当前位置:首页>文档>清单08锐角三角函数(8个考点梳理+题型解读+核心素养提升+中考聚焦)(解析版)_初中数学人教版_9上-初中数学人教版_06习题试卷_7期中期末复习专题

清单08锐角三角函数(8个考点梳理+题型解读+核心素养提升+中考聚焦)(解析版)_初中数学人教版_9上-初中数学人教版_06习题试卷_7期中期末复习专题

  • 2026-05-02 05:38:13 2026-03-28 10:17:02

文档预览

清单08锐角三角函数(8个考点梳理+题型解读+核心素养提升+中考聚焦)(解析版)_初中数学人教版_9上-初中数学人教版_06习题试卷_7期中期末复习专题
清单08锐角三角函数(8个考点梳理+题型解读+核心素养提升+中考聚焦)(解析版)_初中数学人教版_9上-初中数学人教版_06习题试卷_7期中期末复习专题
清单08锐角三角函数(8个考点梳理+题型解读+核心素养提升+中考聚焦)(解析版)_初中数学人教版_9上-初中数学人教版_06习题试卷_7期中期末复习专题
清单08锐角三角函数(8个考点梳理+题型解读+核心素养提升+中考聚焦)(解析版)_初中数学人教版_9上-初中数学人教版_06习题试卷_7期中期末复习专题
清单08锐角三角函数(8个考点梳理+题型解读+核心素养提升+中考聚焦)(解析版)_初中数学人教版_9上-初中数学人教版_06习题试卷_7期中期末复习专题
清单08锐角三角函数(8个考点梳理+题型解读+核心素养提升+中考聚焦)(解析版)_初中数学人教版_9上-初中数学人教版_06习题试卷_7期中期末复习专题
清单08锐角三角函数(8个考点梳理+题型解读+核心素养提升+中考聚焦)(解析版)_初中数学人教版_9上-初中数学人教版_06习题试卷_7期中期末复习专题
清单08锐角三角函数(8个考点梳理+题型解读+核心素养提升+中考聚焦)(解析版)_初中数学人教版_9上-初中数学人教版_06习题试卷_7期中期末复习专题
清单08锐角三角函数(8个考点梳理+题型解读+核心素养提升+中考聚焦)(解析版)_初中数学人教版_9上-初中数学人教版_06习题试卷_7期中期末复习专题
清单08锐角三角函数(8个考点梳理+题型解读+核心素养提升+中考聚焦)(解析版)_初中数学人教版_9上-初中数学人教版_06习题试卷_7期中期末复习专题
清单08锐角三角函数(8个考点梳理+题型解读+核心素养提升+中考聚焦)(解析版)_初中数学人教版_9上-初中数学人教版_06习题试卷_7期中期末复习专题
清单08锐角三角函数(8个考点梳理+题型解读+核心素养提升+中考聚焦)(解析版)_初中数学人教版_9上-初中数学人教版_06习题试卷_7期中期末复习专题
清单08锐角三角函数(8个考点梳理+题型解读+核心素养提升+中考聚焦)(解析版)_初中数学人教版_9上-初中数学人教版_06习题试卷_7期中期末复习专题
清单08锐角三角函数(8个考点梳理+题型解读+核心素养提升+中考聚焦)(解析版)_初中数学人教版_9上-初中数学人教版_06习题试卷_7期中期末复习专题
清单08锐角三角函数(8个考点梳理+题型解读+核心素养提升+中考聚焦)(解析版)_初中数学人教版_9上-初中数学人教版_06习题试卷_7期中期末复习专题
清单08锐角三角函数(8个考点梳理+题型解读+核心素养提升+中考聚焦)(解析版)_初中数学人教版_9上-初中数学人教版_06习题试卷_7期中期末复习专题
清单08锐角三角函数(8个考点梳理+题型解读+核心素养提升+中考聚焦)(解析版)_初中数学人教版_9上-初中数学人教版_06习题试卷_7期中期末复习专题
清单08锐角三角函数(8个考点梳理+题型解读+核心素养提升+中考聚焦)(解析版)_初中数学人教版_9上-初中数学人教版_06习题试卷_7期中期末复习专题
清单08锐角三角函数(8个考点梳理+题型解读+核心素养提升+中考聚焦)(解析版)_初中数学人教版_9上-初中数学人教版_06习题试卷_7期中期末复习专题
清单08锐角三角函数(8个考点梳理+题型解读+核心素养提升+中考聚焦)(解析版)_初中数学人教版_9上-初中数学人教版_06习题试卷_7期中期末复习专题
清单08锐角三角函数(8个考点梳理+题型解读+核心素养提升+中考聚焦)(解析版)_初中数学人教版_9上-初中数学人教版_06习题试卷_7期中期末复习专题
清单08锐角三角函数(8个考点梳理+题型解读+核心素养提升+中考聚焦)(解析版)_初中数学人教版_9上-初中数学人教版_06习题试卷_7期中期末复习专题
清单08锐角三角函数(8个考点梳理+题型解读+核心素养提升+中考聚焦)(解析版)_初中数学人教版_9上-初中数学人教版_06习题试卷_7期中期末复习专题
清单08锐角三角函数(8个考点梳理+题型解读+核心素养提升+中考聚焦)(解析版)_初中数学人教版_9上-初中数学人教版_06习题试卷_7期中期末复习专题
清单08锐角三角函数(8个考点梳理+题型解读+核心素养提升+中考聚焦)(解析版)_初中数学人教版_9上-初中数学人教版_06习题试卷_7期中期末复习专题
清单08锐角三角函数(8个考点梳理+题型解读+核心素养提升+中考聚焦)(解析版)_初中数学人教版_9上-初中数学人教版_06习题试卷_7期中期末复习专题
清单08锐角三角函数(8个考点梳理+题型解读+核心素养提升+中考聚焦)(解析版)_初中数学人教版_9上-初中数学人教版_06习题试卷_7期中期末复习专题
清单08锐角三角函数(8个考点梳理+题型解读+核心素养提升+中考聚焦)(解析版)_初中数学人教版_9上-初中数学人教版_06习题试卷_7期中期末复习专题
清单08锐角三角函数(8个考点梳理+题型解读+核心素养提升+中考聚焦)(解析版)_初中数学人教版_9上-初中数学人教版_06习题试卷_7期中期末复习专题
清单08锐角三角函数(8个考点梳理+题型解读+核心素养提升+中考聚焦)(解析版)_初中数学人教版_9上-初中数学人教版_06习题试卷_7期中期末复习专题
清单08锐角三角函数(8个考点梳理+题型解读+核心素养提升+中考聚焦)(解析版)_初中数学人教版_9上-初中数学人教版_06习题试卷_7期中期末复习专题
清单08锐角三角函数(8个考点梳理+题型解读+核心素养提升+中考聚焦)(解析版)_初中数学人教版_9上-初中数学人教版_06习题试卷_7期中期末复习专题
清单08锐角三角函数(8个考点梳理+题型解读+核心素养提升+中考聚焦)(解析版)_初中数学人教版_9上-初中数学人教版_06习题试卷_7期中期末复习专题
清单08锐角三角函数(8个考点梳理+题型解读+核心素养提升+中考聚焦)(解析版)_初中数学人教版_9上-初中数学人教版_06习题试卷_7期中期末复习专题
清单08锐角三角函数(8个考点梳理+题型解读+核心素养提升+中考聚焦)(解析版)_初中数学人教版_9上-初中数学人教版_06习题试卷_7期中期末复习专题
清单08锐角三角函数(8个考点梳理+题型解读+核心素养提升+中考聚焦)(解析版)_初中数学人教版_9上-初中数学人教版_06习题试卷_7期中期末复习专题
清单08锐角三角函数(8个考点梳理+题型解读+核心素养提升+中考聚焦)(解析版)_初中数学人教版_9上-初中数学人教版_06习题试卷_7期中期末复习专题
清单08锐角三角函数(8个考点梳理+题型解读+核心素养提升+中考聚焦)(解析版)_初中数学人教版_9上-初中数学人教版_06习题试卷_7期中期末复习专题
清单08锐角三角函数(8个考点梳理+题型解读+核心素养提升+中考聚焦)(解析版)_初中数学人教版_9上-初中数学人教版_06习题试卷_7期中期末复习专题
清单08锐角三角函数(8个考点梳理+题型解读+核心素养提升+中考聚焦)(解析版)_初中数学人教版_9上-初中数学人教版_06习题试卷_7期中期末复习专题
