当前位置:首页>文档>第二十一章一元二次方程易错必考68题(10个考点)专练(学生版)_初中数学_九年级数学上册(人教版)_重难点专题提升-V7_2024版

第二十一章一元二次方程易错必考68题(10个考点)专练(学生版)_初中数学_九年级数学上册(人教版)_重难点专题提升-V7_2024版

  • 2026-04-10 15:35:53 2026-03-28 06:42:46

文档预览

第二十一章一元二次方程易错必考68题(10个考点)专练(学生版)_初中数学_九年级数学上册(人教版)_重难点专题提升-V7_2024版
第二十一章一元二次方程易错必考68题(10个考点)专练(学生版)_初中数学_九年级数学上册(人教版)_重难点专题提升-V7_2024版
第二十一章一元二次方程易错必考68题(10个考点)专练(学生版)_初中数学_九年级数学上册(人教版)_重难点专题提升-V7_2024版
第二十一章一元二次方程易错必考68题(10个考点)专练(学生版)_初中数学_九年级数学上册(人教版)_重难点专题提升-V7_2024版
第二十一章一元二次方程易错必考68题(10个考点)专练(学生版)_初中数学_九年级数学上册(人教版)_重难点专题提升-V7_2024版
第二十一章一元二次方程易错必考68题(10个考点)专练(学生版)_初中数学_九年级数学上册(人教版)_重难点专题提升-V7_2024版
第二十一章一元二次方程易错必考68题(10个考点)专练(学生版)_初中数学_九年级数学上册(人教版)_重难点专题提升-V7_2024版
第二十一章一元二次方程易错必考68题(10个考点)专练(学生版)_初中数学_九年级数学上册(人教版)_重难点专题提升-V7_2024版
第二十一章一元二次方程易错必考68题(10个考点)专练(学生版)_初中数学_九年级数学上册(人教版)_重难点专题提升-V7_2024版
第二十一章一元二次方程易错必考68题(10个考点)专练(学生版)_初中数学_九年级数学上册(人教版)_重难点专题提升-V7_2024版
第二十一章一元二次方程易错必考68题(10个考点)专练(学生版)_初中数学_九年级数学上册(人教版)_重难点专题提升-V7_2024版
第二十一章一元二次方程易错必考68题(10个考点)专练(学生版)_初中数学_九年级数学上册(人教版)_重难点专题提升-V7_2024版
第二十一章一元二次方程易错必考68题(10个考点)专练(学生版)_初中数学_九年级数学上册(人教版)_重难点专题提升-V7_2024版
第二十一章一元二次方程易错必考68题(10个考点)专练(学生版)_初中数学_九年级数学上册(人教版)_重难点专题提升-V7_2024版
第二十一章一元二次方程易错必考68题(10个考点)专练(学生版)_初中数学_九年级数学上册(人教版)_重难点专题提升-V7_2024版
第二十一章一元二次方程易错必考68题(10个考点)专练(学生版)_初中数学_九年级数学上册(人教版)_重难点专题提升-V7_2024版
第二十一章一元二次方程易错必考68题(10个考点)专练(学生版)_初中数学_九年级数学上册(人教版)_重难点专题提升-V7_2024版
第二十一章一元二次方程易错必考68题(10个考点)专练(学生版)_初中数学_九年级数学上册(人教版)_重难点专题提升-V7_2024版
第二十一章一元二次方程易错必考68题(10个考点)专练(学生版)_初中数学_九年级数学上册(人教版)_重难点专题提升-V7_2024版
第二十一章一元二次方程易错必考68题(10个考点)专练(学生版)_初中数学_九年级数学上册(人教版)_重难点专题提升-V7_2024版
第二十一章一元二次方程易错必考68题(10个考点)专练(学生版)_初中数学_九年级数学上册(人教版)_重难点专题提升-V7_2024版
