。 (5)为了测定NaClO 粗品的纯度,取上述粗产品a g溶于水配成1 L溶液,取出10 mL溶液于 2 锥形瓶中,再加入足量酸化的KI溶液,充分反应后(NaClO 被还原为Cl-,杂质不参加反应), 2 加入2~3滴淀粉溶液,用0.20 mol·L-1 NaSO 标准液滴定,达到滴定终点时用去标准液V 2 2 3 mL,试计算NaClO 粗品的纯度___________(提示:2NaSO+I=NaSO+2NaI) 2 2 2 3 2 2 4 6 (6)下列关于该实验及样品组成分析的说法,正确的是___________(填字母)。 A.装置C中制得的NaClO 固体中可用略低于38℃的热水洗涤2~3遍 2B.装置C中制得的NaClO 固体后的操作包括过滤、洗涤和干燥 2 C.如果撤去装置C中的冰水浴,可能导致产品中混有的杂质是NaClO 和NaCl 3 D.装置A中空气流速过快或过慢,均会增大NaClO 的产率 2 【KS5U答案】防止倒吸 2ClO+HO+2NaOH=2ClO+O↑+2HO 减少HO 的分解、提高 2 2 2 2 2 2 2 2 ClO 的溶解度 HO 受热易分解,配料时应略过量;同时防止ClO 与NaOH反应生成杂质 2 2 2 2 0.4525V 使用冰水浴,且缓慢通入ClO NaOH a BC 2 【分析】 按图组装好仪器后,检查装置的气密性;装置A中发生2NaClO+HO+HSO=2ClO↑+O↑ 3 2 2 2 4 2 2 +NaSO+2HO;装置B的作用是防止倒吸;装置C中冰水浴冷却的主要目的降低反应速率, 2 4 2 减少HO 的分解减少ClO 的分解;装置C中加入NaOH溶液的目的除了作反应物外,还因为 2 2 2 NaClO 遇酸放出ClO,需用NaOH溶液吸收ClO;空气流速过慢时,ClO 不能及时被移走,浓 2 2 2 2 度过高导致分解爆炸,空气流速过快时,ClO 不能被充分吸收,NaClO 的产率下降。根据关 2 2 2 系式NaClO~2I~4SO3 计算产品的纯度。 2 2 2 【KS5U解析】 (1)仪器B的作用是防止倒吸。故答案为:防止倒吸; (2)装置C中制备NaClO 固体的化学方程式:2ClO+HO+2NaOH=2ClO+O↑+2HO。冰水浴冷却 2 2 2 2 2 2 2 的目的是减少HO 的分解、提高ClO 的溶解度 (写两种)。故答案为: 2 2 2 2ClO+HO+2NaOH=2ClO+O↑+2HO;减少HO 的分解、提高ClO 的溶解度; 2 2 2 2 2 2 2 2 2 (3)①实验时装置C中HO 与NaOH的物料比需要控制在0.8左右,原因可能是HO 受热易分 2 2 2 2 解,配料时应略过量;同时防止ClO 与NaOH反应生成杂质。故答案为:HO 受热易分解,配 2 2 2 料时应略过量;同时防止ClO 与NaOH反应生成杂质; 2 ②在吸收液中HO 和NaOH的物料比、浓度和体积不变的条件下,控制反应在0~3℃进行,实 2 2 验中可采取的措施是使用冰水浴,且缓慢通入ClO。故答案为:使用冰水浴,且缓慢通入 2 ClO; 2 (4)尾气吸收时,根据2ClO+2NaOH=NaClO+NaClO+HO,一般用NaOH溶液吸收过量的 2 2 3 2 ClO 故答案为:NaOH; 2。 (5)NaClO 与足量酸化的KI溶液,反应为:ClO-+4I-+4H+→2HO+2I+Cl-,则:由关系式 2 2 2 21 1 2 2 NaClO~2I~4SO ,n(NaClO)=4 n(SO )=4 ×0.2mol/L×10-3VL=5×10-5Vmol,10mL样 2 2 2 3 2 2 3 品中m(NaClO)=5×10-5Vmol×90.5g/mol=4.525×10-3Vg,原样品中NaClO 的质量分数为: 2 2 1000 4.525103Vg 10 0.4525V 0.4525V 100% = ;故答案为: ; ag a a (6)A.NaClO 饱和溶液在温度低于38℃时析出的晶体是NaClO•3HO,高于38℃时析出的晶 2 2 2 体是NaClO,高于60℃时NaClO 分解成NaClO 和NaCl,装置C中制得的NaClO 固体中可用 2 2 3 2 用38℃~60℃的温水洗涤2~3遍,故A错误; B.