清单08锐角三角函数(8个考点梳理+题型解读+核心素养提升+中考聚焦)(解析版)_初中数学人教版_9上-初中数学人教版_06习题试卷_7期中期末复习专题
清单08锐角三角函数(8个考点梳理+题型解读+核心素养提升+中考聚焦)(解析版)_初中数学人教版_9上-初中数学人教版_06习题试卷_7期中期末复习专题
清单08锐角三角函数(8个考点梳理+题型解读+核心素养提升+中考聚焦)(解析版)_初中数学人教版_9上-初中数学人教版_06习题试卷_7期中期末复习专题
清单08锐角三角函数(8个考点梳理+题型解读+核心素养提升+中考聚焦)(解析版)_初中数学人教版_9上-初中数学人教版_06习题试卷_7期中期末复习专题
清单08锐角三角函数(8个考点梳理+题型解读+核心素养提升+中考聚焦)(解析版)_初中数学人教版_9上-初中数学人教版_06习题试卷_7期中期末复习专题
清单08锐角三角函数(8个考点梳理+题型解读+核心素养提升+中考聚焦)(解析版)_初中数学人教版_9上-初中数学人教版_06习题试卷_7期中期末复习专题
清单08锐角三角函数(8个考点梳理+题型解读+核心素养提升+中考聚焦)(解析版)_初中数学人教版_9上-初中数学人教版_06习题试卷_7期中期末复习专题
清单08锐角三角函数(8个考点梳理+题型解读+核心素养提升+中考聚焦)(解析版)_初中数学人教版_9上-初中数学人教版_06习题试卷_7期中期末复习专题
清单08锐角三角函数(8个考点梳理+题型解读+核心素养提升+中考聚焦)(解析版)_初中数学人教版_9上-初中数学人教版_06习题试卷_7期中期末复习专题
清单08锐角三角函数(8个考点梳理+题型解读+核心素养提升+中考聚焦)(解析版)_初中数学人教版_9上-初中数学人教版_06习题试卷_7期中期末复习专题
清单08锐角三角函数(8个考点梳理+题型解读+核心素养提升+中考聚焦)(解析版)_初中数学人教版_9上-初中数学人教版_06习题试卷_7期中期末复习专题
清单08锐角三角函数(8个考点梳理+题型解读+核心素养提升+中考聚焦)(解析版)_初中数学人教版_9上-初中数学人教版_06习题试卷_7期中期末复习专题
清单08锐角三角函数(8个考点梳理+题型解读+核心素养提升+中考聚焦)(解析版)_初中数学人教版_9上-初中数学人教版_06习题试卷_7期中期末复习专题
清单08锐角三角函数(8个考点梳理+题型解读+核心素养提升+中考聚焦)(解析版)_初中数学人教版_9上-初中数学人教版_06习题试卷_7期中期末复习专题
清单08锐角三角函数(8个考点梳理+题型解读+核心素养提升+中考聚焦)(解析版)_初中数学人教版_9上-初中数学人教版_06习题试卷_7期中期末复习专题
清单08锐角三角函数(8个考点梳理+题型解读+核心素养提升+中考聚焦)(解析版)_初中数学人教版_9上-初中数学人教版_06习题试卷_7期中期末复习专题
清单08锐角三角函数(8个考点梳理+题型解读+核心素养提升+中考聚焦)(解析版)_初中数学人教版_9上-初中数学人教版_06习题试卷_7期中期末复习专题
清单08锐角三角函数(8个考点梳理+题型解读+核心素养提升+中考聚焦)(解析版)_初中数学人教版_9上-初中数学人教版_06习题试卷_7期中期末复习专题
清单08锐角三角函数(8个考点梳理+题型解读+核心素养提升+中考聚焦)(解析版)_初中数学人教版_9上-初中数学人教版_06习题试卷_7期中期末复习专题
清单08锐角三角函数(8个考点梳理+题型解读+核心素养提升+中考聚焦)(解析版)_初中数学人教版_9上-初中数学人教版_06习题试卷_7期中期末复习专题

文档信息

文档格式
docx
文档大小
3.210 MB
文档页数
56 页
上传时间
2026-03-28 10:17:02

文档内容

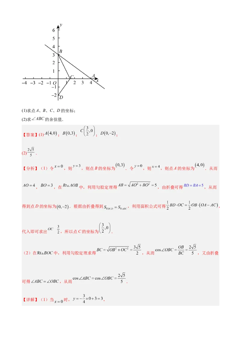
清单 08 锐角三角函数(8 个考点梳理+题型解读 +核心素养提升+中考聚焦) 【知识导图】 【知识清单】 考点一、锐角三角函数的定义 在Rt△ABC中,∠C=90°,AB=c,BC=a,AC=b, 正弦:sinA= ;余弦:cosA= ;正切:tanA= .根据定义求三角函数值时,一定根据题目图形来理解,严格按照三角函数的定义求解,有时需要通过辅助 线来构造直角三角形. 注意:正弦、余弦、正切是在一个直角三角形中引入的,实际上是两条边的比,它们是正实数,没单位, 其大小只与角的大小有关,而与所在直角三角形无关。 【例1】(2022·上海徐汇·九年级期末)如图,在 中, ,CD、CE分别是斜边AB上的高 和中线,下列结论不一定成立的是( ) A. B. C. D. 【答案】B 【分析】根据 , , 的余角相等即可判断A,根据直角三角形斜边上的中线等于斜 边的一半,即 ,可得 ,则 ,即可判断 B选项,根据A选项可得 ,即 ,即可判断C,根据 ,可得 , ,即可判断D选项. 【详解】解: , , 故A选项正确,不符合题意; CD、CE分别是斜边AB上的高和中线, , 故B选项不正确,符合题意;,即 , 故C选项正确,不符合题意; ,即 , 又 故D选项正确,不符合题意. 故选B. 【点睛】本题考查了三角形中线,高线,直角三角形斜边上的中线等于斜边的一半,锐角三角函数,找出 图中相等的角是解题的关键. 【变式1】(2022·甘肃·西和县汉源镇初级中学九年级期末)如图,CD是Rt ABC斜边AB上的高,∠ACB =90°,AC=3,AD=2,则sinB的值是( ) △ A. B. C. D. 【答案】A 【分析】将求sinB的值转化为求sin∠ACD的值,然后根据角的正弦值与三角形边的关系,求角的正弦值. 【详解】解:∵CD是Rt ABC斜边AB上的高,∠ACB=90° ∴∠B+∠BCD=90°,∠A△CD+∠BCD=90° ∴∠B=∠ACD. ∴sinB=sin∠ACD=AD:AC=2:3. 故选:A. 【点睛】本题利用了锐角三角函数的概念和在直角三角形中,同角的余角相等而求解.【变式2】.(2022·河南·油田十中九年级期末)如图,由边长为1的小正方形构成的网格中,点A,B,C 都在格点上,以 为直径的圆经过点C,D,则 的值为( ) A. B. C. D. 【答案】D 【分析】首先根据圆周角定理的推论可知, ,然后在 中,根据锐角三角函数的定 义求出 的正弦值. 【详解】解:如图,连接 、 . 和 所对的弧长都是 , 根据圆周角定理的推论知, . 在 中,根据锐角三角函数的定义知, , , , , , . 故选:D. 【点睛】本题考查了圆周角定理的推论,解直角三角形,勾股定理,锐角三角函数的定义,解答本题的关 键是利用圆周角定理的推论把求 的正弦值转化成求 的正弦值,本题是一道比较不错的习题.考点二、特殊角的三角函数值 α sinα cosα tanα 30° 45° 1 60° 【例2】(2022·广西·平果市教研室九年级期末)计算: . 【答案】 【分析】分别计算负指数幂、三角函数值、根式化简、去绝对值,然后计算即可. 【详解】解:原式= = = = = 【点睛】本题考查了与负指数幂、特殊角三角函数值、二次根式化简、绝对值化简相关的实数混合运算, 熟练掌握相关知识并正确运算是解题关键. 【变式1】(2022·四川乐山·九年级期末)在 中,若 , , 都是锐 角,则 是______三角形. 【答案】等边 【分析】根据非负数的性质分别求出∠A和∠B,继而可判断 的形状. 【详解】解:∵ , ∴ , ,∴ , , ∴∠A=60°,∠B=60°, ∴ 是等边三角形. 故答案为:等边. 【点睛】本题考查特殊角的三角函数值,非负数的性质,等边三角形的判断,解题关键是熟记特殊角的三 角函数值. 