当前位置:首页>文档>专题34一次函数与全等三角形结合(解析版)_初中数学人教版_八年级数学下册_保存转存之后查看(1)_8下-初中数学人教版(2026春新版持续更新)_旧版-可参考_06习题试卷_5专项练习

专题34一次函数与全等三角形结合(解析版)_初中数学人教版_八年级数学下册_保存转存之后查看(1)_8下-初中数学人教版(2026春新版持续更新)_旧版-可参考_06习题试卷_5专项练习

  • 2026-04-03 02:21:01 2026-03-27 23:38:14

文档预览

专题34一次函数与全等三角形结合(解析版)_初中数学人教版_八年级数学下册_保存转存之后查看(1)_8下-初中数学人教版(2026春新版持续更新)_旧版-可参考_06习题试卷_5专项练习
专题34一次函数与全等三角形结合(解析版)_初中数学人教版_八年级数学下册_保存转存之后查看(1)_8下-初中数学人教版(2026春新版持续更新)_旧版-可参考_06习题试卷_5专项练习
专题34一次函数与全等三角形结合(解析版)_初中数学人教版_八年级数学下册_保存转存之后查看(1)_8下-初中数学人教版(2026春新版持续更新)_旧版-可参考_06习题试卷_5专项练习
专题34一次函数与全等三角形结合(解析版)_初中数学人教版_八年级数学下册_保存转存之后查看(1)_8下-初中数学人教版(2026春新版持续更新)_旧版-可参考_06习题试卷_5专项练习
专题34一次函数与全等三角形结合(解析版)_初中数学人教版_八年级数学下册_保存转存之后查看(1)_8下-初中数学人教版(2026春新版持续更新)_旧版-可参考_06习题试卷_5专项练习
专题34一次函数与全等三角形结合(解析版)_初中数学人教版_八年级数学下册_保存转存之后查看(1)_8下-初中数学人教版(2026春新版持续更新)_旧版-可参考_06习题试卷_5专项练习
专题34一次函数与全等三角形结合(解析版)_初中数学人教版_八年级数学下册_保存转存之后查看(1)_8下-初中数学人教版(2026春新版持续更新)_旧版-可参考_06习题试卷_5专项练习
专题34一次函数与全等三角形结合(解析版)_初中数学人教版_八年级数学下册_保存转存之后查看(1)_8下-初中数学人教版(2026春新版持续更新)_旧版-可参考_06习题试卷_5专项练习
专题34一次函数与全等三角形结合(解析版)_初中数学人教版_八年级数学下册_保存转存之后查看(1)_8下-初中数学人教版(2026春新版持续更新)_旧版-可参考_06习题试卷_5专项练习
专题34一次函数与全等三角形结合(解析版)_初中数学人教版_八年级数学下册_保存转存之后查看(1)_8下-初中数学人教版(2026春新版持续更新)_旧版-可参考_06习题试卷_5专项练习
专题34一次函数与全等三角形结合(解析版)_初中数学人教版_八年级数学下册_保存转存之后查看(1)_8下-初中数学人教版(2026春新版持续更新)_旧版-可参考_06习题试卷_5专项练习
专题34一次函数与全等三角形结合(解析版)_初中数学人教版_八年级数学下册_保存转存之后查看(1)_8下-初中数学人教版(2026春新版持续更新)_旧版-可参考_06习题试卷_5专项练习
专题34一次函数与全等三角形结合(解析版)_初中数学人教版_八年级数学下册_保存转存之后查看(1)_8下-初中数学人教版(2026春新版持续更新)_旧版-可参考_06习题试卷_5专项练习
专题34一次函数与全等三角形结合(解析版)_初中数学人教版_八年级数学下册_保存转存之后查看(1)_8下-初中数学人教版(2026春新版持续更新)_旧版-可参考_06习题试卷_5专项练习
专题34一次函数与全等三角形结合(解析版)_初中数学人教版_八年级数学下册_保存转存之后查看(1)_8下-初中数学人教版(2026春新版持续更新)_旧版-可参考_06习题试卷_5专项练习
专题34一次函数与全等三角形结合(解析版)_初中数学人教版_八年级数学下册_保存转存之后查看(1)_8下-初中数学人教版(2026春新版持续更新)_旧版-可参考_06习题试卷_5专项练习
专题34一次函数与全等三角形结合(解析版)_初中数学人教版_八年级数学下册_保存转存之后查看(1)_8下-初中数学人教版(2026春新版持续更新)_旧版-可参考_06习题试卷_5专项练习