装置C中制得的NaClO 固体后的操作包括趁热过滤, 用38℃~60℃的温水洗涤,低于 2 60℃干燥,得到成品,故B正确; C.高于60℃时NaClO 分解成NaClO 和NaCl,如果撤去装置C中的冰水浴,可能导致产品中 2 3 混有的杂质是NaClO 和NaCl,故C正确; 3 D.装置A中空气流速过慢时,ClO 不能及时被移走,浓度过高导致分解爆炸,空气流速过快 2 时,ClO 不能被充分吸收,NaClO 的产率下降,故D错误; 2 2 故答案为:BC。 24.(2021·河南新乡市·新乡县一中高三其他模拟)过氧化钙是一种用途广泛的优良供氧 剂,可用于鱼类养殖、农作物栽培、污水处理等多方面。下图为用储量丰富的大理石(主要 成分CaCO,含有少量的Fe、Al、Mg、Si等杂质)制备CaO 的过程: 3 2 回答下列问题: I.过氧化钙的制取 (1)HO 作为氧化剂的优点是___________。 2 2 (2)由滤液II得到CaO·8HO的化学方程式为___________,此反应过程温度控制在0~8℃ 2 2 为宜的原因是___________。(3)反应③后实验操作为___________,用冰水洗涤CaO·8HO的方法___________。 2 2 II.过氧化钙含量的测定 称量0.4g样品加入一定量2mol·L-1盐酸配成溶液,滴定时加入1mL0.05mol·L-1MnSO,立即 4 用0.1mol/L酸性KMnO 标准溶液滴定。 4 (4)滴定时用到的仪器有___________(填序号)。 (5)滴定终点现象为___________,若消耗20.00mLKMnO,计算样品中CaO 的质量分数 4 2 ___________。 (6)下列操作使测定CaO 的质量分数偏高的是___________。 2 A.滴定管未用KMnO 润洗B.开始时滴定管内有气泡,滴定后消失 4 C.滴定结束读数时,俯视刻度线D.滴定过程中待测液溅出 【KS5U答案】不引入杂质离子,产物无污染 CaCl+HO+2NH·HO+6HO=CaO·8HO↓ 2 2 2 3 2 2 2 2 +2NHCl 温度高HO 和NH·HO都易分解 过滤 向过滤器中加冰水浸没沉淀,静 4 2 2 3 2 置,待水自然留下,重复操作2~3次 ①③ 当滴入最后一滴酸性KMnO 标准溶液时, 4 溶液呈浅红色并且在半分钟内不褪色 90% AB 【分析】 大理石加入盐酸、过氧化氢浸取,碳酸钙转化为Ca2+,Fe、Al、Mg转化为Fe3+、Al3+、Mg2+, 过滤得到的滤渣Ⅰ主要为Si;滤液I加入氨水调节pH,使Fe3+、Al3+、Mg2+转化为沉淀,过滤 所得滤液Ⅱ主要为氯化钙、氯化铵,再加入一水合氨和双氧水,得到CaO·8HO沉淀,煅烧 2 2 得到CaO。 2 【KS5U解析】 (1)HO 做氧化剂还原为水,不引入杂质离子,产物无污染; 2 2 (2)滤液Ⅱ中主要成分为氯化钙、氯化铵,加入一水合氨和双氧水,得到CaO·8HO,所以反 2 2 应方程式为CaCl+HO+2NH·HO+6HO=CaO·8HO↓+2NHCl;为防止HO 和NH·HO受 2 2 2 3 2 2 2 2 4 2 2 3 2 热分解,温度不能太高; (3)反应③后是滤液和沉淀CaO·8HO的分离,操作是过滤;洗涤沉淀的方法为向过滤器中加 2 2 冰水浸没沉淀,等水自然流下,重复操作2到3次;(4)因为用高锰酸钾滴定,有强氧化性所以选择酸式滴定管,滴定过程还要用到锥形瓶,所 