【变式2】(2022·甘肃·西和县汉源镇初级中学九年级期末)计算: 【答案】-3 【分析】根据特殊角的三角函数值、二次根式的性质及负指数幂运算法则进行计算,再合并即可. 【详解】解:原式= = = =-3 【点睛】本题主要考查了实数的运算、特殊角的三角函数值、二次根式的性质及负指数幂,解决本题的关 键是熟练掌握相关实数运算的法则. 考点三、解直角三角形 1.在直角三角形中,除直角外,一共有五个元素,即三条边和两个锐角,由直角三角形中除直角外的已 知元素求出所有未知元素的过程叫做解直角三角形. 2.解直角三角形的常用关系:在Rt△ABC中,∠C=90°,则: (1)三边关系:a2+b2=c2; (2)两锐角关系:∠A+∠B=90°; (3)边与角关系:sinA=cosB= ,cosA=sinB= ,tanA= ; (4)sin2A+cos2A=1. 3.科学选择解直角三角形的方法口诀:已知斜边求直边,正弦、余弦很方便;已知直边求直边,理所当然用正切; 已知两边求一边,勾股定理最方便;已知两边求一角,函数关系要记牢; 已知锐角求锐角,互余关系不能少;已知直边求斜边,用除还需正余弦. 【例3】(2022·黑龙江牡丹江·九年级期末)如图,延长等腰 斜边 到 ,使 ,连接 ,则 的值为( ) A. B.1 C. D. 【答案】A 【分析】过点D作DE垂直于CB的延长线于点E,设AC=BC=a,根据勾股定理得 ,由等腰直角 三角形的性质得∠ABC=∠BAC=45°,从而得 ,在Rt△BDE中,解直角三角形得DE=2a, BE=2a,进而求得CE=BC+BE=3a即可求得 . 【详解】解:过点D作DE垂直于CB的延长线于点E,如下图, 设AC=BC=a, ∵AC⊥BC,AC=BC=a, ∴ ,∠ABC+∠BAC=90°,∠ABC=∠BAC, ∴∠ABC=∠BAC=45°, , ∴∠DBE=∠ABC=45°,∵DE⊥CE, ∴DE= ,BE= , ∴CE=BC+BE=3a, ∴ , 故选:A. 【点睛】本题主要考查了勾股定理,等腰直角三角形的性质,解直角三角形,熟练解直角三角形是解题的 关键. 【变式】(2022·内蒙古赤峰·九年级期末)如图,把一个量角器与一块30°( )角的三角板拼 在一起,三角板的斜边AB与量角器所在圆的直径MN重合,现有点P恰好是量角器的半圆弧中点,连结 CP.若BC=4,则CP的长为( ) A. B. C. D. 【答案】C 【分析】如图,记CP与AB的交点为H,过H作 于I,作 于J, 在量角器所在的半圆 Q上,而P为 的中点,可得 设 则 求解 可得CH,同理可得PH,从而可得答案. 【详解】解:如图,记CP与AB的交点为H,过H作 于I,作 于J,∵ 为半圆的直径, ∴ 在量角器所在的半圆Q上,而P为 的中点, ∴ ∵ ∴ 设 则 ∴ 解得: ∴ 同理可得: ∴ 同理可得: 而 ∴ ∴ 故答案为: C 【点睛】本题考查的是二次根式的混合运算,圆周角定理的应用,解直角三角形,理解题意,证明 在量 角器所在的半圆Q上是解本题的关键. 考点四、仰角和俯角 仰角:在视线与水平线所成的角中,视线在水平线上方的角叫做仰角. 俯角:在视线与水平线所成的角中,视线在水平线下方的角叫做俯角. 【例4】(2022·江苏淮安·九年级期末)如图是某路灯在铅垂面内的示意图,灯柱BC的高为10米,灯柱 BC与灯杆AB的夹角为120°.路灯采用锥形灯罩,在地面上的照射区域DE的长为13.3米,从D、E两处 测得路灯A的仰角分别为α和45°,且tanα=6.求灯杆AB的长度.【答案】灯杆AB的长度为2.8米. 【分析】过点A作AF⊥CE,交CE于点F,过点B作BG⊥AF,交AF于点G,则FG=BC=10.设AF=x知EF =AF=x、DF= = ,由DE=13.3求得x=11.4,据此知AG=AF−GF=1.4,再求得∠ABG= ∠ABC−∠CBG=30°可得AB=2AG=2.8. 【详解】过点A作AF⊥CE,交CE于点F,过点B作BG⊥AF,交AF于点G,则FG=BC=10. 由题意得∠ADE=α,∠E=45°. 设AF=x. ∵∠E=45°, ∴EF=AF=x. 在Rt△ADF中,∵tan∠ADF= , ∴DF= = = , ∵DE=13.3, ∴x+ =13.3. ∴x=11.4. ∴AG=AF﹣GF=11.4﹣10=1.4. ∵∠ABC=120°, ∴∠ABG=∠ABC﹣∠CBG=120°﹣90°=30°.∴AB=2AG=2.8, 答:灯杆AB的长度为2.8米. 【点睛】本题主要考查解直角三角形−仰角俯角问题,解题的关键是结合题意构建直角三角形并熟练掌握 三角函数的定义及其应用能力. 【变式1】(2022·河南新乡·九年级期末)如图,小明同学在民族广场 处放风筝,风筝位于 处,风筝线 长为100m,从 处看风筝的仰角为30°,小明的父母从 处看风筝的仰角为50°.求 、 相距多少米? (参考数据: , , , ,结果精确到0.1m) 【答案】 【分析】如图,过 作 于 , ,在 中, , 求出 的值,在 中, ,求出 的值,然后根据 计 算求解即可. 【详解】解:如图,过 作 于 , ∴ , 在 中,∵ , ∴ , ∵ ,∴ , 在 中, , ∵ , ∴ , ∴ . 即A、C相距约 . 【点睛】本题考查了解直角三角形的应用.解题的关键在于根据三角函数值求 的值. 【变式2】(2022·湖南岳阳·九年级期末)如图: 聪聪的做法: 第一步:他在地面上B点处测得大树顶端的仰角为35°, 第二步:他继续向大树方向走8m到达D点时,又测得遮挡物E点的仰角为60°,(已知A、E、M三点共 线,聪聪的眼睛距地面的高度保持不变且为1.6m,遮挡物EF与大树MN的距离FN=6m,EF⊥BN, MN⊥BN,(B,D,F,N在同一水平线上). 第三步:计算出大树的高MN. 请你根据聪聪做法,计算出大树大概有多高?(结果精确到1m). (参考数据: , , , ) 【答案】15m 【分析】延长AC交EF于P,交MN于Q,则QN=AB=1.6m,PQ=FN=6m,由锐角三角函数的定义求得 ,设CP=xm,则 ,再由锐角三角函数得到 ,解得x=5.6,求得AQ,然后由锐角三角函数定义求出 的长即可求解. 【详解】解:延长AC交EF于P,交MN于Q,如图所示: 则QN=AB=1.6m,PQ=FN=6m, 在Rt ECP中,∠ECP=60°, , △ ∴ , 设CP=xm,则 , ∴ , , ∵ , ∴ , 解得:x=5.6, ∴AQ=19.6m, ∵ , ∴ , ∴ , 答:大树的高MN约为15m. 【点睛】本题考查了解直角三角形的应用,仰角俯角问题及锐角三角函数定义,正确地作出辅助线构造直 角三角形求解是解题的关键. 考点五、坡度和坡角坡度:坡面的铅直高度h和水平宽度l的比叫做坡面的坡度(或坡比),记作i= . 坡角:坡面与水平面的夹角叫做坡角,记作α,i=tanα.坡度越大,α角越大,坡面越陡. 【例5】(2022·四川资阳·九年级期末)如图,在操场上的A处,测得旗杆顶端N点的仰角是 ,前进20 米后到达旗台的底端B处,测得旗杆顶端N点的仰角是 ,继续沿着坡比为 的斜坡BC上升到C处, 此时又测得旗杆顶端N点的仰角是 ,旗杆MN垂直于水平线AD,点A、B、D在同一直线上,CM// AD,求旗杆MN的高度. 【答案】MN 米 【分析】过点C作CE⊥AD于点E,先证CN=CB,令CM=x米,则CN=CB=2x米,MN 米,再由 锐角三角函数定义得出方程,解方程即可. 