第二十一章一元二次方程易错必考68题(10个考点)专练(学生版)_初中数学_九年级数学上册(人教版)_重难点专题提升-V7_2024版

文档信息

文档格式
docx
文档大小
3.028 MB
文档页数
18 页
上传时间
2026-03-28 06:42:46

文档内容

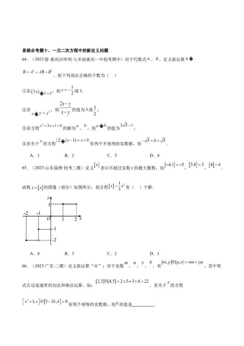
第二十一章 一元二次方程 易错必考68题(10个考点)专练 易错必考题一、一元二次方程的一般形式 1.(2023·全国·九年级专题练习)若关于x的一元二次方程 的常数项是6, 则一次项是( ) A. B. C.x D.1 2.(2023春·八年级课时练习)将一元二次方程 化成 的形式则 . 3.(2023·江苏·九年级假期作业)已知关于y的一元二次方程 ,求出它各 项的系数,并指出参数m的取值范围. 易错必考题二、一元二次方程的解 4.(2023春·吉林长春·八年级校考期末)如果关于 的一元二次方程 的一个解是 ,则 代数式 的值为( ) A. B.2021 C. D.2025 5.(2023春·福建厦门·八年级厦门外国语学校校考期末)两个关于x的一元二次方程 和 ,其中a,b,c是常数,且 ,如果 是方程 的一个根,那么下列各 数中,一定是方程 的根的是( ) A.2 B. C. D.1 6.(2023春·浙江金华·八年级统考期末)已知m为方程 的根,那么 的值为 . 7.(2023春·浙江温州·八年级校考期中)已知 , , 是非零实数,关于 的一元二次方程, , ,有公共解,则代数式 的值为 . 8.(2023秋·江苏·九年级专题练习)已知x是一元二次方程 的实数根,求代数式 的值. 9.(2023春·湖南长沙·八年级统考期末)请阅读下列材料: 问题:已知方程 ,求一个一元二次方程,使它的根分别是已知方程根的2倍. 解:设所求方程的根为 ,则 ,所以 ,把 代入已知方程,得 ;化简,得 ;故所求方程为 . 这种利用方程根的代换求新方程的方法,我们称为“换根法”; 请用阅读材料提供的“换根法”求新方程(要求:把所求方程化为一般形式): (1)已知方程 ,求一个一元二次方程,使它的根分别为已知方程根的相反数; (2)已知关于 的一元二次方程 有两个不等于零的实数根,求一个一元二次方程,使它 的根分别是已知方程根的倒数. 易错必考题三、换元法解一元二次方程 10.(2023秋·全国·九年级专题练习)若整数 , 使 成立,则满足条件的 , 的值有( ) A.4对 B.6对 C.8对 D.无数对11.(2023春·全国·八年级专题练习)用换元法解方程 时,如果设 ,那么原方 程可变形为( ) A. B. C. D. 12.(2023秋·全国·九年级专题练习)如果关于 的方程 的解是 , ,那么关于 的方程 的解是 . 13.(2023秋·全国·九年级专题练习)已知方程 的根为 , ,则方程 的根是 . 14.(2022秋·全国·九年级专题练习)阅读下列材料: 问题:已知方程 ,求一个一元二次方程,使它的根分别是已知方程根的 倍. 解:设所求方程的根为 ,则 ,所以 ,把 ,代入已知方程,得 . 化简,得 , 故所求方程为 这种利用方程根的代换求新方程的方法,我们称为“换根法”. 请用阅读材料提供的“换根法”求新方程(要求:把所求方程化为一般形式): (1)已知方程 ,求一个一元二次方程,使它的根分别是已知方程根的相反数,则所求方程为 ; (2)已知关于 的一元二次方程 有两个不等于零的实数根,求一个一元二次方程,使它 的根分别是已知方程根的倒数. 15.(2023秋·全国·九年级专题练习)阅读材料:为了解方程 ,我们可以将 看作一个整体,设 ,那么原方程可化为 ①,解得 . 当 ,时, ,∴ .∴ ; 当 时, ,∴ .∴ . 故原方程的解为 , , , . 解答问题: (1)上述解题过程,在由原方程得到方程①的过程中,利用 法达到了降次的目的,体现了 的数 学思想; (2)请利用以上知识解方程: ; (3)请利用以上知识解方程: . 