专题34一次函数与全等三角形结合(解析版)_初中数学人教版_八年级数学下册_保存转存之后查看(1)_8下-初中数学人教版(2026春新版持续更新)_旧版-可参考_06习题试卷_5专项练习
专题34一次函数与全等三角形结合(解析版)_初中数学人教版_八年级数学下册_保存转存之后查看(1)_8下-初中数学人教版(2026春新版持续更新)_旧版-可参考_06习题试卷_5专项练习
专题34一次函数与全等三角形结合(解析版)_初中数学人教版_八年级数学下册_保存转存之后查看(1)_8下-初中数学人教版(2026春新版持续更新)_旧版-可参考_06习题试卷_5专项练习
专题34一次函数与全等三角形结合(解析版)_初中数学人教版_八年级数学下册_保存转存之后查看(1)_8下-初中数学人教版(2026春新版持续更新)_旧版-可参考_06习题试卷_5专项练习
专题34一次函数与全等三角形结合(解析版)_初中数学人教版_八年级数学下册_保存转存之后查看(1)_8下-初中数学人教版(2026春新版持续更新)_旧版-可参考_06习题试卷_5专项练习
专题34一次函数与全等三角形结合(解析版)_初中数学人教版_八年级数学下册_保存转存之后查看(1)_8下-初中数学人教版(2026春新版持续更新)_旧版-可参考_06习题试卷_5专项练习
专题34一次函数与全等三角形结合(解析版)_初中数学人教版_八年级数学下册_保存转存之后查看(1)_8下-初中数学人教版(2026春新版持续更新)_旧版-可参考_06习题试卷_5专项练习
专题34一次函数与全等三角形结合(解析版)_初中数学人教版_八年级数学下册_保存转存之后查看(1)_8下-初中数学人教版(2026春新版持续更新)_旧版-可参考_06习题试卷_5专项练习
专题34一次函数与全等三角形结合(解析版)_初中数学人教版_八年级数学下册_保存转存之后查看(1)_8下-初中数学人教版(2026春新版持续更新)_旧版-可参考_06习题试卷_5专项练习
专题34一次函数与全等三角形结合(解析版)_初中数学人教版_八年级数学下册_保存转存之后查看(1)_8下-初中数学人教版(2026春新版持续更新)_旧版-可参考_06习题试卷_5专项练习
专题34一次函数与全等三角形结合(解析版)_初中数学人教版_八年级数学下册_保存转存之后查看(1)_8下-初中数学人教版(2026春新版持续更新)_旧版-可参考_06习题试卷_5专项练习
专题34一次函数与全等三角形结合(解析版)_初中数学人教版_八年级数学下册_保存转存之后查看(1)_8下-初中数学人教版(2026春新版持续更新)_旧版-可参考_06习题试卷_5专项练习
专题34一次函数与全等三角形结合(解析版)_初中数学人教版_八年级数学下册_保存转存之后查看(1)_8下-初中数学人教版(2026春新版持续更新)_旧版-可参考_06习题试卷_5专项练习
专题34一次函数与全等三角形结合(解析版)_初中数学人教版_八年级数学下册_保存转存之后查看(1)_8下-初中数学人教版(2026春新版持续更新)_旧版-可参考_06习题试卷_5专项练习
专题34一次函数与全等三角形结合(解析版)_初中数学人教版_八年级数学下册_保存转存之后查看(1)_8下-初中数学人教版(2026春新版持续更新)_旧版-可参考_06习题试卷_5专项练习
专题34一次函数与全等三角形结合(解析版)_初中数学人教版_八年级数学下册_保存转存之后查看(1)_8下-初中数学人教版(2026春新版持续更新)_旧版-可参考_06习题试卷_5专项练习
专题34一次函数与全等三角形结合(解析版)_初中数学人教版_八年级数学下册_保存转存之后查看(1)_8下-初中数学人教版(2026春新版持续更新)_旧版-可参考_06习题试卷_5专项练习
专题34一次函数与全等三角形结合(解析版)_初中数学人教版_八年级数学下册_保存转存之后查看(1)_8下-初中数学人教版(2026春新版持续更新)_旧版-可参考_06习题试卷_5专项练习
专题34一次函数与全等三角形结合(解析版)_初中数学人教版_八年级数学下册_保存转存之后查看(1)_8下-初中数学人教版(2026春新版持续更新)_旧版-可参考_06习题试卷_5专项练习
专题34一次函数与全等三角形结合(解析版)_初中数学人教版_八年级数学下册_保存转存之后查看(1)_8下-初中数学人教版(2026春新版持续更新)_旧版-可参考_06习题试卷_5专项练习
专题34一次函数与全等三角形结合(解析版)_初中数学人教版_八年级数学下册_保存转存之后查看(1)_8下-初中数学人教版(2026春新版持续更新)_旧版-可参考_06习题试卷_5专项练习
