当前位置:首页>文档>黄金卷03-赢在高考·黄金8卷备战2024年高考数学模拟卷(广东专用)(参考答案)_2.2025数学总复习_2024年新高考资料_4.2024高考模拟预测试卷

黄金卷03-赢在高考·黄金8卷备战2024年高考数学模拟卷(广东专用)(参考答案)_2.2025数学总复习_2024年新高考资料_4.2024高考模拟预测试卷

  • 2026-05-25 19:50:23 2026-03-29 06:48:04

文档预览

黄金卷03-赢在高考·黄金8卷备战2024年高考数学模拟卷(广东专用)(参考答案)_2.2025数学总复习_2024年新高考资料_4.2024高考模拟预测试卷
黄金卷03-赢在高考·黄金8卷备战2024年高考数学模拟卷(广东专用)(参考答案)_2.2025数学总复习_2024年新高考资料_4.2024高考模拟预测试卷
黄金卷03-赢在高考·黄金8卷备战2024年高考数学模拟卷(广东专用)(参考答案)_2.2025数学总复习_2024年新高考资料_4.2024高考模拟预测试卷
黄金卷03-赢在高考·黄金8卷备战2024年高考数学模拟卷(广东专用)(参考答案)_2.2025数学总复习_2024年新高考资料_4.2024高考模拟预测试卷
黄金卷03-赢在高考·黄金8卷备战2024年高考数学模拟卷(广东专用)(参考答案)_2.2025数学总复习_2024年新高考资料_4.2024高考模拟预测试卷
黄金卷03-赢在高考·黄金8卷备战2024年高考数学模拟卷(广东专用)(参考答案)_2.2025数学总复习_2024年新高考资料_4.2024高考模拟预测试卷
黄金卷03-赢在高考·黄金8卷备战2024年高考数学模拟卷(广东专用)(参考答案)_2.2025数学总复习_2024年新高考资料_4.2024高考模拟预测试卷
黄金卷03-赢在高考·黄金8卷备战2024年高考数学模拟卷(广东专用)(参考答案)_2.2025数学总复习_2024年新高考资料_4.2024高考模拟预测试卷
黄金卷03-赢在高考·黄金8卷备战2024年高考数学模拟卷(广东专用)(参考答案)_2.2025数学总复习_2024年新高考资料_4.2024高考模拟预测试卷
黄金卷03-赢在高考·黄金8卷备战2024年高考数学模拟卷(广东专用)(参考答案)_2.2025数学总复习_2024年新高考资料_4.2024高考模拟预测试卷
黄金卷03-赢在高考·黄金8卷备战2024年高考数学模拟卷(广东专用)(参考答案)_2.2025数学总复习_2024年新高考资料_4.2024高考模拟预测试卷
黄金卷03-赢在高考·黄金8卷备战2024年高考数学模拟卷(广东专用)(参考答案)_2.2025数学总复习_2024年新高考资料_4.2024高考模拟预测试卷
黄金卷03-赢在高考·黄金8卷备战2024年高考数学模拟卷(广东专用)(参考答案)_2.2025数学总复习_2024年新高考资料_4.2024高考模拟预测试卷