以选择①③; (2)滴定终点为将HO 反应完全,多一滴高锰酸钾溶液,即溶液呈微红色并且在半分钟内不褪 2 2 色;根据反应方程式:CaO+2HCl=CaCl+HO 2 2 2 2 2KMnO+5HO+3HSO=KSO+2MnSO+5O↑+8HO 4 2 2 2 4 2 4 4 2 2 设参加反应的CaO 为x,则有 2 5CaO ~5H O ~ 2MnO 2 2 2 4 572g 2mol x 0.1molL1×0.02L 0.36g 计算得出x=0.36g,样品取0.4g,则样品中CaO的质量数为: 0.4g ×100%=90%; 5c V 标 标 (3)根据滴定计算关系c = 2V ; 测 测 A.滴定管未用KMnO 润洗,使溶液浓度减小,V 增大,c 偏高,A符合题意; 4 标 测 B.开始时滴定管内有气泡,滴定后消失,读取的V 体积中包含气泡体积,c 偏高,B符合 标 测 题意; C.滴定结束读数时,俯视刻度线,使读数偏大,V 偏小,c 偏低,C不符合题意; 标 测 D.滴定过程中待测液溅出,导致V 偏小,c 偏低,D不符合题意; 标 测 综上所述所以选AB。 25.(2021·天津和平区·耀华中学高三二模)二氧化氯(ClO)是一种高效、广谱的灭菌消 2 毒剂。已知ClO 为橙黄色气体,极易溶于水,在混合气体中浓度过高时易发生爆炸。请回答 2 下列问题: (1)“二氧化氯泡腾片”的有效成分为NaClO、NaHSO、NaHCO,能快速溶于水,生成的ClO 2 4 3 2 溶于水得到ClO 溶液,同时生成另一种气体而放出大量气泡。每生成1molClO 消耗NaClO 的 2 2 2 量为_______mol;产生另一种气体的离子方程式为_______。 (2)在处理废水时,ClO 可与水中的有毒离子(如CN-)反应生成两种无毒气体,反应的离子方 2 程式为_______。 (3)利用NaClO 还原法可制备ClO,实验装置如图 3 2仪器a的名称_______;实验安全至关重要,从安全角度考虑A装置左侧通入氮气的目的是 _______。装置A中生成ClO 的化学方程式为_______。 2 (4)ClO 稳定性较差,需随用随制,产物用水吸收得到ClO 溶液,为测定所得溶液中ClO 的 2 2 2 含量,进行了以下实验: I.准确量取ClO 溶液10.00mL,稀释成100mL试样 2 II.量取VmL试样加入到锥形瓶中,调节试样的pH≤2.0,加入足量的KI晶体,摇匀,在暗 1 处静置30分钟[已知:2ClO+10I-+8H+=5I+2Cl-+4HO] 2 2 2 III.以淀粉溶液作指示剂,用c mol·L-1NaSO 溶液滴定至终点,消耗NaSO 溶液VmL。 2 2 3 2 2 3 2 S O2- S O2- (已知:I+2 2 3 =2I-+ 4 6 ) 2 ①准确量取10.00mLClO 溶液的玻璃仪器是_______。 2 ②上述步骤3中滴定终点的现象是_______。 ③据上述步骤可计算出原ClO 溶液的浓度为_______mol·L-1(用含字母的代数式表示) 2 ④实验中使用的NaSO 标准溶液部分因被氧气氧化而变质,则实验结果_______(填“偏高”、 2 2 3 “偏低”或“无影响”) HCO- 【KS5U答案】1.25 3+H+=HO+CO↑ 2ClO+2CN- =2CO+N+2C1- 分液漏斗 2 2 2 2 2 稀释ClO,防止因ClO 的浓度过高而发生爆炸 2 2 2NaClO+HO+HSO=NaSO+2ClO↑+O↑+2HO 酸式滴定管 滴入最后一滴NaSO 标准 3 2 2 2 4 2 4 2 2 2 2 2 3 2cV 2 溶液时,溶液由蓝色变为无色,且半分钟内不恢复原来的颜色 V 偏高 1 