当前位置:首页>文档>黄金卷08-赢在高考·黄金8卷备战2024年高考数学模拟卷(天津专用)(参考答案)_2.2025数学总复习_2024年新高考资料_4.2024高考模拟预测试卷

黄金卷08-赢在高考·黄金8卷备战2024年高考数学模拟卷(天津专用)(参考答案)_2.2025数学总复习_2024年新高考资料_4.2024高考模拟预测试卷

  • 2026-05-09 18:21:03 2026-03-29 07:14:12

文档预览

黄金卷08-赢在高考·黄金8卷备战2024年高考数学模拟卷(天津专用)(参考答案)_2.2025数学总复习_2024年新高考资料_4.2024高考模拟预测试卷
黄金卷08-赢在高考·黄金8卷备战2024年高考数学模拟卷(天津专用)(参考答案)_2.2025数学总复习_2024年新高考资料_4.2024高考模拟预测试卷
黄金卷08-赢在高考·黄金8卷备战2024年高考数学模拟卷(天津专用)(参考答案)_2.2025数学总复习_2024年新高考资料_4.2024高考模拟预测试卷
黄金卷08-赢在高考·黄金8卷备战2024年高考数学模拟卷(天津专用)(参考答案)_2.2025数学总复习_2024年新高考资料_4.2024高考模拟预测试卷
黄金卷08-赢在高考·黄金8卷备战2024年高考数学模拟卷(天津专用)(参考答案)_2.2025数学总复习_2024年新高考资料_4.2024高考模拟预测试卷
黄金卷08-赢在高考·黄金8卷备战2024年高考数学模拟卷(天津专用)(参考答案)_2.2025数学总复习_2024年新高考资料_4.2024高考模拟预测试卷
黄金卷08-赢在高考·黄金8卷备战2024年高考数学模拟卷(天津专用)(参考答案)_2.2025数学总复习_2024年新高考资料_4.2024高考模拟预测试卷
黄金卷08-赢在高考·黄金8卷备战2024年高考数学模拟卷(天津专用)(参考答案)_2.2025数学总复习_2024年新高考资料_4.2024高考模拟预测试卷
黄金卷08-赢在高考·黄金8卷备战2024年高考数学模拟卷(天津专用)(参考答案)_2.2025数学总复习_2024年新高考资料_4.2024高考模拟预测试卷
黄金卷08-赢在高考·黄金8卷备战2024年高考数学模拟卷(天津专用)(参考答案)_2.2025数学总复习_2024年新高考资料_4.2024高考模拟预测试卷
黄金卷08-赢在高考·黄金8卷备战2024年高考数学模拟卷(天津专用)(参考答案)_2.2025数学总复习_2024年新高考资料_4.2024高考模拟预测试卷
黄金卷08-赢在高考·黄金8卷备战2024年高考数学模拟卷(天津专用)(参考答案)_2.2025数学总复习_2024年新高考资料_4.2024高考模拟预测试卷
黄金卷08-赢在高考·黄金8卷备战2024年高考数学模拟卷(天津专用)(参考答案)_2.2025数学总复习_2024年新高考资料_4.2024高考模拟预测试卷
黄金卷08-赢在高考·黄金8卷备战2024年高考数学模拟卷(天津专用)(参考答案)_2.2025数学总复习_2024年新高考资料_4.2024高考模拟预测试卷
黄金卷08-赢在高考·黄金8卷备战2024年高考数学模拟卷(天津专用)(参考答案)_2.2025数学总复习_2024年新高考资料_4.2024高考模拟预测试卷
黄金卷08-赢在高考·黄金8卷备战2024年高考数学模拟卷(天津专用)(参考答案)_2.2025数学总复习_2024年新高考资料_4.2024高考模拟预测试卷

