当前位置:首页>文档>第十一章三角形(五大压轴题专练)(学生版)_初中数学_八年级数学上册(人教版)_知识点汇总-U105_2024版

第十一章三角形(五大压轴题专练)(学生版)_初中数学_八年级数学上册(人教版)_知识点汇总-U105_2024版

  • 2026-04-10 23:15:00 2026-03-29 01:52:50

文档预览

第十一章三角形(五大压轴题专练)(学生版)_初中数学_八年级数学上册(人教版)_知识点汇总-U105_2024版
第十一章三角形(五大压轴题专练)(学生版)_初中数学_八年级数学上册(人教版)_知识点汇总-U105_2024版
第十一章三角形(五大压轴题专练)(学生版)_初中数学_八年级数学上册(人教版)_知识点汇总-U105_2024版
第十一章三角形(五大压轴题专练)(学生版)_初中数学_八年级数学上册(人教版)_知识点汇总-U105_2024版
第十一章三角形(五大压轴题专练)(学生版)_初中数学_八年级数学上册(人教版)_知识点汇总-U105_2024版
第十一章三角形(五大压轴题专练)(学生版)_初中数学_八年级数学上册(人教版)_知识点汇总-U105_2024版
第十一章三角形(五大压轴题专练)(学生版)_初中数学_八年级数学上册(人教版)_知识点汇总-U105_2024版
第十一章三角形(五大压轴题专练)(学生版)_初中数学_八年级数学上册(人教版)_知识点汇总-U105_2024版
第十一章三角形(五大压轴题专练)(学生版)_初中数学_八年级数学上册(人教版)_知识点汇总-U105_2024版
第十一章三角形(五大压轴题专练)(学生版)_初中数学_八年级数学上册(人教版)_知识点汇总-U105_2024版
第十一章三角形(五大压轴题专练)(学生版)_初中数学_八年级数学上册(人教版)_知识点汇总-U105_2024版
第十一章三角形(五大压轴题专练)(学生版)_初中数学_八年级数学上册(人教版)_知识点汇总-U105_2024版
第十一章三角形(五大压轴题专练)(学生版)_初中数学_八年级数学上册(人教版)_知识点汇总-U105_2024版
第十一章三角形(五大压轴题专练)(学生版)_初中数学_八年级数学上册(人教版)_知识点汇总-U105_2024版
第十一章三角形(五大压轴题专练)(学生版)_初中数学_八年级数学上册(人教版)_知识点汇总-U105_2024版
第十一章三角形(五大压轴题专练)(学生版)_初中数学_八年级数学上册(人教版)_知识点汇总-U105_2024版