专题34一次函数与全等三角形结合(解析版)_初中数学人教版_八年级数学下册_保存转存之后查看(1)_8下-初中数学人教版(2026春新版持续更新)_旧版-可参考_06习题试卷_5专项练习
专题34一次函数与全等三角形结合(解析版)_初中数学人教版_八年级数学下册_保存转存之后查看(1)_8下-初中数学人教版(2026春新版持续更新)_旧版-可参考_06习题试卷_5专项练习
专题34一次函数与全等三角形结合(解析版)_初中数学人教版_八年级数学下册_保存转存之后查看(1)_8下-初中数学人教版(2026春新版持续更新)_旧版-可参考_06习题试卷_5专项练习
专题34一次函数与全等三角形结合(解析版)_初中数学人教版_八年级数学下册_保存转存之后查看(1)_8下-初中数学人教版(2026春新版持续更新)_旧版-可参考_06习题试卷_5专项练习
专题34一次函数与全等三角形结合(解析版)_初中数学人教版_八年级数学下册_保存转存之后查看(1)_8下-初中数学人教版(2026春新版持续更新)_旧版-可参考_06习题试卷_5专项练习
专题34一次函数与全等三角形结合(解析版)_初中数学人教版_八年级数学下册_保存转存之后查看(1)_8下-初中数学人教版(2026春新版持续更新)_旧版-可参考_06习题试卷_5专项练习

文档信息

文档格式
docx
文档大小
2.204 MB
文档页数
40 页
上传时间
2026-03-27 23:38:14

文档内容

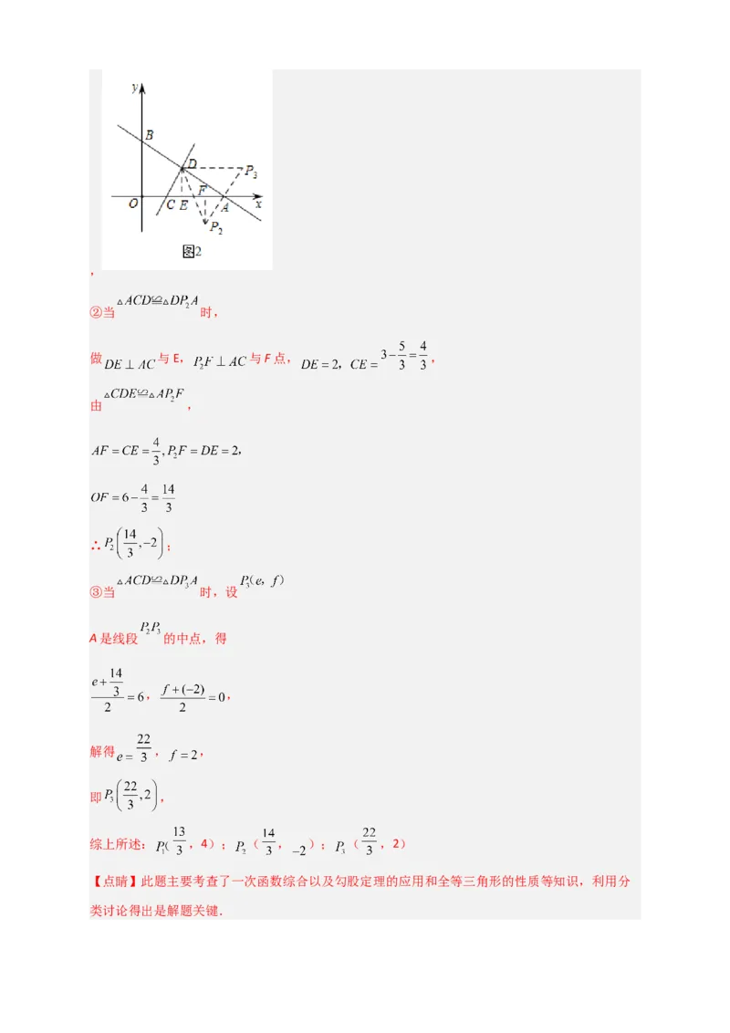
专题34 一次函数与全等三角形结合 【例题讲解】 直线AB:y=x+b分别与x,y轴交于A,B两点,点A的坐标为(-3,0),过点B的直线交x轴正 半轴于点C,且OB∶OC=3∶1. (1)求点B的坐标及直线BC的函数表达式; (2)在坐标系平面内,存在点D,使以点A,B,D为顶点的三角形与△ABC全等,画出△ABD, 并求出点D的坐标. 解:(1)∵直线AB:y=x+b过点A(-3,0),∴0=-3+b,∴b=3.当x=0时,y=x+b=b=3, ∴点B的坐标为(0,3),即OB=3.∵OB:OC=3:1,∴OC=1. ∵点C在x轴正半轴,∴点C的坐标为(1,0). 设直线BC的解析式为y=kx+c(k≠0),将B(0,3)、C(1,0)代入y=kx+c,得: ,解得: ,∴直线BC的函数表达式为y=-3x+3. (2)分在x轴上方: BAD≌△ABC和 ABD≌△ABC(如图1)和点D在y轴上(如图②)两种情 况考虑: △ △ 如图①:①当 BAD≌△ABC时,∵OA=OB=3, ∴∠BAC=45°.△∵△BAD≌△ABC, ∴∠ABD=∠BAC=45°,BD=AC=4, ∴BD∥AC,∴点D的坐标为(-4,3); ②当 ABD≌△ABC时,∠BAD=∠BAC=45°,AD=AC=4, ∴∠DAC=90°,∴点D的坐标为△(-3,4). 如图②当 ABD≌△BCA时,BD=AC=4∴OD=1 ∴点D的△坐标为(0,-1). 综上所述,点D的坐标为(-4,3)或(-3,4)或(0,-1).【综合解答】 1.如图,直线y=- x+8与x轴,y轴分别交于点A,B,直线y=x+1与直线AB交于点C,与 y轴交于点D.则△BDC的面积=____.若P是y轴正半轴上的一点,Q是直线AB上的一点,连接 PQ.△BDC与△BPQ全等(点Q不与点C重合),写出所有满足要求的点Q坐标______. 【答案】 , , 【分析】将两条直线的方程联立,求出点 的坐标,从而可得 的底与高,进而求出面积; 对点 的位置进行分类讨论,画出使 与 全等的草图,结合全等三角形对应边相等建立 等量关系,求出点 的坐标. 【详解】解: ,令 ,得 , . ,令 ,得 , . . 令 ,解得 , . . 若 与 全等,则: ①当点 在点 下方时,如图所示, , . ,即 ,解得 ,将 代入 ,得 . . ②当点 在点 上方时,如图所示. 若 , ,则 , 将 代入 ,得 , . 若 , ,则 , 将 代入 ,得 , . 综上,所有满足题意的点 的坐标为 , , . 故答案为: ; , , . 【点睛】本题考查了一次函数的性质及应用,全等三角形的性质与判定,熟练掌握一次函数与全 等三角形相关知识是解题的关键. 2.