【详解】解:如图,过点C作CE⊥AD于点E, ∵CM∥AD,∠D=90°, ∴∠CMN=∠D=90°, ∵∠NCM=60°, ∴∠CNM=90°﹣∠NCM=30°, ∴CN=2CM, 又∵∠NBD=45°,∠D=90°, ∴∠BND=90°﹣∠NBD=45°, ∴∠BNC=15°, ∵BC的坡比为 CE:BE,∴tan∠CBE , ∴∠CBE=30°, ∴∠CBN=15°=∠BNC, ∴CN=CB, 令CM=x米,则CN=CB=2x米,MN 米, 又∵ , ∴CE CB=x(米),BE (米), ∴ND=MN+MD=MN+CE=( 1)x(米), ∵AB=20米, ∴AD=AB+BE+ED=AB+BE+CM=[20+(1 )x](米), 又∵∠A=30°, ∴ , 即 , 解得:x=10, 经检验,x=10是原方程的解,且符合题意, ∴MN 米, 答:旗杆MN的高度为 米.【点睛】本题考查了解直角三角形的应用—仰角俯角问题、坡度坡角问题,熟练掌握仰角俯角的定义和坡 度坡角的定义,正确作出辅助线是解题的关键. 【变式1】(2022·安徽·蚌埠市新城区实验学校九年级期末)如图,旗杆 竖立在斜坡 的顶端,斜坡 长为65米,坡度为 .小明从与点 相距115米的点 处向上爬12米到达建筑物 的顶端点 . 在此测得旗杆顶端点 的仰角为39°,求旗杆的高度 .(参考数据: , , ) 【答案】24.9 【分析】过点B作CD的垂线,设垂足为F,再过点E作EG⊥BF,垂足为G,依题意分别求出线段BF、 CF、DF、AG的长度,即可求得旗杆的高度AB. 【详解】解:过点B作CD的垂线,设垂足为F,再过点E作EG⊥BF,垂足为G,如图, ∵斜坡CB长为65米,坡度为i= , 设BF=12x,则CF=5x, ∴ , 解得x=5, ∴BF=60,CF=25, ∵DC=115, ∴EG=DF=115-25=90, 在 中, ,∴AG= , ∴AB=AG+FG-BF=72.9+12-60=24.9, 答:旗杆的高度AB为24.9米. 【点睛】本题考查了坡度的定义,锐角三角函数的定义,勾股定理的应用,解题的关键是准确作出辅助线, 构造直角三角形. 【变式2】(2022·山东威海·九年级期末)某风景管理区,为提高旅游安全性,决定将到达景点步行台阶的 倾角由45°改为30°,已知原台阶坡面AB长为5m(BC所在地面为水平面),调整后的台阶坡面为AD.求: (1)调整后的台阶坡面会加长多少? (2)调整后的台阶多占多长一段水平地面?(结果精确到0.1m,参考数据: , ) 【答案】(1)2.1m (2)2.6m 【分析】(1)先解直角 ABC求出AC的长,再解直角△ADC求出AD的长即可得到答案; (2)分别解直角三角形△求出CD,BC的长即可得到答案. (1)解:由题意得,∠ABC=45°,∠ACB=90°,∠ADC=30°,∴在Rt△ABC中, .∴在Rt△ADC中, .∴ ,答: 调整后的台阶坡面会加长2.1m; (2)解:在Rt△ADC中, ,在Rt△ABC中, ∴ .答:调整后的台阶多占水平地面2.6m. 【点睛】本题主要考查了解直角三角形的实际应用,正确理解题意是解题的关键. 考点六、方向角(或方位角) 指北或指南方向线与目标方向线所成的小于90°的水平角叫做方向角(或方位角).【例6】(2022·重庆·巴川初级中学校九年级期末)如图, 是湿地公园里的一条环形跑道, B在A的正南方.一天,李老师从起点A出发开始跑步,此时他发现公园中心塔C在他的东南方向,他以 每分钟80米的速度,沿AB方向跑了15分钟后到达健身跑道的B处,此时他发现公园中心塔C在他的南 偏东75°方向.(A,B,C在同一平面内,参考数据: , ) (1)求BC的长;(结果保留整数) (2)为了满足市民健身的要求,政府决定对健身跑道进行扩建.计划将跑道AB段继续向正南方向延伸至D 处,再将DC连接起来组成新的环形跑道.若在D处测得C在D的北偏东60°方向.若预计修建跑道的成 本为每米60元,政府拨付改建费20万元,则此次政府拨付改建费用是否足够?请通过计算说明理由. 【答案】(1)跑道BC的长为1697米 (2)此次改建费用足够,理由见解析 【分析】(1)作 构造直角三角形后,利用特殊角的三角函数求解即可. (2)先画出图形,再通过构造直角三角形进行求解,得出需要修建的跑道总长,计算出总费用进行比较 即可. 【详解】(1)由题意得: , , 米 过点B作 于点 , ∴ , 在 中, , ∴ ,在 中, , ∴ (米) 答:跑道BC的长为1697米. (2)如图,过点B作 于点G, ∴ , ∵ , ∴ ∴在 中, , ∴ ∴ , . 在 中, , ∴ , , ∴总道路长为 . ∴总共花费: . 答:此次改建费用足够.【点睛】本题考查了锐角三角函数的应用,解题关键是能正确理解题意,做出辅助线,构造直角三角形, 并解直角三角形. 【变式】(2022·安徽合肥·九年级期末)数学兴趣小组的成员在观察点A测得观察点B在A的正北方向, 古树C在A的东北方向;在B处测得C在B的南偏东63.5°的方向上,古树D在B的北偏东53°的方向上, 已知D在C正北方向上,即CD//AB,AC=50 米,求古树C、D之间的距离。(结果保留到0.1米,参考 数据: ≈1.41 ,sin63.5°≈0.89,cos63.5°≈0.45,tan63.5°≈2.00,sin53°≈0.80 ,cos53°≈0.60,tan53°≈1.32) 【答案】62.9米 【分析】过B作BE⊥CD于E,过C作CF⊥AB于F,根据矩形的性质得到BE=CF,CE=BF,解直角三角 形即可得到结论. 【详解】解:过B作BE⊥CD于E,过C作CF⊥AB于F,则四边形BFCE是矩形, ∴BE=CF,CE=BF, ∵∠CAF=45°,∠AFC=90°, ∴CF=AF= AC=50, ∵∠CBF=63.5°, ∴ (米), ∵CD∥AB, ∴∠D=53°, ∵∠BED=90°, ∴ (米), ∴CD=CE+DE=62.9(米), 答:古树C、D之间的距离约为62.9米. 【点睛】本题考查了解直角三角形的应用-方向角问题,正确的作出辅助线是解题的关键. 考点七、解直角三角形中“双直角三角形”的基本模型: 解题方法:这两种模型种都有一条公共的直角边,解题时,往往通过这条边为中介在两个三角形中依次求边,或通过公共边相等,列方程求解. 【例7】(2022秋·山东济南·九年级统考期末)如图,在 处测得点 在北偏东 方向上,在 处测得点 在北偏东 方向上,若 米,则点 到直线 距离 为( ). A. 米 B. 米 C. 米 D. 米 【答案】B 【分析】设点 到直线 距离 为 米,根据正切的定义用 表示出 、 ,根据题意列出方程,解 方程即可. 【详解】解:设点 到直线 距离 为 米, 在 中, , 在 中, , 由题意得, , 解得, (米 , 故选: . 【点睛】本题考查的是解直角三角形的应用,掌握锐角三角函数的定义、正确标注方向角是解题的关键. 【变式】.(2021春·浙江杭州·九年级期末)如图,某高速公路建设中需要测量某条江的宽度AB,飞机上 的测量人员在C处测得A、B两点的俯角分别为60°和45°.若飞机离地面的高度CO为900m,且点O,A, B在同一水平直线上,则这条江的宽度AB为_______.(结果保留根号)【答案】(900﹣300 )米 【分析】根据平行线的性质可得∠CAO=∠ACD=60°,∠B=∠BCD=45°,然后根据锐角三角函数求出AO 和OB,即可求出结论. 【详解】解:由于CD∥OB, ∴∠CAO=∠ACD=60°,∠B=∠BCD=45° 在Rt ACO中,∠CAO=60° ∴AO= =300 米, 在Rt OCB,∠B=45° ∴OB= =900(米). ∴AB=OB﹣OA =(900﹣300 )(米) 故答案为:(900﹣300 )米. 【点睛】本题考查了解直角三角形的应用——仰角、俯角问题,题目难度不大,解决本题的关键是利用锐 角三角函数求出AO和OB. 