文档信息

文档格式
docx
文档大小
3.624 MB
文档页数
12 页
上传时间
2026-03-29 01:52:50

文档内容

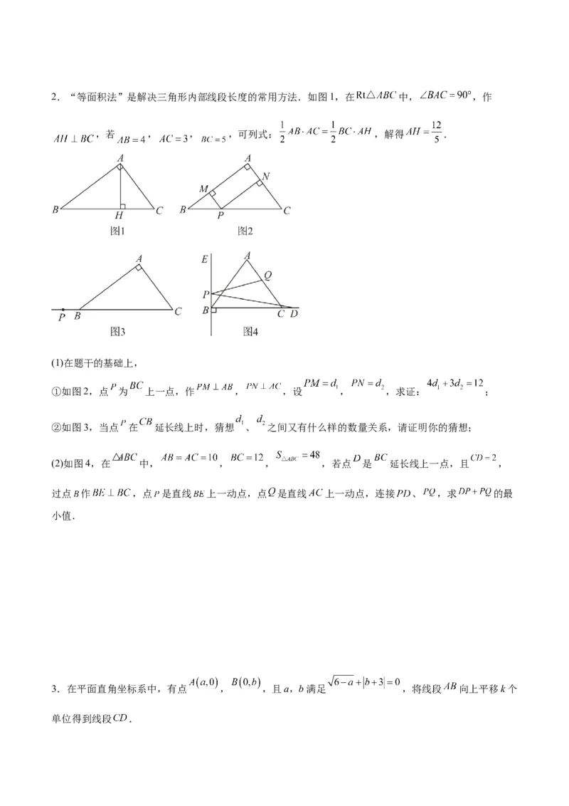
第十一章 三角形(五大压轴题专练) 【题型一 三角形中高线的综合问题】 1.已知:点 , , , ,过点C是作y轴的垂线m,垂足为C. (1)如图1,连接 、 ,求 的面积; (2)如图2,延长BA交直线m交于点D,在CD上存在点P,使 ,请补全图形,并求点P的 坐标; (3)请在备用图中画图探究:若点P是直线m上的一个动点,连接 交x轴于点M,连接 ,当 时,直接写出点M的坐标.2.“等面积法”是解决三角形内部线段长度的常用方法.如图1,在 中, ,作 ,若 , , ,可列式: ,解得 . (1)在题干的基础上, ①如图2,点 为 上一点,作 , ,设 , ,求证: ; ②如图3,当点 在 延长线上时,猜想 、 之间又有什么样的数量关系,请证明你的猜想; (2)如图4,在 中, , , ,若点 是 延长线上一点,且 , 过点 作 ,点 是直线 上一动点,点 是直线 上一动点,连接 、 ,求 的最 小值. 3.在平面直角坐标系中,有点 , ,且a,b满足 ,将线段 向上平移k个 单位得到线段 .(1)直接写出 ______, ______; (2)如图1,点E为线段 上任意一点,点F为线段 上任意一点, .点G为线段 与线 段 之间一点,连接 , .且 , ,求 的度数; (3)如图2,若 ,过点C作直线 轴,点M为直线l上一点,延长 交l于K; ①用面积法求K点坐标; ②若 的面积为10,求点M的坐标. 【题型二 三角形中中线的综合问题】 1.【问题情境】 苏科版数学课本七年级下册上有这样一道题:如图1, 是 的中线, 与 的面积有怎样 的数量关系? 小旭同学在图1中作 边上的高 ,根据中线的定义可知 .又因为高 相同,所以 ,于是 .据此可得结论:三角形的一条中线平分该三角形的面积.【深入探究】 (1)如图2,点 在 的边 上,点 在 上. ①若 是 的中线,求证: ; ②若 ,则 ______. 【拓展延伸】 (2)如图3,分别延长四边形 的各边,使得点 、 、 、 分别为 、 、 、 的中点, 依次连结 、 、 、 得四边形 . ①求证: ; ②若 ,则 ______. 2.基本性质:三角形中线等分三角形的面积. 如图1, 是 边 上的中线,则 . 理由:因为 是 边 上的中线,所以 . 又因为 , ,所以 . 所以三角形中线等分三角形的面积. 基本应用: 在如图2至图4中, 的面积为a.(1)如图2,延长 的边 到点D,使 ,连接 .若 的面积为 ,则 (用含a的 代数式表示); (2)如图3,延长 的边 到点D,延长边 到点E,使 , ,连接 .若 的 面积为 ,则 (用含a的代数式表示); (3)在图3的基础上延长 到点F,使 ,连接 , ,得到 (如图4).若阴影部分的 面积为 ,则 (用含a的代数式表示); 拓展应用: (4)如图5,点D是 的边 上任意一点,点E,F分别是线段 , 的中点,且 的面积为 ,则 的面积为 (用含a的代数式表示),并写出理由. 3.阅读与理解: 三角形的中线的性质:三角形的中线等分三角形的面积,即如图1, 是 中 边上的中线,则 . 理由: , , 即:等底同高的三角形面积相等. 操作与探索 在如图2至图4中, 的面积为 . (1)如图2,延长 的边 到点 ,使 ,连接 .若 的面积为 ,则 ___________(用含 的代数式表示); (2)如图3,延长 的边 到点 ,延长边 到点 ,使 , ,连接 .若的面积为 ,则 ___________(用含 的代数式表示),并写出理由; (3)在图3的基础上延长 到点 ,使 ,连接 , ,得到 (如图 .若阴影部分的面 积为 ,则 ___________;(用含 的代数式表示) 拓展与应用: (4)如图5,已知四边形 的面积是 , 、 、 、 分别是 、 、 、 的中点,连接 交于点O,求图中阴影部分的面积? 