易错必考题四、配方法的应用 16.(2023春·山东威海·八年级统考期末)用配方法解方程 ,若配方后结果为 , 则n的值为( ) A. B.10 C. D.9 17.(2023秋·全国·九年级专题练习)关于x的一元二次方程新定义:若关于x的一元二次方程: 与 ,称为“同族二次方程”.如 与 就是“同族二次 方程”.现有关于x的一元二次方程: 与 是“同族二次方程”.那么代数 式 取的最大值是( ) A.2020 B.2021 C.2022 D.2023 18.(2023秋·江苏·九年级专题练习)实数x和y满足 ,则 . 19.(2023秋·全国·九年级专题练习)设 为整数,且 ,方程有两个不相等的整数根,则 的值是 . 20.(2023春·安徽池州·八年级统考期中)【阅读材料】把代数式通过配凑等手段,得到局部完全平方式, 再进行有关运算和解题,这种解题方法叫做配方法.配方法在因式分解、最值问题中都有着广泛的应用. 例如:①用配方法因式分解: . ②求 的最小值. 解:原式 解:原式 . , , 即 的最小值为2. 请根据上述材料解决下列问题: (1)在横线上添上一个常数项使之成为完全平方式: _______________. (2)因式分解: . (3)求 的最小值. 21.(2023春·浙江宁波·八年级统考期中)我们已经学习了利用配方法解一元二次方程,其实配方法还有 其他重要应用 例如:已知 可取任何实数,试求二次三项式 的最小值. 解: ; 无论 取何实数,都有 , ,即 的最小值为 . 【尝试应用】(1)请直接写出 的最小值______ ;【拓展应用】(2)试说明:无论 取何实数,二次根式 都有意义; 【创新应用】(3)如图,在四边形 中, ,若 ,求四边形 的面积最大值. 易错必考题五、一元二次方程中的因式分解 22.(2022秋·上海普陀·八年级校考阶段练习)若关于 的一元二次方程 的一 个根是0,则 的值是( ) A. 或1 B. C. D. 23.(2023秋·全国·九年级专题练习)对于两个不相等的实数a,b,我们规定符号 表示a,b中 的较大值,如: ,因此, ;按照这个规定,若 ,则x 的值是( ) A.5 B.5或 C. 或 D.5或 24.(2022秋·全国·九年级专题练习)阅读下列解方程 的过程,并解决相关问题. 解:将方程左边分解因式,得 ,…第一步 方程两边都除以 ,得 ,…第二步 解得 …第三步 ①第一步方程左边分解因式的方法是 ,解方程的过程从第 步开始出现错误,错误的原因是; ②请直接写出方程的根为 . 25.(2023秋·江苏·九年级专题练习)已知: 且 , ,那么 的值等于 . 26.(2022春·湖南长沙·九年级统考期末)已知关于 的一元二次方程 有实数根. (1)求 的取值范围; (2)如果 是符合条件的最大整数,且一元二次方程 与方程 有一个相 同的根,求此时 的值. 27.(2023春·江苏扬州·八年级统考期末)已知关于x的一元二次方程 . (1)求证:无论m取何值,方程都有两个不相等的实数根; (2)如果方程的两个实数根为 , ,且 为整数,求整数m所有可能的值. 易错必考题六、根据一元二次方程根的情况求参数 28.(2023春·内蒙古巴彦淖尔·九年级校考期中)若关于x的一元二次方程 有两个不相等的 实数根,则实数m的值可以是( ) A. B. C. D.1029.(2023春·山东泰安·八年级统考期末)若关于x的一元二次方程 有两个不相等的 实数根,则k的取值范围( ) A. B. C. 且 D. 且 30.(2023·辽宁阜新·校联考一模)若关于x的方程 有实数根,则实数k的取值范围是 ( ). A. B. 且 C. D. 且 31.(2023春·广东广州·九年级统考开学考试)已知关于x的一元二次方程 没 有实数根,且a满足 ,则a的取值范围是( ) A. B. C. D. 