如图,直线AB的解析式为y=﹣x+b分别与x,y轴交于A,B两点,点A的坐标为(3,0), 过点B的直线交x轴负半轴于点C,且 ,在x轴上方存在点D,使以点A,B,D为 顶点的三角形与 ABC全等,则点D的坐标为_____. △【答案】(4,3)或(3,4) 【分析】求出 的坐标,分 平行 轴, 不平行 轴两种情况,求解计算即可. 【详解】解:将点A的坐标代入函数表达式得:0=﹣3+b, 解得:b=3 ∴直线AB的表达式为:y=﹣x+3, ∴点B(0,3) ∵OB:OC=3:1 ∴OC=1, ∴点C(﹣1,0); ①如图,当BD平行x轴时,以点 为顶点的三角形与 全等,则四边形 为平行 四边形 则BD=AC=1+3=4,则点D(4,3); ②当BD不平行x轴时,则S ABD=S ABD,则点D、D′到AB的距离相等, ′ △ △ ∴直线DD′∥AB, 设直线DD′的表达式为:y=﹣x+n, 将点D的坐标代入y=﹣x+n中解得:n=7, ∴直线DD′的表达式为:y=﹣x+7, 设点D′(m,7﹣m), ∵A,B,D′为顶点的三角形与△ABC全等,则BD′=BC= , 解得:m=3, 故点D′(3,4); 故答案为:(4,3)或(3,4). 【点睛】本题考查了一次函数图象上点的坐标特征,三角形全等,平行线的性质,勾股定理等知 识.解题的关键与难点在于分情况求解. 3.如图,在平面直角坐标系中,直线y=kx+4经过点A(3,0),与y轴交于点B. (1)k的值为__________________; (2)y轴上有点M(0, ),线段AB上存在两点P,Q,使得以O,P,Q为顶点的三角形与 OMP全等,则符合条件的点P的坐标为__________________. 【答案】 ﹣ ( , )或( , ) 【分析】(1)将点A(3,0)代入y=kx+4即可求出k; (2)分两种情况分别讨论:①过点O作OQ⊥AB于Q,过点M作MP⊥OB于M,用面积法求出 OQ,证明 OPM≌ OPQ,从而得P点纵坐标,代入一次函数解析式求出横坐标即可;②如图②, 当OB=BP,OM=PQ,过点P作PF⊥OB于F,过点O作OE⊥AB于E,先证明 MOP≌ QPO, 进而可得这两个三角形面积相等,由此可得PF=OE= ,从而得P点横坐标,代入一次函数解 析式求出纵坐标即可. 【详解】解:(1)把(3,0)代入y=kx+4, 得:0=3k+4, 解得:k=﹣ , 故答案为:﹣ ;(2)由(1)得:直线AB的解析式为y=﹣ x+4, ①如图①,过点O作OQ⊥AB于Q,过点M作MP⊥OB于M, ∴∠PMO=∠OQP=90°, 令x=0,则y=4;令y=0,则x=3, ∴OA=3,OB=4, ∴AB= =5, ∵ ×AB•OQ= ×OA•OB, ∴OQ= , ∴OQ=OM, 在Rt OPM和Rt OPQ中, , ∴ OPM≌ OPQ(HL), ∵MP⊥OB于M, ∴P点纵坐标是 , ∵点P在y=﹣ x+4, ∴将y= 代入y=﹣ x+4, 得: =﹣ x+4, 解得:x= ,∴P( , ); ②如图②,当OB=BP,OM=PQ时, 过点P作PF⊥OB于F,过点O作OE⊥AB于E, ∵OB=BP, ∴∠MOP=∠QPO, ∴在 MOP和 QPO中, , ∴ MOP≌ QPO(SAS), ∴ , ∵OM=PQ, ∴PF=OE= , ∴点P的横坐标为 , ∵点P在y=﹣ x+4, ∴把x= 入y=﹣ x+4得:y= , ∴P( , ), 综上所述:线段AB上存在两点P,Q,使得以O,P,Q为顶点的三角形与 OMP全等,符合条件 的点P的坐标为( , )或( , ).故答案为:( , )或( , ). 【点睛】本题考查了待定系数法求一次函数解析式、一次函数的性质、全等三角形判定与性质以 及勾股定理等相关知识,熟练掌握一次函数图象上点的坐标特点,全等三角形的判定与性质,根 据题意分情况讨论以及作出正确的辅助线是解题关键. 4.直线 与 轴交于点 ,与 轴交于点 ,与直线 交于点 . (1) 点的坐标为________; (2)若点 是 轴上的动点,点 是直线 上的动点,若以 , , 为顶点的三角形 与 全等,则点 的坐标是________. 【答案】 ( , ); (3,11)或( , )或( , ); 【分析】(1)直接把两条直线方程组成方程组,求出方程组的解,即可得到答案; (2)根据题意,可分为两种情况进行分析:①△DBE≌△OBC;②△EBD≌△OBC;分别求出点E的坐 标,即可得到答案. 