文档信息

文档格式
docx
文档大小
0.525 MB
文档页数
12 页
上传时间
2026-03-29 07:14:12

文档内容

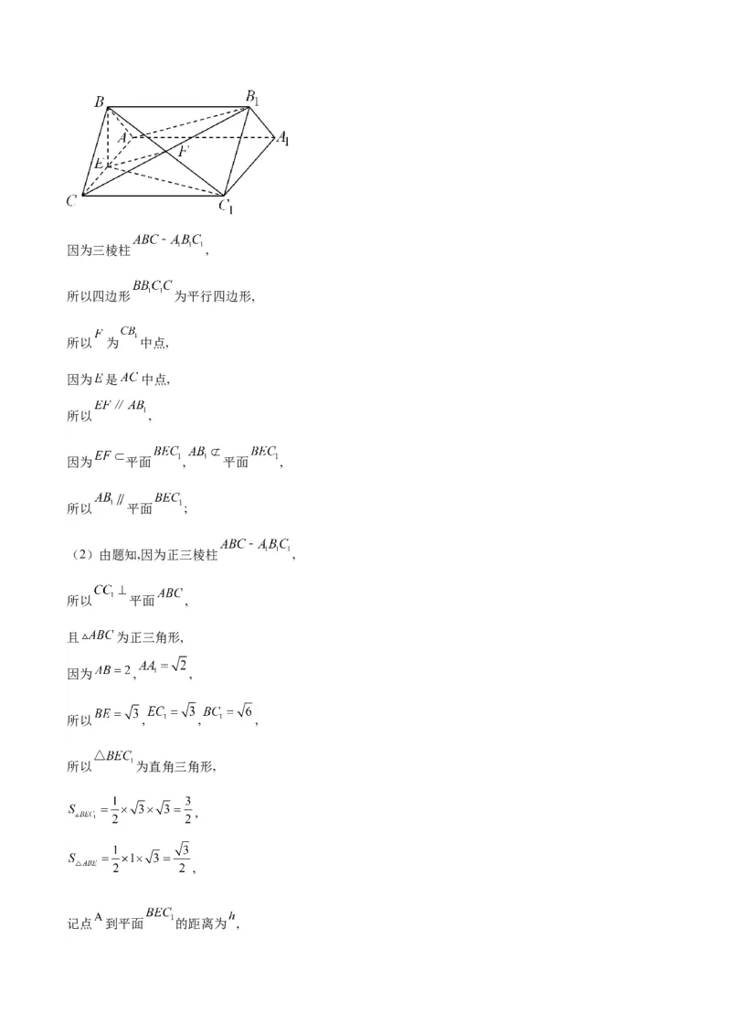
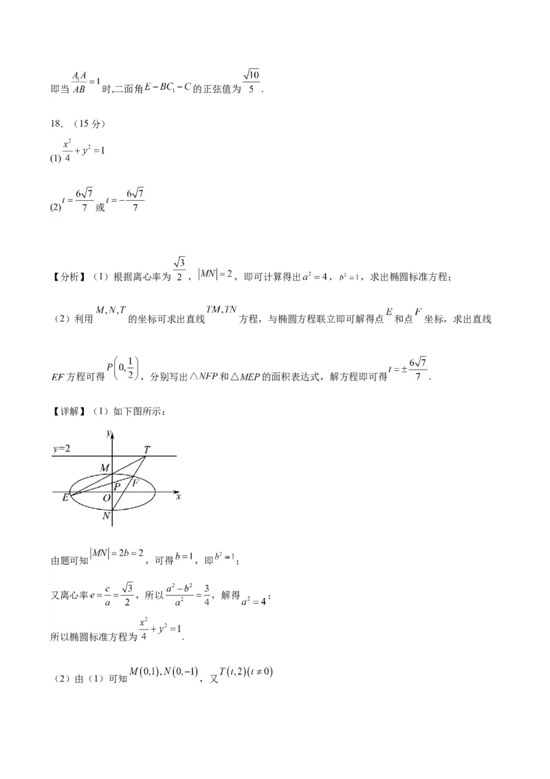
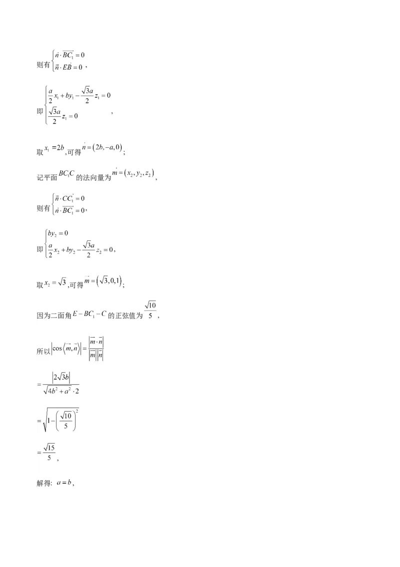
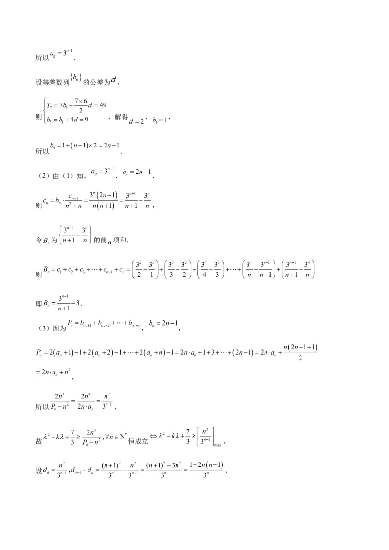
【赢在高考·黄金8卷】备战2024年高考数学模拟卷(天津专用) 黄金卷08·参考答案 (考试时间:120分钟 试卷满分:150分) 第 I 卷(选择题) 一、单项选择题:本题共9小题,每小题5分,共45分,在每小题给出的四个选项中,只有一项是符合要 求的。 1 2 3 4 5 6 7 8 9 C A D A D A B B C 第 II 卷(非选择题) 二、填空题:本题共4小题,每小题5分,共20分。 10.-1 11.-6 12. 13. /0.25 14. 15. 三、解答题:本题共6小题,共70分,解答应写出必要的文字说明、证明过程及验算步骤。 16.(14分) (1) (2) (3) 【分析】(1)由正弦定理的边化角公式结合三角恒等变换得出 ; (2)由三角形面积公式得出 ,再由余弦定理得出 ,进而得出a,c的值; (3)计算 ,再由差角公式求解即可. 【详解】(1) , , 又 , .(2) ,又 , , ① ,即 ② 又 , 由①②可得 , (3) , , . 17.(15分) (1)证明见解析 (2) (3)1 【分析】(1) 连接 交 于点 ,连接 ,根据中位线即可证明 ,再利用线面平行判定定理即可 证明; (2)根据正三棱柱的几何特征,求出各个长度及 ,再用等体积法即可求得; (3)建立合适空间直角坐标系,设出 长度,找到平面 及平面 的法向量,建立等式,求出 长度之间的关系即可证明. 