且 32.(2023秋·黑龙江哈尔滨·九年级哈尔滨市第四十七中学校考开学考试)已知关于 的一元二次方程 有实根,则 的取值范围是 . 33.(2023春·浙江杭州·八年级校联考阶段练习)已知关于 的一元一次方程 与一元二次方程 有一个公共解,若关于 的一元二次方程 有两个相等的实数解,则 的值为 . 34.(2023春·山东泰安·八年级校考阶段练习)已知关于 的一元二次方程 有两个不相 等的实数根,则 的取值范围是 . 35.(2023·辽宁抚顺·统考三模)若关于x的方程 有两个不相等的实数根,则k的最大整数 值是 . 36.(2022秋·上海普陀·八年级校考阶段练习)已知关于 的方程 . (1)有两个不相等的实数根,求m的取值范围; (2)有两个相等的实数根,求m的值,并求出此时方程的根;(3)有实根,求m的最小整数值. 37.(2023春·山东烟台·八年级统考期中)关于 的一元二次方程 有两个不相等的实数根. (1)求 的取值范围. (2)是否存在 的值,使 为非负整数,且方程的两根均为有理数?若存在,请求出满足条件的 的值;若 不存在,请说明理由. 38.(2022秋·江苏南京·九年级校考阶段练习)已知关于 的方程 . (1)求证:无论 取任何实数,方程总有实数根; (2)若等腰三角形的一边长为4,另两边长恰好是这个方程的两个根,求此时的 值和这个等腰三角形的周 长. 39.(2023秋·九年级课时练习)已知关于x的方程 . (1)求证:无论k取何值,此方程总有实数根; (2)若此方程有两个根,请用含有k的式子表示出方程的解; (3)在(2)的情况下,若这两个方程的根为整数根,试求出正整数k的值;易错必考题七、一元二次方程根与系数的关系 40.(2023秋·福建泉州·九年级校考开学考试)已知关于 的一元二次方程 的两个实数根 为 , ,且 ,则k的值为( ) A.5 B.6 C.7 D.8 41.(2023秋·福建龙岩·九年级校考阶段练习)若a,b是方程 的两根,则 ( ) A.2024 B.2023 C.2022 D.2021 42.(2023秋·全国·九年级专题练习)已知 是方程 的两根,则代数式 的值是( ) A. B. C. D. 43.(2023春·安徽六安·八年级统考期中)已知 , 是关于 的一元二次方程 的 两个实数根,且满足 ,则 的值为( ) A. 或1 B. 或3 C. D.3 44.(2023秋·福建莆田·九年级福建省莆田市中山中学校考开学考试)已知 , 是方程 的两实数根,则 . 45.(2023秋·陕西西安·九年级校考开学考试)已知方程 的两根分别为 ,则 .46.(2023·四川成都·校考三模)已知 , 是关于 的一元二次方程 的两个实数根,且 .则 的值为 . 47.(2023秋·全国·九年级专题练习)已知 、 , 满足等式: , 则 . 48.(2023秋·湖南长沙·九年级长沙市南雅中学校考开学考试)已知关于x的一元二次方程 . (1)求证:方程有两个不相等的实数根; (2)如果方程的两实根为 ,且 ,求m的值. 49.(2023春·浙江杭州·八年级校考阶段练习)关于x的一元二次方程 有两个不相 等实数根 , . (1)求实数k的取值范围; (2)若方程两实数根 , 满足 ,求k的值; (3)已知方程的一个根为 ,求代数式 的值.50.(2023秋·福建泉州·九年级校考开学考试)已知关于 的一元二次方程 . (1)求证:此方程总有两个不相等的实数根; (2)设方程的两个实数根为 , 请解答下列问题: ①若 , ,求 的取值范围; ②请判断 的值能否等于 ,若能,请求出此时 的值;若不能说明理由. 51.(2023秋·黑龙江哈尔滨·九年级哈尔滨市第六十九中学校校考开学考试)阅读材料: 材料1:关于x的一元二次方程 的两个实数根 , 和系数 , , ,有如下关系: , . 