【详解】解:(1)∵直线 与直线 交于点 , ∴ ,解得: , ∴点C的坐标为( , ); 故答案为:( , ); (2)∵直线 与 轴交于点 ,与 轴交于点 ,∴点A的坐标为( ,0),点B的坐标为(0,7), ∴OB=7; 若以 , , 为顶点的三角形与 全等, 则可以分为两种情况进行分析: ①当△DBE≌△OBC时,如图: ∴BD=BO=7,∠BED=∠BCO, ∴CO∥DE,点D的坐标为(0,14), ∴直线DE为 , ∵点E是直线 与直线 的交点, ∴ ,解得 ; ∴点E的坐标为(3,11); ②当△EBD≌△OBC时,如图∴BE=OB=7,BC=BD, ∵点E在直线 的图像上,则设点E为(x, ), ∵点B为(0,7), ∴ , 解得: , ∴ 或 , ∴ ,或 , ∴点E的坐标为( , )或( , ); 综合上述,点E的坐标为(3,11)或( , )或( , ); 故答案为:(3,11)或( , )或( , ). 【点睛】本题考查了全等三角形的判定和性质,坐标与图形,一次函数的图形和性质,勾股定理 求两点之间的距离,解题的关键是熟练掌握所学的知识,正确运用全等三角形的思想和一次函数 的性质进行解题. 二、解答题(共0分)5.如图,一次函数y= x+b的图象与x轴、y轴分别交于点A、B,线段 的中点为 .将 沿直线 折叠,使点A与点B重合,直线 与x轴交于点C. (1)求此一次函数的解析式; (2)求点C的坐标; (3)在坐标平面内存在点P(除点C外),使得以A、D、P为顶点的三角形与 全等,请直 接写出点P的坐标. 【答案】(1)一次函数解析式为 (2) ; (3) ; ( , ); ( ). 【分析】(1)根据线段中点的性质,可得B点,A点坐标,根据待定系数法,可得函数解析式; (2) ,根据翻折变换的性质用x表示出 的长,再根据勾股定理求解即可; (3)当 时,根据C、P点关于D点对称,可得P点坐标,当 时,根 据全等三角形的判定与性质,可得答案;当 时,根据线段中点的性质,可得答案. 【详解】(1)设A点坐标为 ,B点坐标为 , 由线段 的中点为 ,得 =3, =2, 解得a=6,b=4. 即故一次函数解析式为y= x+4. (2)如图1: 连接 ,设 ,则 , , 解得x= , 即C ; (3)①当 时,设 , 由D是 的中点,得 , =2, 解得c= , , 即 ,; 如图2:, ②当 时, 做 与E, 与F点, , 由 , ∴ ; ③当 时,设 A是线段 的中点,得 , , 解得 , , 即 , 综上所述: ,4); ( , ); ( ,2) 【点睛】此题主要考查了一次函数综合以及勾股定理的应用和全等三角形的性质等知识,利用分 类讨论得出是解题关键.6.直线 : 分别与x,y轴交于A,B两点,点A的坐标为 ,过点B的直线交x轴 正半轴于点C,且 . (1)求点B的坐标及直线 的函数表达式; (2)在y轴存在点P,使得三点B、C、P构成等腰三角形,请直接写出点P的坐标 ; (3)在坐标系平面内,存在点D,使以点A,B,D为顶点的三角形与 全等(重合除外),请 求出点D的坐标. 【答案】(1) , (2) 或 或 或 (3) 或 或 【分析】(1)由直线 过点A,利用一次函数图象上点的坐标特征可求出b的值,进而可得出 点B的坐标及 的长度,结合 可求出点C的坐标,再由点B、C的坐标,利用待定 系数法即可求出直线 的函数表达式; (2)根据等腰三角形的定义(两条边相等的三角形是等腰三角形)结合图形求解即可; (3)分 和 两种情况考虑,结合 的长度即可得出点D的坐标. 【详解】(1)∵直线 : 过点A , ∴ , ∴ . 当 时, , ∴点B的坐标为 ,即 . ∵ , ∴ . ∵点C在x轴正半轴,∴点C的坐标为 . 设直线BC的解析式为 , 将 、 代入 ,得: , 解得: , ∴直线BC的函数表达式为 . (2)∵ 、 ∴ , ∴ ①当 为腰时,点P的位置有三处,( , 和 )如图,当 时,则有 ∴ , 当 时, ∴ , 当 时, ∴ ; ②当 为底边时,设 ,则有 解得, ∴ , ∴点P的坐标为 或 或 或 故答案为: 或 或 或 ; (3)分在x轴上方: 和 (如图1)和点D在y轴上(如图②)两种 情况考虑: 如图①: ①当 时, ∵ ,∴ . ∵ , ∴ , , ∴ , ∴点D的坐标为 ; ②当 时, , , ∴ , ∴点D的坐标为 . 如图② 当 时, ∴ ∴点D的坐标为 . 