【KS5U解析】(1)根据“二氧化氯泡腾片”的有效成分为NaClO、NaHSO、NaHCO,能快速溶于水,生成的 2 4 3 ClO 溶于水得到ClO 溶液,结合氧化还原反应的规律:化合价有升必有降,故当NaClO 中Cl 2 2 2 的化合价由+3价升高为+4价时,只能是NaClO 中Cl由+3价降低为-1价,NaClO 既作氧化剂, 2 2 又作还原剂,故发生的反应为:5NaClO+4NaHSO=NaCl+4NaSO+4ClO↑+2HO,故每生成1mol 2 4 2 4 2 2 ClO 消耗NaClO 的量为1.25mol;产生另一种气体即NaHCO 与NaHSO 反应产生大量的CO,故 2 2 3 4 2 HCO- 其离子方程式为: 3+H+=HO+CO↑。 2 2 (2)在处理废水时,ClO 可与水中的有毒离子(如CN-)反应生成两种无毒气体,由元素守恒可 2 知两种无毒气体即N 和CO,故该反应的离子方程式为:2ClO+2CN- =2CO+N+2C1-。 2 2 2 2 2 (3)仪器a的名称是分液漏斗;由题干信息可知,ClO 在混合气体中浓度过高时易发生爆炸, 2 实验安全至关重要,从安全角度考虑A装置左侧通入氮气的目的是稀释ClO,防止因浓度过 2 高而发生爆炸,装置A中反应物为NaClO、HO 和HSO,生成了ClO、NaSO 和O 等,故该 3 2 2 2 4 2 2 4 2 反应的化学方程式为2NaClO+HO+HSO=NaSO+2ClO↑+O↑+2HO。 3 2 2 2 4 2 4 2 2 2 S O2- S O2- (4)据上述步骤中的反应:2ClO+10I-+8H+=5I+2Cl-+4HO,I+2 2 3 =2I-+ 4 6 ,可找出关 2 2 2 2 5 1 ClO ~ I ~~5 S O2- 系式: 2 2 2 2 3 ,故有V mL试样中含有的ClO 的物质的量为:n(ClO)=5n( 1 2 2 S O2- 2 3 )=2cV×10-4,故原10mL溶液中含有的ClO 的物质的量为: 2 2 100 mL 0.02cV 2cV 10-4 = 2 mol 2 VmL V ,故原ClO 溶液的浓度为 1 1 2 0.02cV 2 mol V 2cV 1 = 2 molL-1。 0.01 L V 1 ④实验中使用的NaSO 标准溶液部分因被氧气氧化而变质,将使消耗的标准液体积偏大,即 2 2 3 V偏大,故实验结果偏高。 2 26.(2021·天津南开区·南开中学高三三模)甘氨酸亚铁[(HNCHCOO)Fe]可有效改善缺铁 2 2 2性贫血,化学兴趣小组的同学设计了如下两个实验:装置1制备碳酸亚铁晶体;装置2制备 甘氨酸亚铁。已知:柠檬酸易溶于水,具有较强的酸性和还原性。回答下列问题: I.碳酸亚铁晶体(FeCO·nHO)的制备 3 2 (1)实验操作如下:关闭f,打开e,然后关闭活塞a,打开活塞b、c,加入适量稀硫酸反应 一段时间后,关闭活塞b、c,打开活塞a,以上操作的目的为_______并使A产生的硫酸亚铁 压入到B装置中发生反应;实验结束后,若装置B中没有出现碳酸亚铁晶体,可能的原因是 _______。 (2)反应结束后,对装置B中的反应液进行静置、过滤、洗涤、干燥,得到碳酸亚铁晶体。过 滤操作过程中用到的玻璃仪器有烧杯_______;干燥过程中可能有少量碳酸亚铁晶体被氧化 为FeOOH,检验该氧化产物中阳离子所用的化学试剂为_______ II.甘氨酸亚铁[(HNCHCOO)Fe]的制备 2 2 2 实验操作如下:将装置1制取的碳酸亚铁晶体与甘氨酸的水溶液混合加入C中,关闭e,打 开f,然后利用E中盐酸和碳酸钙反应生成的气体排尽装置中的空气,接着滴入柠檬酸溶液 并加热。反应结束后过滤,滤液经蒸发结晶、过滤、洗涤、干燥,得到甘氨酸亚铁。 (3)仪器h的名称为_______;试剂g为_______ (4)为了提高(HNCHCOO)Fe的产率,需要控制C中反应溶液的pH在5.6~6.0之间。