考点八、解直角三角形实际应用的一般步骤 (1)弄清题中名词、术语,根据题意画出图形,建立数学模型; (2)将条件转化为几何图形中的边、角或它们之间的关系,把实际问题转化为解直角三角形问题; (3)选择合适的边角关系式,使运算简便、准确; (4)得出数学问题的答案并检验答案是否符合实际意义,从而得到问题的解. 【例8】(2021·浙江·九年级期末)定义:三角形内部有一小三角形与原三角形相似,其中小三角形的三个 顶点在原三角形的三边上(顶点可重合),则称这两个三角形是星相似三角形例如:如图1, 中, , 和 是星相似三角形.如图2, 是 的中点,以 为直径画圆,交 , 于点 , , . (1)①若 ,求 的长.②设 , ,试写出 与 的函数关系式. (2)若 ,则 与哪个三角形星相似,并证明. (3)在(2)的条件下,求 的长. 【答案】(1)① ;② ;(2)△CEG与△FEC星相似,证明见解析;(3) . 【分析】(1)①利用勾股定理和等面积法即可求得CE,利用直角三角形斜边上的中线等于斜边的一半可 得CD,在利用勾股定理即可求得DE; ②证明△FOG∽△EDG,可得 ,再解直角三角形求得DE和FO,即可求得 与 的函数关系式; (2)根据直角三角形斜边上的中线等于斜边的一半和等边对等角可得∠BCE=∠CGE,从而可证明 △FEC∽△CEG,即△CEG与△FEC星相似; (3)可利用三角形外角的性质证明∠GCE=∠GDE,从而可得EC=ED=m,从而可得 , ,解直角三角形即可得出 . 【详解】解:(1)①在Rt△ABC中, , , ∴ , ∵D为AB的中点, ∴ , ∵ ,在Rt△ABC中, , 即 ,解得 , ∴ ; ②连接OF, ∵OF=OC, ∴∠DCB=∠OFC, 由①可得BD=CD, ∴∠DCB=∠B, ∴∠OFC=∠B, ∴△FOG∽△EDG, ∴ , ∵CB=x, ∴ , , ,,即 ,解得 , , ∴ ; (2)△CEG与△FEC星相似, 由(1)可知OF//CD, 又∵O为CD的中点, ∴OF为△CBD的中位线,F为BC的中点, ∵∠CEB=180°-∠CEA=90°, ∴ , ∴∠BCE=∠FEC, ∵CG=CE, ∴∠CGE=∠FEC, ∴∠BCE=∠CGE, ∵∠FEC=∠FEC, ∴△FEC∽△CEG, ∴△CEG与△FEC星相似; (3)∵CD=BD,BF=EF,∴∠B=∠FCD=∠DEG, ∵∠FCE=∠FCD+∠GCE,∠CGE=∠DEG+∠GDE, ∴∠GCE=∠GDE, ∴EC=ED,设CE=m,则DE=m, , , ,即 ,解得 . 【点睛】本题考查解直角三角形,相似三角形的性质和判定,勾股定理,直角三角形斜边上的中线和三角 形中位线定理等.熟练掌握相关定理,正确作出辅助线并能正确表示对应线段的长度是解题关键. 【变式】.(2022·江苏江苏·九年级期末)如图1,是手机支架的实物图,图2是它的侧面示意图,其中 长为 , 长为 , , . (1)点D到 的距离为_____ ; (2)求点D到 的距离. 【答案】(1)6 (2)【分析】(1)过点D作 于F,则点D到 的距离为DF的长度,根据题意得到 , 设 ,在 中, ,利用勾股定理即可求得答案; (2)过点B作 于B,过点D作 于H,过点D作 于F,过点D作 于G,则四边形DFBH是矩形,点D到 的距离是DG的长度,先证DF是BC的垂直平分线,又得 ,可证四边形GHBF是正方形,即可得到 ,设 ,则 ,在 中, 利用勾股定理得出 ,在 中,再利用锐角三角函数得出 长度,即点D到 的距 离. (1)解:过点D作 于F 则点D到 的距离为DF的长度 设 在 中, 即点D到 的距离为6cm故答案为:6; (2)过点B作 于B,过点D作 于H,过点D作 于F,过点D作 于G 则四边形DFBH是矩形,点D到 的距离是DG的长度由(1)得DF是BC的垂直平分线 四边形GHBF是正方形 设 ,则 在 中, 在 中, 所以,点D到 的距离为 . 【点睛】本题考查等腰直角三角形的性质、勾股定理、矩形的判定和性质、正方形的判定和性质、垂直平 分线的判定和性质及解直角三角形,熟练掌握以上知识点是解题的关键. 【核心素养提升】 1.直观想象-通过画函数图象解决三角函数问题 1.(2023上·山东东营·九年级校考期末)如图,一块含有 的直角三角板的直角顶点和坐标原点O重合, 角的顶点A在反比例函数 的图象上,顶点B在反比例函数 的图象上,则k的值为 . 【答案】 【分析】过 作 于点 ,过 作 于点 ,即可得证 ,再根据相似三角形的 性质得到 和利用特殊角的正切值得出 ,然后设点 的坐标为 ,继而根据反 比例函数图像上点的特征得到 ,再次利用反比例函数图像上点的特征即可求得答案. 【详解】解:过 作 于点 ,过 作 于点 ,如图:∴ , ∵ , ∴ , ∴ , ∴ , ∴ , ∵ , ∴ , ∴ , ∴设点 的坐标为 ,则 , ∴ , , ∴ , ∵ 在反比例函数 的图象上, ∴ , ∵点 在反比例函数 的图象上, ∴ . 故答案是: 【点睛】本题考查了反比例函数图像上点的坐标特征、相似三角形的判定和性质、特殊的锐角三角函数值,能够求得 是解题的关键. 2.(2023上·河北石家庄·九年级校考期中)如图,在平面直角坐标系中点 点 的坐标分别为 , ,将三角形 沿着 折叠,点 落在点 处,求过点 的反比例函数表达式 . 【答案】 【分析】本题考查待定系数法求反比例函数解析式,涉及对称变换,锐角三角函数,勾股定理及应用等知 识, 设 交 于 ,过 作 轴于 ,求出 , ,根 据将三角形 沿着 折叠,点 落在点 处,有 , ,故 ,知 ,而 ,可得 ,有 ,得 , ,可求得 , ,再用待定系数法可得答案. 【详解】解:设 交 于 ,过 作 轴于 ,如图: , , , ,, , 将三角形 沿着 折叠,点 落在点 处, , , , , , , , , , , , 解得 , , , , 设过点 的反比例函数表达式为 ,则 ; 故答案为: . 3.(2022上·黑龙江大庆·八年级校考期末)如图,直线 与x轴交于点A,与y轴交于点B,把 沿着过点B的某条直线折叠,使点A落在y轴负半轴上的点D处,折痕与x轴交于点C.(1)求点A、B、C、D的坐标; (2)求 的余弦值. 【答案】(1) ; ; ; ; (2) . 【分析】(1)令 ,则 ,则点B的坐标为 .令 ,则 ,则点A的坐标为 .从而 , ,在 中,利用勾股定理得 ,由折叠可得 ,从而 得到点D的坐标为 .根据由折叠得到 ,利用面积公式可得 , 代入即可求出 ,所以点C的坐标为 . (2)在 中,利用勾股定理求得 ,从而 ,又由折叠 可得 ,从而 . 【详解】(1)当 时, ,∴点B的坐标为 ; 当 时, , 解得: , ∴点A的坐标为 ; ∴ , ∴在 中, , ∵由折叠可得 ,点B的坐标为 ,点B在点D的上方, ∴点D的坐标为 . ∵由折叠可知: , 即 , ∴ , ∴ , ∴点C的坐标为 . (2)∵在 中, , , , ∴ , ∴ , ∵由折叠可得 ∴ . 【点睛】本题考查折叠问题,直线与坐标轴的交点,勾股定理,锐角三角函数,熟练运用相关知识,利用数形结合是解题的关键. 2.数学运算-利用特殊角的三角函数值求值 4.(2022·安徽·桐城市第二中学九年级期末)已知 中,点 为 边上一点,则下列四个说法中, 一定正确的有( ) ①连接 ,若 为 中点,且 平分 ,则 ; ②若 ,且 ,则 ; ③若 ,且 ,则 ; ④若 , ,且 平分 ,则 的重心在 上. A.1个 B.2个 C.3个 D.4个 【答案】D 【分析】①根据三角形的中线性质,可得 ,再利用角平分线性质得到 ;②因为 根据直角三角形特殊三角函数值即可解答;③ ,且 ,根据三角形中的特殊 角的角边关系即可确定 ;④三角形重心在三角形中线上,根据等腰三角形三线合一可确定 为中线,故重心在 上. 