文档信息

文档格式
docx
文档大小
0.481 MB
文档页数
9 页
上传时间
2026-03-29 06:48:04

文档内容

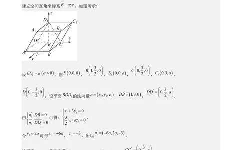
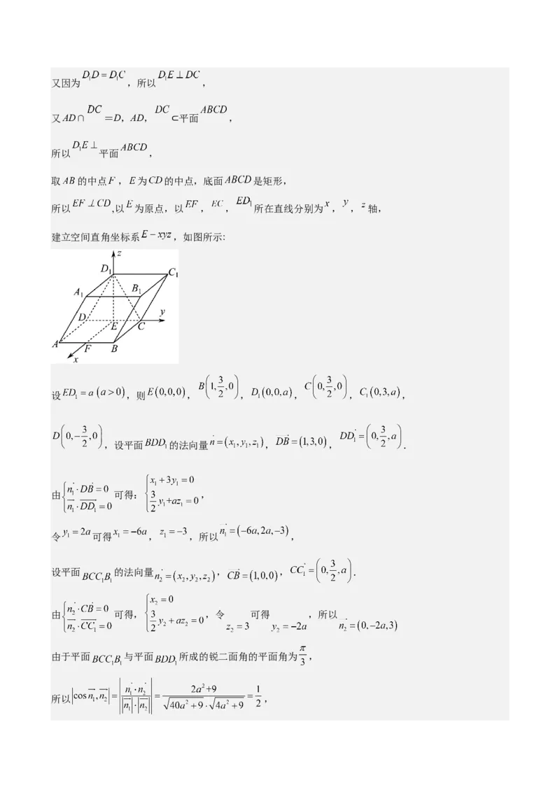
【赢在高考·黄金8卷】备战2024年高考数学模拟卷(广东专用) 黄金卷03·参考答案 (考试时间:120分钟 试卷满分:150分) 第 I 卷(选择题) 一、单项选择题:本题共8小题,每小题5分,共40分,在每小题给出的四个选项中,只有一项是符合要 求的。 1 2 3 4 5 6 7 8 B C C B C C D C 二、多项选择题:本题共4小题,每小题5分,共20分,在每小题给出的四个选项中,有多项符合题目的 要求,全部选对的得5分,部分选对的得2分,有选错的得0分。 9 10 11 12 ABC BCD ABD ABD 第 II 卷(非选择题) 三、填空题:本题共4小题,每小题5分,共20分。 13. 14. 15. 16. 四、解答题:本题共6小题,共70分,17题10分,18^22每题12分.解答应写出必要的文字说明、证明 过程及验算步骤。 17.(10分) 【答案】(1) ;(2)证明见解析. 【解析】(1)若选①,则由 同除以 得, , 所以数列 为公差为1,首项为 的等差数列, 故 ,故 ,若选②,则由 得 , 所以 为公差为2,首项为3的等差数列, 故 ,故 (2)由(1)知 ,所以 , , , 故 18. (12分) 【答案】(1) ; (2) 【解析】(1)如图, 因为 , , , 则 为等腰直角三角形,且 , 因为 ,所以 , 所以 ,所以 ,则 , , , 在 中,由余弦定理可得: , 故 . (2)在 中,由正弦定理可得 , 即 ,即 , 由正弦定理可得 , 所以 ,即 . 19.(12分) 【答案】(1)见解析 (2) 【解析】(1)证明:因为底面ABCD和侧面 都是矩形, 所以AD⊥CD,AD⊥ , 又CD∩ =D,CD, 平面 , ⊂ 所以AD⊥平面 ,又 平面 , ⊂ 所以 . (2)取 为 的中点,连接 ,因为AD⊥平面 , 又 平面 ,所以 , ⊂又因为 ,所以 , 又AD∩ =D,AD, 平面 , ⊂ 所以 平面 , 取 的中点 , 为 的中点,底面 是矩形, 所以 ,以 为原点,以 , , 所在直线分别为 , , 轴, 建立空间直角坐标系 ,如图所示: 设 ,则 , , , , , ,设平面 的法向量 , , . 由 可得: , 令 可得 , ,所以 , 设平面 的法向量 , , . 由 可得, ,令 可得 ,所以 由于平面 与平面 所成的锐二面角的平面角为 , 所以 ,可得: ,则 , 解得 . 因为AD⊥平面 , ,所以 平面 , 又因为 ,所以 平面 , 平面 , 所以 平面 , 所以 . 20.(12分) 【答案】(1) ;(2) 元. 【解析】(1)由题意知: 中间值 频率 样本的平均数为 , 所以 ,所以 , 而 . 故 万户农户中, 落在区间 内的户数约为 ; (2)设中奖次数为 ,则 的可能取值为 、 、 、 、 、 , 则 ,所以 . 令 ,① ,② 由① ②得: , , 所以 (元). 所以参与调查的某农户所获奖金 的数学期望为 元. 21.(12分) 【答案】(Ⅰ)答案见解析;(Ⅱ) . 【解析】(Ⅰ)利用椭圆定义求方程;(Ⅱ)把面积表示为关于斜率k的函数,再求最值. 试题解析:(Ⅰ)因为 , ,故 , 所以 ,故 . 又圆 的标准方程为 ,从而 ,所以 . 由题设得 , , ,由椭圆定义可得点 的轨迹方程为: ( ). (Ⅱ)当 与 轴不垂直时,设 的方程为 , , . 由 得 .则 , . 所以 . 过点 且与 垂直的直线 : , 到 的距离为 ,所以 .故四边形 的面积 . 可得当 与 轴不垂直时,四边形 面积的取值范围为 . 当 与 轴垂直时,其方程为 , , ,四边形 的面积为12. 综上,四边形 面积的取值范围为 . 22.(12分) 【答案】(1) 在 , 上单调递增,在 上单调递减 (2)(i) ;(ii)证明见解析 【解析】(1)当 时, ,则 ; 令 ,解得: 或 , 当 时, ;当 时, ; 在 , 上单调递增,在 上单调递减. (2)(i)由 得: ,恰有 个正实数根 , 恰有 个正实数根 , 令 ,则 与 有两个不同交点, , 当 时, ;当 时, ; 在 上单调递减,在 上单调递增,又 , 当 从 的右侧无限趋近于 时, 趋近于 ;当 无限趋近于 时, 的增速远大于 的增速,则 趋近于 ; 则 图象如下图所示, 当 时, 与 有两个不同交点, 实数 的取值范围为 ; (ii)由(i)知: , , , , ,不妨设 ,则 , 要证 ,只需证 , , , ,则只需证 , 令 ,则只需证当 时, 恒成立, 令 , , 在 上单调递增, , 当 时, 恒成立, 原不等式 得证.