若pH过 2 2 2 低,(HNCHCOO)Fe的产率将降低,其原因为_______,滴入柠檬酸溶液的作用除了促进 2 2 2 FeCO 的溶解,调节溶液的pH外,还有_______。 3 (5)(HNCHCOO)Fe中Fe2+含量的测定:使用电子天平准确称取3.440g产品,用蒸馏水配制成 2 2 2 100mL溶液。取出25.00mL溶液于锥形瓶中,向其中加入一定量的稀硫酸酸化,用 0.05000mol·L-1KMnO;标准溶液滴定至终点(已知滴定过程中只有Fe2+被氧化),消耗KMnO 4 4 标准溶液的体积为17.20mL。则产品中Fe2+的质量分数为_______【KS5U答案】排除装置内的空气 装置A中稀硫酸量过多,太早关闭活塞b、c,打开活塞 a,导致A中生成的硫酸亚铁量很少,很多稀硫酸被压入到B中,从而导致实验失败 漏斗、 玻璃棒 KSCN溶液 圆底烧瓶 饱和碳酸氢钠溶液 pH过低,氢离子较大,氢离子 和HNCHCOOH反应,不利于(HNCHCOO)Fe的生成 防止亚铁离子被氧化 28% 2 2 2 2 2 【分析】 稀硫酸和铁反应生成硫酸亚铁和氢气,利用氢气将装置内的空气排除,再利用装置A中压强 不断增大,将硫酸亚铁压入到装置B中从而生成碳酸亚铁;利用盐酸和碳酸钙反应生成氯化 钙、二氧化碳和水,由于盐酸易挥发,因此利用饱和碳酸氢钠溶液除掉挥发出的HCl气体。 【KS5U解析】 (1)亚铁离子易被空气中的氧气氧化,所以需要先利用稀硫酸和铁反应生成氢气,利用氢气 排除装置内的空气,并将A产生的硫酸亚铁压入到B装置中发生反应;装置A中稀硫酸量过 多,太早关闭活塞b、c,打开活塞a,导致A中生成的硫酸亚铁量很少,很多稀硫酸被压入 到B中,稀硫酸和碳酸铵反应,从而导致实验失败; (2)过滤操作过程中用到的玻璃仪器有烧杯、漏斗、玻璃棒;FeOOH中阳离子为Fe3+,一般利 用KSCN溶液进行检验; (3)根据结构特点可知仪器h的名称为圆底烧瓶;试剂g主要是除掉二氧化碳中HCl,因此g 为饱和碳酸氢钠溶液; (4) pH过低,氢离子较大,氢离子和HNCHCOOH反应,不利于(HNCHCOO)Fe的生成,导致 2 2 2 2 2 其产率降低;由于柠檬酸具有还原性,所以还可以防止亚铁离子被氧化; (5)根据电子守恒可知反应过程中存在数量关系n(Fe2+)=5n(KMnO),所以25.00mL样品溶液中 4 100mL n(Fe2+)=5×0.0172L×0.05mol/L=0.0043mol,所以样品中n(Fe2+)=0.0043mol× 25.00mL 0.0172mol56gmol-1 =0.0172mol,所以产品中Fe2+的质量分数为 3.440g ×100% =28%。 27.(2021·四川树德中学高三其他模拟)最新研究发现新型催化剂M可稳定催化纯甲酸 (HCOOH)脱氢生成H 和CO,且M在室温下即可生效,95°C催化活性达最大值,有水存在的 2 2 情况下催化活性略有降低。实验室利用该方法使纯甲酸分解并收集所得气体的装置如图所示, 请回答下列问题:(1)仪器a的名称是___________,其作用是___________。 (2)实验中为了使催化剂M的活性达到最大值,采用的措施有___________、___________、 ___________。 (3)若要将分解所得的气体中的CO 除去并收集氢气,可调节三通阀的位置将气体导出,并依 2 次通过下列装置:装NaOH溶液的洗气瓶装浓硫酸的洗气瓶→氢气收集装置→装有碱石灰的干 燥管→酒精灯点燃尾气。其中收集氢气应采用的方法是___________,可选择的装置是 ___________(填标号)。 (4)实验室可以用碘量法测定工业甲酸的含量(杂质不参与反应),具体操作:称取6.000g工 业甲酸配成250mL溶液,量取25.00mL于锥形瓶中,先加入30mL 0.5000mol/L的次溴酸钠溶 液与甲酸反应生成CO 和NaBr,再用足量KI与过量的次溴酸钠反应生成I 和NaBr,加入几 2 2 滴淀粉溶液后用0.4000mol/L 的NaSO 标准溶液滴定I(2NaSO+I =2NaI+ NaSO),至滴 2 2 3 2 2 2 3 2 2 4 6 定终点时消耗NaSO 溶液12.50mL。 2 2 3 ①由次溴酸钠固体配制0.5000mol/L 的次溴酸钠溶液,需要的仪器有药匙、玻璃棒、 ___________(从下列图中选择,写出名称);次澳酸钠溶液与甲酸反应的离子方程式是 ___________。②滴定终点的标志是___________。 ③该工业甲酸中甲酸的质量分数是___________(保留三位有效数字)。 【KS5U答案】球形冷凝管 冷凝回流甲酸,提高原料利用率 95℃水浴加热控制温度 抽真空排除水蒸气干扰 用排硅油的方法收集气体以免引入水蒸气 向下排空气法 C 烧杯、量筒、托盘天平 HCOOH+NaBrO=NaBr+CO↑+HO 最后一滴NaSO 溶液滴入 2 2 2 2 3 后,溶液由蓝色变为无色且30s内不恢复原来的颜色 95.8% 【KS5U解析】 (1)分析图中装置可知一起a为球形冷凝管;其作用为对甲酸进行冷凝并让其流回到反应装置 内,提高原料利用率; (2)题中信息可知:“95℃催化活性达最大值,有水存在的情况下催化活性略有降低”,为 使催化剂M的活性达到最大值,需控制温度和营造无水环境,采用的措施有:95℃水浴加热 控制温度、抽真空排除水蒸气干扰、用排硅油的方法收集气体以免引入水蒸气; (3)收集氢气前对气体进行干燥,收集氢气后,气体通入装有碱石灰的干燥管,也就是收集 氢气前后,氢气都需干燥,所以收集氢气应采用的方法是向下排空气法,可选择的装置是 C; (4)①一般用托盘天平称量,用药匙取用药品,在烧杯中溶解(可用量筒量取水加入烧杯), 并用玻璃棒搅拌,加速溶解,则需要的仪器有:药匙、玻璃棒、烧杯、量筒、托盘天平; 由题给信息可知,次溴酸钠溶液与甲酸反应,生成CO 和NaBr等,则化学方程式为 2 HCOOH+NaBrO=NaBr+CO↑+HO; 2 2 ②滴加NaSO 前,溶液中含有I,呈蓝色,故滴定终点的标志是最后一滴NaSO 溶液滴入后, 2 2 3 2 2 2 3 溶液由蓝色变为无色且30s内不恢复原来的颜色; ③测定过程中发生反应HCOOH+NaBrO=NaBr+CO↑+HO、BrO-+2I-+2H+=Br-+I+HO, 2 2 2 2 I+2NaSO=2NaI+NaSO,可以得到关系式NaBrO(过量)~2 NaSO,由反应顺序可知 2 2 2 3 2 4 6 2 2 3 n(NaSO)=0.4000mol/L×0.01250L=0.005mol,依据关系式NaBrO(过量)为0.0025mol,与 2 2 3 HCOOH反应的NaBrO为0.030L×0.5000mol/L-0.0025mol=0.0125mol,从而得出 n(HCOOH)=0.0125mol,故该工业甲酸中甲酸的质量分数是0.0125mol×46g/mol×250mL/25mL÷6.000g×100%≈95.8%。 28.(2021·辽宁高三其他模拟)某课外小组利用如图装置(夹持仪器略)探究使用废铁屑制 NH  SO FeSO 6H O 取摩尔盐 4 2 4 4 2 ,已知摩尔盐易溶于水、难溶于酒精。实验操作步 骤如图: 4.2g Fe O ①称取 废铁屑粉末(含少量 2 3),用纸槽加入到仪器X中,塞紧胶塞。打开分液漏斗 K 30mL 3molL1 H SO 旋塞 1,加入 2 4溶液充分反应。 ②轻捏气球底部把还原铁粉慢慢加入到仪器X中,直到有少量固体不溶时停止。 