【详解】①因为 为 中点,所以 ,又因为 平分 ,则点 到线段 、 的距离 相等,所以 ,故①正确; ②若 ,且 ,则 的正弦值为 ,则 ,故②正确; ③若 ,且 ,过点 作线段 的垂线段恰好与 重合,则 ,故③正确; ④若 , ,且 平分 ,根据三线合一, 为 边中线,则 的重心在 上. 故答案选D 【点睛】本题考查了三角形的中线性质,角平分线性质,特殊角三角行的角边关系,熟练掌握三角形的角 平分线性质,中线性质,灵活运用三角形角边关系是解题的关键. 5.(2022·河南南阳·九年级期末)在 ABC中,∠C=90°,AB= ,BC=1,则∠A的度数为( ) △ A. B. C. D. 【答案】B 【分析】直接利用已知画出直角三角形,再利用锐角三角函数关系得出答案.【详解】解:∵∠C=90°,AB= ,BC=1, ∴sinA= , ∴∠A=45°. 故选:B. 【点睛】此题主要考查了特殊角的三角函数值,正确记忆相关数据是解题关键. 6.(2022·吉林·东北师大附中明珠学校九年级期末)如图,在4×4的正方形网格中,每个小正方形的边长 为1.以点O为圆心,4为半径画弧,交图中网格线于点A、B,则弧AB的长为_______. 【答案】 【分析】先求出∠AOB,再求出根据所在的圆周长求出 的长 【详解】解:在方格中过点B作AO的垂线, 在构成的Rt 中 OC=2,OB=4 故= = 故答案为: 【点睛】本题考查了锐角三角函数实际应用,网格中圆弧的长度计算,构造直角三角形求出∠AOB的度数 是解题的关键. 7.(2022·江苏·扬州中学教育集团树人学校九年级期末)如果 ,那么锐角 的度数为________°. 【答案】30 【分析】根据特殊角的三角函数值可直接得出答案 【详解】解:∵ , ∴锐角A的度数为30°, 故答案为:30. 【点睛】本题考查了特殊角的三角函数值,熟记30°、45°、60°的三角函数值是解题的关键. 8.(2021·河北保定·九年级期末)随着科学技术的发展,机器人早已能按照设计的指令完成各种动作.在 坐标平面上,根据指令[S,α](S≥0,0°<α<180°)机器人能完成下列动作:先原地顺时针旋转角度α,再 朝其对面方向沿直线行走距离s. (1)如图,若机器人在直角坐标系的原点,且面对y轴的正方向,现要使其移动到点A(2,2),则给机 器人发出的指令应是什么; (2)机器人在完成上述指令后,发现在P(6,0)处有一小球正向坐标原点做匀速直线运动,已知小球滚 动的速度与机器人行走的速度相同,若忽略机器人原地旋转的时间,请你给机器人发一个指令,使它能最 快截住小球.(如图,点C为机器人最快截住小球的位置,角度精确到度;参考数据:sin49°≈0.75, cos37°≈0.80,tan37°≈0.75) 【答案】(1)[2 ,45°];(2)[2.5,98°]. 【分析】(1)求出∠AOB与OA的大小即可得解; (2)作AC=PC,设PC=x,则BC=4-x,根据勾股定理可以求得PC的值,然后根据锐角三角函数的定义可以得到∠DAC的值,从而得到答案. 【详解】解(1)作AB⊥x轴, ∵A(2,2), ∴OA=2 , ∴∠AOB=45°, ∴给机器人发的指令为:[2 ,45°]; (2)作AC=PC,设PC=x,则BC=4-x, 在Rt△ABC中: , 解得x=2.5, 又∵tan∠BAC= , ∴∠BAC=37°, ∵∠OAB=45°, ∴∠OAC=37°+45°=82°, ∴∠DAC=180°-82°=98°, ∴输入的指令为[2.5,98°]. 【点睛】本题考查新定义下的实数运算及旋转的综合应用,在给定的定义框架下利用勾股定理及锐角三角 函数求解是解题关键. 3.数学建模-构造含已知条件的直角三角形解决实际问题 9.(2022·内蒙古·乌海市第二中学九年级期末)如图,线段EF与MN表示某一段河的两岸,EF平行 MN.综合实践课上,同学们需要在河岸MN上测量这段河的宽度(EF与MN之间的距离),已知河对岸 EF上有建筑物C、D,且CD=30米,同学们首先在河岸MN上选取点A处,用测角仪测得C建筑物位于 A北偏东45°方向,再沿河岸走10米到达B处,测得D建筑物位于B北偏东55°方向,请你根据所测数据 求出该段河的宽度,(用非特殊角的三角函数或根式表示即可)【答案】 米 【分析】首先构造直角三角形,作 、 ,垂足为P、Q,则四边形CPQD为矩形, CD=PQ=30,设河宽CP为x,利用∠CAP=45°,得出AP=x,则BP= ,根据∠BDQ的正弦列出方程, 求出x即可表示出河宽. 【详解】解:如图,过C、D分别作 、 ,垂足为P、Q, 设河宽为x米. 由题可知, , , ∴ 为等腰直角三角形, ∴ , , ∵MN∥EF, 、 , ∴ , ∴四边形CPQD为矩形, ∴CD=PQ=30, 在 中, ∵ , ∴ , ∴ , ∴ , ∴ ,所以河宽为 米. 【点睛】本题考查解直角三角形的应用,方向角,三角函数,矩形的判定与性质,解题的关键是添加辅助 线构造直角三角形,利用三角函数的定义,列出方程解决问题. 4.转化思想 10.(2023•包河区三模)数学兴趣小组为了实地测量两岸互相平行的一段河的宽度,在河的南岸点 A处测 得河的北岸点B在其北偏东13°方向,然后向西走80米到达C点,测得点B在点C的北偏东53°方向, 求河宽.(结果精确到 0.1,参考数据 sin37°≈0.60,cos37°≈0.80,tan37°≈0.75,sin77°≈0.97, cos77°≈0.22,tan77°≈4.33) 【分析】过B作BD⊥CA于D,设AD=x米,则在Rt△ABD中得到BD=4.33x,在Rt△CBD中,得到 ,解方程即可. 【解答】解:过B作BD⊥CA于D,设AD=x米, 在Rt△ABD中,∵ ,即 , ∴BD=4.33x, 在Rt△CBD中, ∵ , 即 , ∴0.75(80+x)≈4.33x, 解得x≈16.76, ∴BD=4.33x=4.33×16.76≈72.6(米).答:河宽大约为72.6米. 【点评】此题考查了解直角三角形的应用,熟练掌握方向角、准确计算是解题的关键. 11.(2023•庐阳区校级三模)如图,灯塔B位于港口A的北偏东67.4°方向,灯塔C位于灯塔B的正东方向, 且B,C之间的距离为18km.一艘轮船在港口A的正南方向距港口46km的D处,测得灯塔C在轮船北 偏东37.0°方向上,求港口A距离灯塔B有多远?(结果取整数) (参考数据:sin67.4°= ,cos67.4°= ,tan67.4°= ,sin37.0°= ,cos37.0°= ,tan37.0°= ) 【分析】延长CB交DA的延长线于E,由题意得,∠E=90°,解直角三角形即可得到结论. 【解答】解:延长CB交DA的延长线于E, 由题意得,∠E=90°,∠BAE=67.4°, 设AB=xkm, ∴BE=AB•sin67.4°= (km),AE=AB•cos67.4°= x(km), ∵BC=18km, ∴CE=BE+BC=( +18)km, ∴DE=CE÷tan37°= ( +18)(km), ∴AD=DE﹣AE= ( +18)﹣ x=46, 解得x=26, 答:港口A距离灯塔B有26km.【点评】本题考查的是解直角三角形的应用﹣方向角问题,掌握锐角三角函数的定义,理解方向角的概 念是解题的关键. 5.分类讨论思想 12.(2023·上海·一模)如图,在 中, , , , , 平分 交 边于点D,点E是 边上的一个动点(不与B、C重合),F是 边上一点,且 , 与 相交于点G. (1)求证: ; (2)设 , ,求y与x之间的函数关系式,并写出x的取值范围; (3)当 是以 为腰的等腰三角形时,求 的长. 