【题型三 三角形中角平分线的综合问题】 1.已知, ,点C是直线 , 下方一点,连接 , .(1)如图1,求证: ; (2)如图2,若 , 分别平分 和 , 所在的直线相交于点H,若 ,求 的度数;(用含 的式子表示) (3)如图3,若 , 分 和 两部分,且 , ,直线 , 相交于点H,则 ____________.(用含n和 的式子表示) 2.在平面直角坐标系xoy中,已知A(a,0),B(-a,b)两点,并且a,b满足 . (1)请直接写出a,b的值; (2)如图1,BC⊥x轴于点C,AB交y轴于点D,点F(m,n)在线段AB上,求点D的坐标,并求m与n满 足的关系式; (3)如图2,若CF,BE分别是△ABC的高与角平分线,BE交CF于点G,CH平分∠ECG,交BE于点H, 求证:CH⊥BE.【题型四 三角形内角和与外角和的综合问题】 1.在 中,点 是 延长线上一点. (1)如图1,过点 作 ,交 于点 , . ①若 ,则 ______°; ②试写出 与 的数量关系,并说明理由; ③当 时,求 的度数; ④若 ,请说明 ; (2)如图2, 交 于点 , ,直接写出 、 与 之间的数量关系. 2.(1)如图①所示, 中,点 是 和 的平分线的交点, 若 ,则 _____________(用 表示);不用说明理由,直接填空. 如图②所示, , ,若 ,则 ____________(用 表示),不用说明理由,直接填空. (2)如图③所示, , ,若 ,则 ___________(用 表 示),填空并说明理由. 3.已知点 在射线 上, . (1)如图1,若 ,求证: ; (2)如图2,若 ,垂足为 , 交 于点 ,请探究 与 的数量关系,写出你的探究结 论,并说明理由; (3)如图3,在(2)的条件下,过点 作 交射线 于点 ,当 , 时,求 的度数. 4.在 中, , 平分 ,点F为射线 上一点(不与点E重合),且 于点 D.(1)如图1,如果点F在线段 上,且 , ,则 ______. (2)如果点F在 的外部,分別作出 和 的角平分线,交于点K,请在图2中补全图形,探 究 、 、 三者之间的数量关系,并说明理由: (3)如图3,若点 与点 重合, 、 分别平分 和 的外角 ,连接 ,过点 作 交 延长线于点 , 交 的延长线于点 ,若 ,且 ,求 的度数. 【题型五 多边形的内角和与外角和综合问题】 1.【感知】如图1所示,在四边形 中, 分别是边 的延长线,我们把 称为四边形 的外角,若 ,则 ___________; 【探究】如图2所示,在四边形 中, 分别是边 的延长线,我们把 称为四边形 的外角,试探究 与 之间的数量关系,并说明理由; 【应用】如图3所示, 分别是四边形 的外角 的平分线,若 , 则 的度数为___________.2.观察图形,按要求完成: (1)在四边形 中, , . ①如图 ,若 ,则 =________ ; ②如图 ,若 的平分线 交 于点 、且 ,则 ________ ; ③如图 ,若 和 的平分线相交于点 ,则 ________ ; (2)如图 ,当 时,若 和 的平分线交于点 ,请说明 与 之间的 数量关系. 3.动手操作,探究: 探究一:三角形的一个内角与另两个内角的平分线所夹的钝角之间有何种关系? (1)已知:如图,在 中, 分别平分 和 ,试探究 与 的数量关系; (2)探究二:若将 改为任意四边形 呢?已知:如图,在四边形 中, 分别平分 和 ,试利用上述结论探究 与 的数量关系;(写出说理过程) (3)探究三:若将上题中的四边形 改为六边形 (图(3))呢?请直接写出 与的数量关系: . 4.如图1,我们分别研究过三角形中两内角平分线所成的 、两外角平分线所成的 、一内角一 外角平分线所成的 与 的关系. (1)如图2,在四边形 中, 、 分别平分 和 ,则 与 , 的数量关系为 . (2)如图3,在四边形 中, 、 分别平分 和 ,请探究 与 , 的数量关 系,并说明理由. (3)在四边形 中, 为 的平分线与边 和 延长线所成角的平分线所在的直线构成的锐 角,若设 , ,则 .(用α、β表示)