K 3molL1 H SO ③再次打开分液漏斗旋塞 1,逐滴加入 2 4溶液并振荡X至固体完全溶解,继 1mL 3molL1 H SO K 续加入 2 4溶液后关闭旋塞 1。 11.80gNH  SO K ④打开分液漏斗旋塞 2加入由 4 2 4配成的饱和溶液,点燃酒精灯加热仪器X 一段时间,当_________停止加热,冷却后有大量晶体出现,把溶液全部倒入抽滤瓶,进行 抽滤、洗涤、干燥,即可得摩尔盐。 回答下列问题: (1)仪器X的名称是_______。 (2)步骤②中发生反应的离子方程式为_______。 (3)气球的作用是_______。 (4)步骤④横线应补充的内容是_______,洗涤摩尔盐的溶剂最好用_______,其目的是 _______。M=392g/mol 7.840g (5)该小组探究产品中摩尔盐( )的含量,用分析天平称取 的产品溶于水 0.0800mol/L KMnO KMnO 配成溶液,然后用 的酸性 4溶液滴定,最终消耗酸性 4溶液 25.70mL 。 ①滴定终点现象为_______; ②该产品纯度为_______。 【KS5U答案】三颈烧瓶 Fe+2H+=Fe2++H↑,2Fe3++Fe=3Fe2+ 盛放铁粉,同时收集产生 2 的氢气,防止进入空气有安全隐患 溶液表面出现晶膜时 乙醇 洗去晶体表面杂质, KMnO 减少晶体因溶解而损失, 洗去晶体表面的水加速干燥 滴入最后一滴 4溶液后,溶 液由无色变为浅红色,且半分钟内不褪色 51.40% 【分析】 Fe O 2 3 根据题中图示信息可知,将废铁屑粉末(含少量 )置于三颈烧瓶中,加入HSO,发生 2 4 Fe+HSO=FeSO+H↑,FeO+3HSO=Fe(SO)+3HO反应,将其溶解,再加过量的Fe粉,Fe与 2 4 4 2 2 3 2 4 2 4 3 2 过量的HSO 反应,Fe3+被还原为Fe2+,再加入HSO,将过量的Fe粉溶解,继续加入饱和的 2 4 2 4 (NH)SO 溶液,加热一段时间,当溶液表面出现晶膜时停止加热,冷却后有大量晶体出现, 4 2 4 把溶液全部倒入抽滤瓶,进行抽滤、洗涤、干燥,即可得摩尔盐;据此解答。 【KS5U解析】 (1)由题中图示装置可知,仪器X的名称是三颈烧瓶;答案为三颈烧瓶。 (2)由上述分析可知,步骤②中发生反应的离子方程式为Fe+2H+=Fe2++H↑,2Fe3++Fe=3Fe2+; 2 答案为Fe+2H+=Fe2++H↑,2Fe3++Fe=3Fe2+。 2 (3)由由题中图示装置可知,气球中盛放了Fe粉,可以收集产生的氢气,可以阻止空气进入 三颈烧瓶中,产生安全隐患;答案为盛放铁粉,同时收集产生的氢气,防止进入空气有安全 隐患。 (4)由题中信息可知,加热三颈烧瓶一段时间,当有晶膜析出时,停止加热;已知摩尔盐易 溶于水、难溶于酒精,故可用乙醇洗涤,且乙醇易挥发,摩尔盐容易晾干;答案为溶液表面 出现晶膜时;乙醇;洗去晶体表面杂质,减少晶体因溶解而损失, 洗去晶体表面的水加速干 燥。KMnO KMnO (5)①用酸性 4溶液滴定Fe2+,滴定终点现象为滴入最后一滴 4溶液后,溶液由 KMnO 无色变为浅红色,且半分钟内不褪色,即达到滴定终点;答案为滴入最后一滴 4溶液 后,溶液由无色变为浅红色,且半分钟内不褪色。 MnO MnO MnO ②根据 4 +5Fe2++8H+=Mn2++5Fe3++4HO可知,由 4 ~5Fe2+关系可得n( 4 2 )=0.0800mol/L×25.70×10-3L=2.056×10-3mol,则n(Fe2+)=5×2.056×10-3mol=1.028×10- 2mol,由Fe元素守恒,摩尔盐的质量为m[(NH)SO·FeSO·6HO]= 1.028×10- 4 2 4 4 2 4.0298g 2mol×392g/mol=4.0298g,该产品纯度为 7.840g ×100%=51.40%;答案为51.40%。