材料2:已知一元二次方程 的两个实数根分别为 , ,求 的值. 解: , 是一元二次方程 的两个实数根, , , 则 . 根据上述材料,结合你所学的知识,完成下列问题: (1)应用:一元二次方程 的两个实数根为 , ,则 ________, ________. (2)类比:已知一元二次方程 的两个实数根为 , ,求 的值. 易错必考题八、一元二次方程与几何动点问题52.(2023秋·全国·九年级专题练习)如图,在 中, , , ,点P从点A 开始沿 边向点B以 的速度移动,点Q从点B开始沿 向点C以 的速度移动,当点Q到 达点C时,P,Q均停止运动,若 的面积等于 ,则运动时间为( ) A.1秒 B.4秒 C.1秒或4秒 D.1秒或 秒 53.(2023秋·全国·九年级专题练习)如图,矩形 中, , ,动点E从A出发, 以 的速度沿 向B运动,动点F从C出发,以 的速度沿着CD向D运动,当点E到达点B时, 两个点同时停止.则 的长为 时点E的运动时间是( ) A. B. C. 或 D. 54.(2023春·八年级单元测试)如图,在 中, , , ,动点 由点 出发沿 方向向点 匀速移动,速度为 ,动点 由点 出发沿 方向向点 匀速移动,速度为 .动点 , 同时从 , 两点出发,当 的面积为 时,动点 , 的运动时间为 . 55.(2023春·安徽·八年级期中)如图,在 中, , , ,点P从A点出发,沿射线 方向以1cm/s的速度移动,点Q从B点出发,沿射线 方向以4cm/s的速度移动. (1) ; (2)如果P、Q两点同时出发,问:经过 秒后 的面积等于 . 56.(2023春·云南昆明·八年级校考阶段练习)如图,在矩形 中, , ,点P 从点A出发,以每秒 个单位长度的速度沿 方向运动,点Q从点C出发,以每秒2个单位长度的速度 沿对角线 方向运动.已知P,Q两点同时出发,当点Q到达点A时,P,Q两点同时停止运动,连接 .设运动时间为t秒. (1) ______, ______. (2)当t为何值时, 的面积为 . (3)是否存在某一时刻t,使 是以 为底边的等腰三角形?如果存在,求出t值,如果不存在,请说 明理由. 57.(2022秋·广西桂林·九年级桂林市第一中学统考期中)在长方形 中, , ,点 从点 开始沿边 向终点 以 的速度移动,与此同时,点 从点 开始沿 向终点 以 的 速度移动,如果 , 分别从 , 同时出发,当点 运动到点 时,两点停止运动.设运动时间为 秒.(1)填空: , __________ (用含 的代数式表示); (2)当 为何值时, 的长度等于 ? (3)是否存在 的值,使得五边形 的面积等于 ?若存在,请求出此时 的值,若不存在,请说 明理由. 易错必考题九、一元二次方程中的营销问题 58.(2022秋·山西临汾·九年级统考期末)品山西风味,享三晋美食,就在司徒小镇,十一假期某特色杂 粮面店为扩大销售,增加盈利,计划降价销售,该杂粮面店的成本价为每碗4元,若每碗卖18元,平均每 天将销售200碗,若价格每降低1元,则平均每天多销售20碗,为维护城市形象,店家现规定每碗售价不 得超过15元,若每天盈利2800元,则每碗售价应为( ) A.15元 B.14元 C.13元 D.12元 59.(2023春·八年级课时练习)某网店销售运动鞋,若每双盈利40元,每天可以销售20双,该网店决定 适当降价促销,经调查得知,每双运动鞋每降价1元,每天可多销售2双,若想每天盈利1200元,并尽可 能让利于顾客,赢得市场,则每双运动鞋应降价( ) A.10元或20元 B.20元 C.5元 D.5元或10元 60.(2023秋·福建泉州·九年级校考开学考试)《安徽省电动自行车管理条例》自2023年3月1日起施行. 《条例》规定,驾驶人和搭载人应当规范佩戴安全头盔,同时,针对不规范佩戴安全头盔提出具体的处罚 标准.