当前位置:首页>文档>黄金卷-赢在高考·黄金8卷备战2024年高考数学模拟卷(天津专用)(考试版)_2.2025数学总复习_2024年新高考资料_4.2024高考模拟预测试卷_597

黄金卷-赢在高考·黄金8卷备战2024年高考数学模拟卷(天津专用)(考试版)_2.2025数学总复习_2024年新高考资料_4.2024高考模拟预测试卷_597

  • 2026-04-02 07:14:43 2026-03-29 05:55:06

文档预览

黄金卷-赢在高考·黄金8卷备战2024年高考数学模拟卷(天津专用)(考试版)_2.2025数学总复习_2024年新高考资料_4.2024高考模拟预测试卷_597
黄金卷-赢在高考·黄金8卷备战2024年高考数学模拟卷(天津专用)(考试版)_2.2025数学总复习_2024年新高考资料_4.2024高考模拟预测试卷_597
黄金卷-赢在高考·黄金8卷备战2024年高考数学模拟卷(天津专用)(考试版)_2.2025数学总复习_2024年新高考资料_4.2024高考模拟预测试卷_597
黄金卷-赢在高考·黄金8卷备战2024年高考数学模拟卷(天津专用)(考试版)_2.2025数学总复习_2024年新高考资料_4.2024高考模拟预测试卷_597
黄金卷-赢在高考·黄金8卷备战2024年高考数学模拟卷(天津专用)(考试版)_2.2025数学总复习_2024年新高考资料_4.2024高考模拟预测试卷_597
黄金卷-赢在高考·黄金8卷备战2024年高考数学模拟卷(天津专用)(考试版)_2.2025数学总复习_2024年新高考资料_4.2024高考模拟预测试卷_597
黄金卷-赢在高考·黄金8卷备战2024年高考数学模拟卷(天津专用)(考试版)_2.2025数学总复习_2024年新高考资料_4.2024高考模拟预测试卷_597
黄金卷-赢在高考·黄金8卷备战2024年高考数学模拟卷(天津专用)(考试版)_2.2025数学总复习_2024年新高考资料_4.2024高考模拟预测试卷_597
黄金卷-赢在高考·黄金8卷备战2024年高考数学模拟卷(天津专用)(考试版)_2.2025数学总复习_2024年新高考资料_4.2024高考模拟预测试卷_597
黄金卷-赢在高考·黄金8卷备战2024年高考数学模拟卷(天津专用)(考试版)_2.2025数学总复习_2024年新高考资料_4.2024高考模拟预测试卷_597