【答案】(1)见解析 (2)y= (3) 的长为1或 【分析】(1)要证 ,只需证 ,只需证到 , .由 , 平分∠ABC可证到 ;由 可证到 ,问题 解决. (2)作 的垂直平分线交 于点M,交 于点N,易证 ,从而可以证到 ,可得 .只需用x、y表示出 、 ,问题就得以解决. (3)当 是以 为腰的等腰三角形时,可分 和 两种情况讨论.当 时,由 可得 ,从而可以得到x与y的等量关系,再结合(2)中的y与x的关系就可求出x的值;当 时,易证 ,过点F作 ,垂足为H,则有 ,结合 ,就可得到x与y的等量关系,再结合(2)中的y与x的关系就可求出x的值. 【详解】(1)证明:∵ 平分 , ∴ . ∵ , ∴ . ∵ , , , ∴ . ∵ , , ∴ . ∴ . (2)解:作 的垂直平分线交 于点M,交 于点N,如图2, 则有 . 在 中, ,则 . ∵ 垂直平分 , ∴ . ∴ . ∴ . ∵ ,∴ . ∵ , , ∴ . ∴ . ∴ . ∵ , , , ∴ . 又∵ , ∴ . ∴ . (3)解:① ,如图3, ∵ (已证), ∴ . ∵ , ∴ . ∵ , , ∴ . ∴ .∴ . 整理得: . 则有 . 解得: (舍), . ② , 过点F作 ,垂足为H,如图4, ∵ , ∴ . ∵ , , ∴ . ∵ , ∴ . ∴ . ∵ , ∴ . ∵ , ∴ . 在 中, . ∴ . ∴ .∴ . ∴ . 整理得: . 则有 . ∴ , . ∵ , ∴ . 综上所述:当 是以 为腰的等腰三角形时, 的长为1或 . 【点睛】本题考查了相似三角形的判定与性质、等腰三角形的判定与性质、用因式分解法解一元二次方程、 锐角三角函数的定义、三角形内角和定理、三角形的外角性质、垂直平分线的性质等知识,综合性非常强. 而作 的垂直平分线交 于点M,进而证到 是解决第二小题和第三小题的关键. 【中考热点聚焦】 热点1.锐角三角函数 1.(2022•荆州)如图,在平面直角坐标系中,点A,B分别在x轴负半轴和y轴正半轴上,点C在OB上, OC:BC=1:2,连接AC,过点O作OP∥AB交AC的延长线于P.若P(1,1),则tan∠OAP的值是 ( ) A. B. C. D.3 【分析】根据OP∥AB,证明出△OCP∽△BCA,得到CP:AC=OC:BC=1:2,过点P作PQ⊥x轴 于点Q,根据∠AOC=∠AQP=90°,得到CO∥PQ,根据平行线分线段成比例定理得到 OQ:AO= CP:AC=1:2,根据 P(1,1),得到 PQ=OQ=1,得到 AO=2,根据正切的定义即可得到 tan∠OAP的值.【解答】解:如图,过点P作PQ⊥x轴于点Q, ∵OP∥AB, ∴△OCP∽△BCA, ∴CP:AC=OC:BC=1:2, ∵∠AOC=∠AQP=90°, ∴CO∥PQ, ∴OQ:AO=CP:AC=1:2, ∵P(1,1), ∴PQ=OQ=1, ∴AO=2, ∴tan∠OAP= = = . 故选:C. 【点评】本题考查了相似三角形的判定与性质,锐角三角函数的定义,根据平行线分线段成比例定理得 到OQ:AO=CP:AC=1:2是解题的关键. 2.(2022•滨州)在Rt△ABC中,若∠C=90°,AC=5,BC=12,则sinA的值为 . 【分析】根据题意画出图形,进而利用勾股定理得出AB的长,再利用锐角三角函数关系,即可得出答 案. 【解答】解:如图所示:∵∠C=90°,AC=5,BC=12, ∴AB= =13, ∴sinA= . 故答案为: . 【点评】此题主要考查了锐角三角三角函数关系以及勾股定理,得出AB的长是解题关键.热点2.特殊角三角函数值 3.(2022•天津)tan45°的值等于( ) A.2 B.1 C. D. 【分析】根据特殊角的三角函数值,进行计算即可解答. 【解答】解:tan45°的值等于1, 故选:B. 【点评】本题考查了特殊角的三角函数值,熟练掌握特殊角的三角函数值是解题的关键. 4.(2022•滨州)下列计算结果,正确的是( ) A.(a2)3=a5 B. =3 C. =2 D.cos30°= 【分析】根据幂的乘方的运算法则对A选项进行判断;利用二次根式的乘法法则对B选项进行判断;根 据立方根对C选项进行判断;根据特殊角的三角函数值对D选项进行判断. 【解答】解:A. (a2)=a6,所以A选项不符合题意; B. = =2 ,所以B选项不符合题意; C. =2,所以C选项符合题意; D.cos30°= ,所以D选项不符合题意; 故选:C. 【点评】本题考查了特殊角的三角函数值:记住特殊角的三角函数值是解决问题的关键.也考查了幂的 乘方. 5.(2022•荆门)计算: +cos60°﹣(﹣2022)0= . 【分析】先化简各式,然后再进行计算即可解答. 【解答】解: +cos60°﹣(﹣2022)0 =﹣ + ﹣1 =0﹣1 =﹣1, 故答案为:﹣1. 【点评】本题考查了立方根,特殊角的三角函数值,实数的运算,零指数幂,准确熟练地化简各式是解题的关键. 6.(2022•绥化)定义一种运算: sin( + )=sin cos +cos sin , sin(α﹣β )=sinα coβs ﹣coαs sβin . α β α β α β 例如:当 =45°, =30°时,sin(45°+30°)= × + × = ,则sin15°的值为 . α β 【分析】把15°看成是45°与30°的差,再代入公式计算得结论. 【解答】解:sin15°=sin(45°﹣30°) =sin45°cos30°﹣cos45°sin30° = × ﹣ × = ﹣ = . 故答案为: . 【点评】本题考查了解直角三角形,掌握特殊角的三角函数值是解决本题的关键. 7.(2022•金华)计算:(﹣2022)0﹣2tan45°+|﹣2|+ . 【分析】直接利用零指数幂的性质以及特殊角的三角函数值、绝对值的性质、算术平方根分别化简,进 而计算得出答案. 【解答】解:原式=1﹣2×1+2+3 =1﹣2+2+3 =4. 【点评】此题主要考查了零指数幂的性质以及特殊角的三角函数值、绝对值的性质、算术平方根,正确 化简各数是解题关键. 热点3.锐角三角函数与圆 8.(2023•湘潭)问题情境:筒车是我国古代发明的一种水利灌溉工具,既经济又环保.明朝科学家徐光 启在《农政全书》中用图画描绘了筒车的工作原理(如图①).假定在水流量稳定的情况下,筒车上 的每一个盛水筒都按逆时针做匀速圆周运动,每旋转一周用时120秒. 问题设置:把筒车抽象为一个半径为r的 O.如图②,OM始终垂直于水平面,设筒车半径为2米. ⊙当t=0时,某盛水筒恰好位于水面A处,此时∠AOM=30°,经过95秒后该盛水筒运动到点B处. 问题解决: (1)求该盛水筒从A处逆时针旋转到B处时,∠BOM的度数; (2)求该盛水筒旋转至B处时,它到水面的距离.(结果精确到0.1米)(参考数据 ≈1.414, ≈1.732) 【分析】(1)求出筒车每秒转过的度数,再根据周角的定义进行计算即可; (2)根据直角三角形的边角关系分别求出OD、OC即可. 【解答】解:(1)由于筒车每旋转一周用时120秒.所以每秒转过360°÷120=3°, ∴∠BOM=360°﹣3°×95﹣30°=45°; (2)如图,过点B、点A分别作OM的垂线,垂足分别为点C、D, 在Rt△AOD中,∠AOD=30°,OA=2米, ∴OD= OA= (米). 在Rt△BOC中,∠BOC=45°,OB=2米, ∴OC= OB= (米), ∴CD=OD﹣OC= ﹣ ≈0.3(米), 即该盛水筒旋转至B处时到水面的距离约为0.3米. 【点评】本题考查解直角三角形的应用,掌握直角三角形的边角关系是正确解答的前提.9.(2023•达州)莲花湖湿地公园是当地人民喜爱的休闲景区之一,里面的秋千深受孩子们喜爱.