某商店以每件 元的价格购进一批安全头盔,经市场调研发现,该头盔每周销售量 (件)与销售单价 (元/件)满足一次函数 ,物价部门规定每件头盔的利润不能超过进价的 .若商店 计划每周销售该头盔获利 元,则每件头盔的售价应为 元. 61.(2023秋·全国·九年级专题练习)端午节又称端阳节,是中华民族重要的传统节日,我国各地都有吃 粽子的习俗,某超市以9元每袋的价格购进一批粽子,根据市场调查,售价定为每袋15元,每天可售出 200袋;若售价每降低1元,则可多售出70袋,问此种粽子售价降低多少元时,超市每天售出此种粽子的 利润可达到1360元?若设每袋粽子售价降低x元,则可列方程为 . 62.(2023春·安徽池州·八年级统考期中)威宁火腿是贵州的传统特产,距今已有600多年的历史,早就 闻名海内外.某火腿经销商统计了某款威宁火腿4月份到6月份的销售量,该款火腿4月份销售量为 ,6月份销售量为 ,且从4月份到6月份销售量的月增长率相同. (1)求该款火腿销售量的月增长率; (2)若该款火腿的进价为120元 ,经在市场中测算,当售价为160元 时,月销售量为 ,若在此 基础上售价每上涨0.5元 ,则月销售量将减少 ,为使月销售利润达到9800元,则该款火腿的实际售 价应定为多少?(利润=售价-进价) 63.(2023春·江苏泰州·八年级统考期末)端午节前夕,某超市从厂家分两次购进蛋黄粽子、红豆粽子, 两次进货时,两种粽子的进价不变.第一次购进蛋黄粽子60袋和红豆粽子90袋,总费用为4800元;第二 次购进蛋黄粽子40袋和红豆粽子80袋,总费用为3600元. (1)求蛋黄粽子、红豆粽子每袋的进价各是多少元? (2)当蛋黄粽子销售价为每袋70元时;每天可售出20袋,为了促销,该超市决定对蛋黄粽子进行降价销售. 经市场调研,若每袋的销售价每降低1元,则每天的销售量将增加5袋.当蛋黄粽子每袋的销售价为多少 元时,每天售出蛋黄粽子所获得的利润为220元?易错必考题十、一元二次方程中的新定义问题 64.(2023春·重庆沙坪坝·九年级重庆一中校考期中)对于代数式 、 ,定义新运算 ,则下列说法正确的个数为( ) ①若 ,则 或1; ②若 ,则 的值为3或 ; ③若方程 的解为 、 ,则 的值为 ; ④若关于 的方程 有两个不相等的实数解,则 . A.1 B.2 C.3 D.4 65.(2023·山东淄博·校考二模)定义 表示不超过实数x的最大整数,如 , , . 函数 的图像(部分)如图所示,则方程 有( )个解. A.4 B.3 C.2 D.1 66.(2023·广东·二模)定义新运算“※”:对于实数 , , , ,有 ,其中等 式右边是通常的加法和乘法运算,如: .若关于 的方程 有两个相等的实数根,则 的值是 .67.(2023秋·全国·九年级专题练习)【阅读材料】配方法是数学中重要的一种思想方法.它是指将一个 式子的某一部分通过恒等变形化为完全平方式或几个完全平方式的和的方法.这种方法常被用到代数式的 变形中,并结合非负数的意义来解决一些问题. 我们定义:一个整数能表示成 (a、b是整数)的形式,则称这个数为“完美数”.例如,5是“完 美数”.理由:因为 ,所以5是“完美数”. (1)【解决问题】 数11 “完美数”(填“是”或“不是”);数53 “完美数”(填“是”或“不是”); (2)【探究问题】 已知 ,则 ; (3)【拓展提升】 已知 (x、y是整数,k是常数),要使S为“完美数”,试求出符合条件的k值, 并说明理由. 68.(2022秋·八年级单元测试)对于m,n,定义:若 ,则称m与n是关于1的“对称数”. (1)填空:7与______是关于1的“对称数”; 与______是关于1的“对称数”; (2)已知 ,其中a,b均为常数,且无论x取何值,A与B都是关于1的 “对称数”,求a,b的值; (3)若 ,且C与D是关于1的“对称数”,求满足条件的x的值.