文档信息

文档格式
docx
文档大小
0.392 MB
文档页数
6 页
上传时间
2026-03-29 05:55:06

文档内容

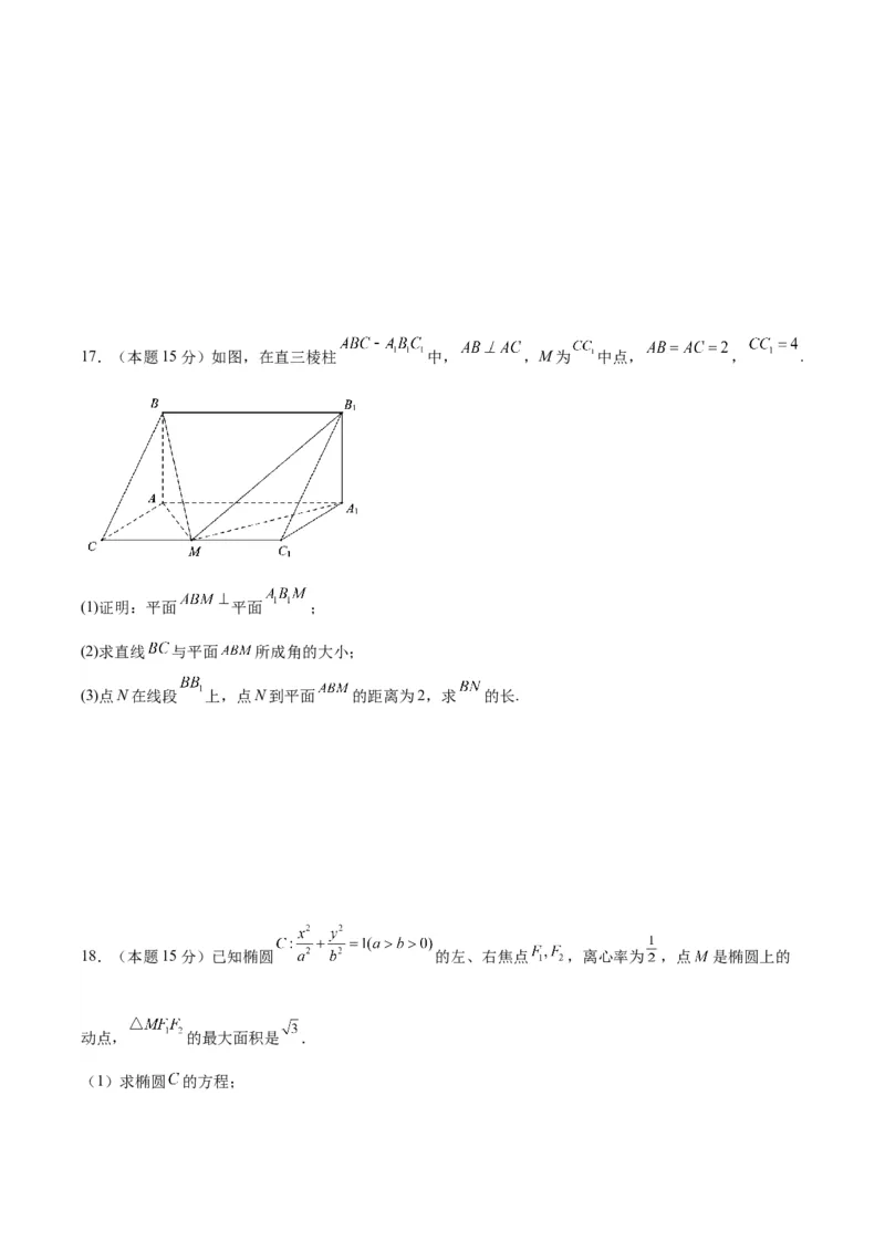
【赢在高考·黄金8卷】备战2024年高考数学模拟卷(天津专用) 黄金卷 (考试时间:120分钟 试卷满分:150分) 第 I 卷(选择题) 一、单项选择题:本题共9小题,每小题5分,共45分,在每小题给出的四个选项中,只有一项是符合要 求的。 1.已知集合 , , ,则 ( ) A. B. C. D. 2.设 ,则“直线 与直线 平行”是“ ”的( ) A.充分不必要条件 B.必要不充分条件 C.充要条件 D.既不充分也不必要条件 3.函数 的图象大致为( ) A. B. C. D. 4.如图是某学校抽取的学生体重的频率分布直方图,已知图中从左到右的前3个小组的频率满足:第一小 组与第三小组的频率和是第二小组频率的2倍,第二小组的频数为15,则抽取的学生人数为( ) A.30 B.45 C.60 D.1205.已知 , , ,则( ) A. B. C. D. 6.已知抛物线 的焦点 与双曲线 ( , )的一个焦点重合,且点 到双曲线 的渐近线的距离为4,则双曲线的方程为( ) A. B. C. D. 7.截角四面体是一种半正八面体,可由四面体经过适当的截角而得到.如图,将棱长为6的正四面体沿棱 的三等分点作平行于底面的截面截角得到所有棱长均为2的截角四面体,则该截角四面体的体积为( ) A. B. C. D. 8.已知函数 的最小正周期为 ,其图象关于直线 对称.给出下面四 个结论:①将 的图象向右平移 个单位长度后得到函数图象关于原点对称;②点 为 图象 的一个对称中心;③ ;④ 在区间 上单调递增.其中正确的结论为( ) A.①② B.②③ C.②④ D.①④ 9.已知函数 若关于 的方程 有 个不同的实数根,则 实数 的取值范围为( ) A. B. C. D.第 II 卷(非选择题) 二、填空题:本题共6小题,每小题5分,共30分。试题中包含两个空的,答对1个的给3分,全部答对 的给5分。 10.已知 是虚数单位,复数 满足 ,则 . 11.在 的展开式中, 的系数是 . 12.等比数列{ }的各项均为实数,其前 项为 ,已知 = , = ,则 = . 13.已知 都为正实数,且 ,则 的最小值为 . 14.某射击小组共有10名射手,其中一级射手2人,二级射手3人,三级射手5人,现选出2人参赛,已 知至少有一人是一级射手,则另一人是三级射手的概率为 .若一、二、三级射手获胜概率分别是 ,则任选一名射手能够获胜的概率为 . 15.如图,在四边形ABCD中, , , ,且 , 则实数 的值 为 ,若M,N是线段BC上的动点,且 ,则 的最小值为 . 三、解答题:本题共5小题,共75分,解答应写出必要的文字说明、证明过程及验算步骤。 16.(本题15分)已知平面四边形ABCD中,∠A+∠C=180°,BC=3. (1)若AB=6,AD=3,CD=4,求BD; (2)若∠ABC=120°, ABC的面积为 ,求四边形ABCD周长的最大值. △17.(本题15分)如图,在直三棱柱 中, ,M为 中点, , . (1)证明:平面 平面 ; (2)求直线 与平面 所成角的大小; (3)点N在线段 上,点N到平面 的距离为2,求 的长. 18.(本题15分)已知椭圆 的左、右焦点 ,离心率为 ,点 是椭圆上的 动点, 的最大面积是 . (1)求椭圆 的方程;(2)圆E经过椭圆的左、右焦点,且与椭圆 在第一象限的交点为 ,且 三点共线, 为坐标 原点,直线 交椭圆 于两点 ,且 . (i) 求直线 的斜率; (ii)当 的面积取到最大值时,求直线 的方程. 19.(本题15分)已知数列 为等差数列,数列 为等比数列,且 , , , ( ). (1)求 , 的通项公式; (2)已知 ,求数列 的前 项和 ; (3)求证: ( ).20.(本题15分)已知函数 ,其中 . (1)求曲线 在 处的切线方程 ,并证明当 时, ; (2)若 有三个零点 ,且 . (i)求实数 的取值范围; (ii)求证: .