如图所 示,秋千链子的长度为3m,当摆角∠BOC恰为26°时,座板离地面的高度BM为0.9m,当摆动至最高 位置时,摆角∠AOC为50°,求座板距地面的最大高度为多少m?(结果精确到0.1m;参考数据: sin26°≈0.44,cos26°≈0.9,tan26°≈0.49,sin50°≈0.77,cos50°≈0.64,tan50°≈1.2) 【分析】过 B 作 BT⊥ON 于 T,过 A 作 AK⊥ON 于 K,在 Rt△OBT 中,求出 OT=OB•cos26°=2.7 (m),可得ON=OT+TN=3.6(m),在Rt△AOK中,得OK=OA•cos50°=1.92(m),故KN=ON ﹣OK=1.68(m),从而可知座板距地面的最大高度为1.68m. 【解答】解:过B作BT⊥ON于T,过A作AK⊥ON于K,如图: 在Rt△OBT中, OT=OB•cos26°=3×0.9=2.7(m), ∵∠M=∠MNT=∠BTN=90°, ∴四边形BMNT是矩形, ∴TN=BM=0.9m, ∴ON=OT+TN=3.6(m), 在Rt△AOK中, OK=OA•cos50°=3×0.64=1.92(m), ∴KN=ON﹣OK=3.6﹣1.92≈1.7(m), ∴座板距地面的最大高度为1.7m. 【点评】本题考查解直角三角形的应用,解题的关键是作辅助线,构造直角三角形解决问题.热点4.利用解直角三角形解决实际问题 10.(2023•内蒙古)如图源于我国汉代数学家赵爽的弦图,它是由四个全等直角三角形与一个小正方形 拼成的一个大正方形.若小正方形的面积为1,大正方形的面积为25,直角三角形中较小的锐角为 , 则cos 的值为( ) α α A. B. C. D. 【分析】首先根据两个正方形的面积分别求出两个正方形的边长,然后结合题意进一步设直角三角形较 短的直角边为a,则较长的直角边为a+1,再利用勾股定理得到关于a的方程,解方程可求出直角三角 形的两个个直角边的边长,最后根据锐角三角函数的定义可求出cos 的值. 【解答】解:∵小正方形的面积为1,大正方形的面积为25, α ∴小正方形的边长为 1,大正方形的边长为5, 设直角三角形中较短的直角边为a,则较长的直角边是a+1,其中a>0, 由勾股定理得:a2+(a+1)2=52, 整理得:a2+a﹣12=0 解得:a =3,a =﹣4(不合题意,舍去). 1 2 ∴a+1=4, ∴ . 故选:D. 【点评】此题主要考查了锐角三角函数,勾股定理等,解答此题的关键是准确识图,熟练掌握锐角三角 函数的定义,难点是设置适当的未知数,利用勾股定理构造方程求出三角形的边. 11.(2023•南充)如图,小兵同学从A处出发向正东方向走x米到达B处,再向正北方向走到C处,已知 ∠BAC= ,则A,C两处相距( ) α A. 米 B. 米 C.x•sin 米 D.x•cos 米 α α【分析】根据题意可得:BC⊥AB,然后在Rt△ABC中,利用锐角三角函数的定义求出AC的长,即可 解答. 【解答】解:由题意得:BC⊥AB, 在Rt△ABC中,∠CAB= ,AB=x米, α ∴AC= = (米), ∴A,C两处相距 米, 故选:B. 【点评】本题考查了解直角三角形的应用,熟练掌握锐角三角函数的定义是解题的关键. 12.(2023•长春)学校开放日即将来临,负责布置的林老师打算从学校图书馆的顶楼拉出一条彩旗绳 AB 到地面,如图所示.已知彩旗绳与地面形成25°角(即∠BAC=25°),彩旗绳固定在地面的位置与图书 馆相距32米(即AC=32米),则彩旗绳AB的长度为( ) A.32sin25°米 B.32cos25°米 C. 米 D. 米 【分析】根据直角三角形的边角关系进行解答即可. 【解答】解:如图,由题意得,AC=32m,∠A=25°, 在Rt△ABC中, ∵cosA= , ∴AB= = (m), 故选:D. 【点评】本题考查解直角三角形的应用,掌握直角三角形的边角关系是正确解答的前提.13.(2023•新疆)烽燧即烽火台,是古代军情报警的一种措施,史册记载,夜间举火称“烽”,白天放 烟称“燧”.克孜尔尕哈烽燧是古丝绸之路北道上新疆境内时代最早、保存最完好、规模最大的古代烽 燧(如图1).某数学兴趣小组利用无人机测量该烽燧的高度,如图 2,无人机飞至距地面高度31.5米 的A处,测得烽燧BC的顶部C处的俯角为50°,测得烽燧BC的底部B处的俯角为65°,试根据提供的 数据计算烽燧BC的高度. (参考数据:sin50°≈0.8,cos50°≈0.6,tan50°≈1.2,sin65°≈0.9,cos65°≈0.4,tan65°≈2.1) 【分析】过点A作AE⊥AD于E交BC的延长线于点E,则BE=AD=31.5米,在Rt△ABE中可求出 AE,在Rt△ACE中可求出CE,再利用BC=BE﹣CE即可得到答案. 【解答】解:如图,过点A作AE⊥AD于E交BC的延长线于点E,则BE=AD=31.5米, 在Rt△ABE中,BE=31.5米,∠AEB=90°,∠BAE=65°,tan∠BAE= , ∴AE≈ =15(米), 在Rt△ACE中,∠CAE=50°,tan∠CAE= , ∴CE=AEtan∠CAE=15tan50°≈15×1.2=18(米), ∴BC=BE﹣CE=31.5﹣18=13.5(米), 答:烽燧BC的高度约为13.5米. 【点评】本题考查解直角三角形的应用﹣仰角俯角,构造直角三角形,合理利用三角函数关系是解题的 关键. 14.(2023•甘孜州)“科技改变生活”,小王是一名摄影爱好者,新入手一台无人机用于航拍.在一次航拍时,数据显示,从无人机A看建筑物顶部B的仰角为45°,看底部C的俯角为60°,无人机A到该 建筑物 BC 的水平距离 AD 为 10 米,求该建筑物 BC 的高度.(结果精确到 0.1 米;参考数据: , ) 【分析】先说明三角形ABD是等腰直角三角形,用等腰三角形的性质求出BD,再在Rt△ACD 中用直 角三角形的边角间关系求出CD,最后利用线段的和差关系求出建筑物的高度. 【解答】解:由题意知,∠BAD=45°,∠CAD=60°,AD⊥BC. ∵AD⊥BC, ∴∠BDA=∠ADC=90°. ∴∠BAD=∠ABD=45°. ∴BD=AD=10 (米). 在Rt△ACD 中, CD=AD•tan∠CAD =AD•tan60° =10 (米). ∴ (米). 答:该建筑物BC的高度约为27.3米. 【点评】本题考查了解直角三角形,掌握直角三角形的边角间关系及等腰三角形的性质是解决本题的关键. 15.(2023•丹东)一艘轮船由西向东航行,行驶到A岛时,测得灯塔B在它北偏东31°方向上,继续向东 航行10nmile到达C港,此时测得灯塔B在它北偏西61°方向上,求轮船在航行过程中与灯塔B的最短 距离.(结果精确到0.1nmile)(参考数据:sin31°≈0.52,cos31°≈0.86,tan31°≈0.60,sin61°≈0.87, cos61°≈0.48,tan61°≈1.80). 【分析】过B作BD⊥AC于D,则∠ADC=∠ADB=90°,设BD=x nmile,解直角三角形即可得到结论. 【解答】解:过B作BD⊥AC于D, 则∠ADC=∠ADB=90°, ∵∠ABD=31°,∠CBD=61°, 设BD=x nmile, ∴AD=BD•tan31°,CD=BD•tan61°, ∵AC=10nmile, ∴x•tan31°+x•tan61°=x(0.60+1.80)=10, ∴x=BD≈4.2nmile, 答:轮船在航行过程中与灯塔B的最短距离为4.2nmile. 【点评】本题考查了解直角三角形的应用﹣方向角问题,能通过解直角三角形求出BD=AD和AC=AD 是解此题的关键.