综上所述,点D的坐标为 或 或 . 【点睛】本题考查了一次函数图象上点的坐标特征、待定系数法求一次函数解析式、全等三角形 的性质,解题的关键是由点的坐标,利用待定系数法求出直线 的函数表达式;分 和 两种情况求出点D的坐标. 7.如图,直线y= x+2与x轴、y轴分别交于A、B两点,点C的坐标为(﹣3,0),P(x,y) 是直线y= x+2的一个动点(点P不与点A重合).(1)在点P运动过程中,试写出△OPC的面积S与x的函数关系式; (2)当P运动到什么位置时,△OPC的面积为 ,求出此时点P的坐标; (3)过P作AB的垂线分别交x轴、y轴于E、F两点,是否存在这样的点P,使△EOF≌△BOA? 若存在,求出点P的坐标;若不存在,请说明理由. 【答案】(1)△OPC的面积S与x的函数关系式为 ; (2)点P坐标为( , )或(﹣ ,﹣ ); (3)存在,P点坐标为(﹣ , )或( , ). 【分析】(1)根据三角形的面积公式S OPC= ×OC×y,然后把y转换成x,并且y的取值分为两 △ 种情况,即x轴上方和下方两种,分为x>﹣4和x<﹣4两种情况,这样△OPC的面积S与x的函 数关系式就可以求出了; (2)直接把S= 代入(2)中的解析式里.就可以求出x,然后确定P的坐标. (3)根据全等三角形的判定与性质,由PE⊥AB可求出直线PE的解析式,再求出直线AB和直线 PF的交点P的坐标, 【详解】解:(1)点P为直线AB上的点, 当x>﹣4时,△OPC的面积S= ×3×( x+2)= x+3; 当x<﹣4时,△OPC的面积S= ×3×(﹣ x﹣2)=﹣( x+3);△OPC的面积S与x的函数关系式为 (2)△OPC的面积为 时, 设x>﹣4时, x+3= ,x= ,此时纵坐标为 , 设x<﹣4时,﹣ x﹣3= ,x=﹣ ;此时从坐标为﹣ ; 点P坐标为( , )或(﹣ ,﹣ ). (3)存在, ∵PE⊥AB, ∴直线PE的解析式为y=﹣2x+b, ∵△EOF≌△BOA, ∴EO=BO=2,AO=FO=4, ①∴F点坐标为(0,﹣4),E点坐标为(﹣2,0). 将EF代入PE解析式得y=﹣2x﹣4, 设直线AB和直线PF的交点P坐标为(x,y), 则x,y满足 , 解得:x=﹣ ,y= .②E(2,0)F(0,4), 将EF代入PE得到解析式:y=﹣2x+4 设直线AB和直线PF的交点P坐标为(x,y), 则x,y满足 , 解得:x= ,y= , ∴存在,P点坐标为(﹣ , )或( , ). 【点睛】本题主要考查一次函数综合题,涉及全等三角形的判定与性质,一次函数的图像和性质, 掌握一次函数图像的交点坐标求法是关键. 8.如图,直线 与 轴、 轴分别交于 两点,点 的坐标为 连结 过点 作 于点 点 为线段 上一个动点.(1)求 的长; (2)在线段 上是否存在一点 使得 与 全等?若存在,请求出点 的坐标;若不存 在,请说明理由; (3)当点 关于 的对称点恰好落在 的边上,请直接写出点 的坐标. 【答案】(1) (2)存在, 或 (3) 或 【分析】(1)先求出点 点 坐标,由勾股定理和面积法可求解; (2)分两种情况讨论,先求出 解析式,由全等三角形的性质可求解; (3)分两种情况讨论,利用折叠的性质,三角形面积公式,等腰三角形的性质可求解. 【详解】(1)解: 直线 与 轴、 轴分别交于 两点, 点 ,点 , 点 的坐标为 , ,, ; (2)解:存在,理由如下: 设直线 的解析式为 , 解得: , 直线 的解析式为 , 设点 , 当 时, , , , 点 在第二象限, 点 , 当 时, , , 点 在第二象限,点 , 综上所述:点 坐标为: 或 ; (3)解:如图,当点 关于 的对称点落在 上时,作 于点 于点 又 , , 点 的坐标为 , 点 关于 的对称点落在 上时,点 是 的中点, 点 综上所述:点 坐标为 或 . 【点睛】本题是一次函数综合题,考查了待定系数法求解析式,全等三角形的判定和性质,折叠 的性质,勾股定理等知识,运用分类讨论思想解决问题是解题的关键. 9.如图,一次函数的图象与 轴负半轴交于点 ,与 轴正半轴交于点 ,点 在 轴上.如果 将直线 沿直线 翻折,使得点 的对应点 落在 轴上,那么直线 称为直线 的“伴随 直线”.已知点 的坐标为 , . (1)若点 在 轴负半轴上,求直线 的“伴随直线” 的函数表达式; (2)已知在(1)的条件下,存在第二象限内的点 ,使得 与以 、 、 为顶点的三角形全 等,试求出点 的坐标; (3)直线 的“伴随直线” 上是否存在点 (异于点 ),使得 ?若存在,直接 写出点 的坐标;若不存在,请说明理由. 【答案】(1) (2) 或 (3)存在, 或 【分析】(1)由对称性可得 , ,如图,由 求出 ,用待定系数法即可求 的解析式;(2)分两种情况:当 点与 点关于直线 对称时, ,求出直线 的解析式 为 ,设 ,再由 ,即可求 ;②当 轴, 轴时, 此时四边形 是矩形,则 ; (3)当 点在 轴正半轴上时,当 点与 点关于 点对称时, ,设 ,再 由 ,即可求 点坐标;同理,当 点在 轴正半轴上时,求 点坐 标. 【详解】(1)解:∵直线 沿直线 翻折点 对应点 落在 轴上, ∴直线 为 的平分线所在直线, 如图所示,过点 作线段, 于点 .设点 ,则 ∴ , 由对称性可知, , ∵点 坐标为 , ∴ ∴在 中, ∴ , ∵ ∴解得: ∴ , 设直线 的解析式为 , ∴ , ∴ , ∴ ; (2)当 点与 点关于直线 对称时, , ∴ 点在直线 上, ∵ , , ∴ , ∵ , ∴ , 设直线 的解析式为 , ∴ ,解得: ∴ , 设 ,再由 ,解得: ∴ , 当 轴, 轴时, 此时四边形 是矩形,∴ 综上所述: 点坐标为 或 (3)当 点在 轴负半轴时 当 点与 点关于 点对称时, , ∴ , ∵ 点在直线 上, 设 , ∵ , ∴ , ∴ , ∴ (舍去)或 故 的坐标为 当 点在 轴正半轴时∵点 , , ∴ ∴ , ∴ , 由对称性可知, , ∴ , ∵ , ∴ , , ∵ , ∴ , ∴ , ∴ , ∴ , ∴ 设直线 的解析式为: , ∴ 解得: ∴ , ∵ 点在直线 上,设 , ∵ , ∴ ∴ , ∴ (舍去)或 故 的坐标为 【点睛】本题是一次函数的综合题,解题的关键是熟练掌握一次函数的图象及性质,轴对称的性 质,数形结合. 10.如图,直线 交x、y轴分别为 、 两点,点 与点 关于y轴对称.动点 、 分别在线段 、 上(点 不与点 、 重合),满足 . (1)点 坐标是_______, ______. (2)当点 在什么位置时, ,说明理由. (3)当 为等腰三角形时,求点 的坐标. 【答案】(1) ;10 (2)当 的坐标是 时, ,理由见解析 (3) 或 【分析】(1)把 和 分别代入一次函数的解析式,求出 、 两点坐标,根据已知条件, 求出 点坐标,最后运用勾股定理求出 即可;(2)求出 , ,根据点的坐标求出 ,根据全等三角形的判定 推出即可; (3)分三种情况进行讨论:① ,② ,③ ,根据(2)即可推出①,根据 三角形外角性质可判断②,设 的坐标是 ,根据勾股定理得出方程,即可求出③. 【详解】(1)解:∵直线 交x、y轴分别为 、 两点, ∴当 时, , 即 点坐标是 , 同理,当 时, , ∴ 点坐标是 , ∵点 与点 关于y轴对称, ∴ 点坐标是 , ∴ , , 由勾股定理可得, , 故答案是: , ; (2)解:当 的坐标是 时, , 理由如下:∵ , , ∴ , ∵ , , , ∴ , ∵点 与点 关于y轴对称, ∴ , 在 和 中,∵ , ∴ , ∴当 的坐标是 时, . (3)解:分三种情况进行讨论: ①当 时, 由(2)知 , ∴ , 此时 的坐标是 ; ②当 时,则 , ∵ , ∴ , 而根据三角形的外角性质得: , ∴此种情况不存在; ③当 时, 则 , 即 , 设此时 的坐标是 , ∵在 中,由勾股定理得: , ∴ , 解得: , 即此时 的坐标是 ; ∴当 为等腰三角形时,点 的坐标是 或 . 【点睛】本题考查了一次函数图象上点的坐标特征,勾股定理,等腰三角形的性质,全等三角形的性质及判定的应用,题目综合性比较强,难度偏大. 11.如图,直线 交y轴于点A,交x轴负半轴于点B,且 ,P是直线AB上的一 个动点,点C的坐标为 ,直线 交y轴点于D,O是原点. (1)求k的值; (2)直线 上是否存在一点P,使得 与 是全等的?若存在,请求出点P的坐标;若不 存在,请说明理由; (3)当点P在射线 上运动时,连接 ,是否存在点P,使得 为等腰三角形?若存在,请 直接写出点P的坐标;若不存在,请说明理由. 【答案】(1)3 (2)存在; (3)存在; 或 【分析】(1)在 中,可得 , ,又 ,即知 , ,用 待定系数法可得k的值是3; (2)由 , ,可知 与 全等,只需 ,即 ,用待定系数法得直线 解析式为 ,解 ,即可得点P的坐标为 ;(3)设 ,且 ,有 , , ,分三 种情况列方程即可得到答案. 【详解】(1)解:在 中,令 得 , ∴ , , ∵ , ∴ , , 把 代入 得: , 解得 ; ∴k的值是3; (2)解:存在一点P,使得 与 是全等的,理由如下: ∵ , ∴ , ∵ , ∴ 与 全等,只需 , ∴ , 设直线 解析式为 ,把 代入得: , 解得 , ∴直线 解析式为 , 由(1)知 , ∴直线 解析式为 , 由 得, ,∴点P的坐标为 ; (3)解:存在点P,使得 为等腰三角形,理由如下: 设 ,且 , ∵ , , ∴ , , , ①当 时, , 解得 或 (舍去), ∴ ; ②当 时, , 解得 , ∴ ; ③当 时, , 方程无实数解; 综上所述,P的坐标为 或 . 【点睛】本题主要考查一次函数的综合应用,涉及待定系数法,三角形全等,等腰三角形等知识, 解题的关键是用含字母的代数式表示相关点坐标和相关线段的长度. 12.如图,在平面直角坐标系中,直线y=x+6交x轴于点A,交y轴于点B,交直线y=﹣2x+9 于点C. (1)点C的坐标是 . (2)点M是直线AB上一点,点N是直线y=﹣2x+9上一点,连接线段MN,若MN x轴,且 MN=6,求出所有符合条件的点M的坐标. (3)在(2)的条件下,平面上是否存在点P,使得△BOP和△MNC全等,若存在,请直接写出 点P的坐标,若不存在,请说明理由.【答案】(1)(1,7)(2)M(-3,3)或M(5,11)(3)P(4,4)或(-4,4)或(4,2) 或(-4,4) 【分析】(1)联立两直线即可求解; (2)设点M的横坐标为a,分别求出M、N点的坐标,根据MN=6,得到 故可求解; (3)先求出B点坐标,得到MN=OB=6,故当△BOP和△MNC全等时,对应线段相等,求出 MC,NC,设点P(x,x),得到BP= ,OP= ,根据BP= 1 2 NC,OP= MC或BP= MC,OP= NC分别列出方程即可求解. 【详解】(1)联立两直线 解得 ∴点C的坐标是(1,7) 故答案为:(1,7); (2)设点M的横坐标为a,则M(a,a+6), ∵MN x轴 ∴N点的纵坐标为a+6,代入直线y=﹣2x+9 ∴a+6=﹣2x+9 ∴x=∴N( ,a+6) ∵MN=6, ∴ 解得a=-3或a=5 ∴M(-3,3)或M(5,11) (3)存在 令直线y=x+6中x=0,y=6 故B(0,6) ∴OB=6 故MN=OB=6 故当△BOP和△MNC全等时,对应线段相等 ①当M(-3,3)、N(3,3)时 在△MNC中,MC= ,NC= , 设点P(x,x),故BP= ,OP= 1 2 当BP= NC,OP= MC时,则 ,解得 或 ; 当BP= MC,OP= NC时,则 ,解得 或 ; ∴P点坐标为(4,4)或(-4,4)或(4,2)或(-4,2); ②当M(5,11)、N(-1,11)时,四种情况与①一致; 综上,P点坐标为(4,4)或(-4,4)或(4,2)或(-4,2).【点睛】此题主要考查一次函数与几何综合,解题的关键是熟知全等三角形的判定与性质、一次 函数的图像与性质及勾股定理的运用. 13.如图1,在平面直角坐标系中,O为坐标原点,OA、OB、AB的长分别为a、b、c,且满足 ,点P从A出发,以每秒1个单位的速度沿射线AO匀速运动,设点P 运动时间为t秒. (1)A的坐标为_________,B的坐标为_________. (2)如图2,连结BP,当t为何值时,BP平分∠ABO. (3)过P作PD⊥AB交直线AB于D,交y轴于Q,在点P运动的过程中,是否存在这样的点P, 使 POQ与 AOB全等?若存在,请求出t的值;若不存在,请说明理由. 【答案】(1) , ;(2) ;(3)存在, 或 【分析】(1)根据非负性求出 的值即可; (2)作 ,根据 平分 ,得出 ,设 ,则 , 根据 ,即: ,即可解出 ;(3)当 时,得 ,又根 ,得 ,即 , , ;当 时,得 ,同理可得: ,即可解出 . 【详解】解:(1) , 根据非负性得, , , , , 故答案是: , ; (2)作 , 平分 , , ,则 , , 即: , , , 当 秒时, 平分 , (3)如图,当 时, , , , , , , 当 时, , 同理可得: , , , . 【点睛】本题考查了角平分线、三角形全等、非负性、一次函数,解题的关键是利用数形结合的 思想及分类讨论的思想求解.