【详解】(1)证明:连接 交 于点 ,连接 如图所示:因为三棱柱 , 所以四边形 为平行四边形, 所以 为 中点, 因为 是 中点, 所以 , 因为 平面 , 平面 , 所以 平面 ; (2)由题知,因为正三棱柱 , 所以 平面 , 且 为正三角形, 因为 , , 所以 , , , 所以 为直角三角形, , , 记点 到平面 的距离为 ,则有 , 即 , 即 , 解得 , 故 到平面 的距离为 ; (3)由题,取 中点为 ,可知 , 所以 平面 , 因为 为正三角形, 是 中点, 所以 , 故以 为原点, 方向为 轴, 方向为 轴, 方向为 轴建立如图所示空间直角坐标系, 不妨记 , 所以 , , 记平面 的法向量为 ,则有 , 即 , 取 ,可得 ; 记平面 的法向量为 , 则有 , 即 , 取 ,可得 ; 因为二面角 的正弦值为 , 所以 , 解得: ,即当 时,二面角 的正弦值为 . 18.(15分) (1) (2) 或 【分析】(1)根据离心率为 , ,即可计算得出 , ,求出椭圆标准方程; (2)利用 的坐标可求出直线 方程,与椭圆方程联立即可解得点 和点 坐标,求出直线 方程可得 ,分别写出 和 的面积表达式,解方程即可得 . 【详解】(1)如下图所示: 由题可知 ,可得 ,即 ; 又离心率 ,所以 ,解得 ; 所以椭圆标准方程为 . (2)由(1)可知 ,又所以直线 的斜率为 ,直线方程为 ; 同理可得直线 的斜率为 ,直线方程为 ; 联立直线 与椭圆方程 ,消去 整理可得 ; 设直线 分别交椭圆 于点 和点 , 易知 ,即可得 ; 同理直线 与椭圆方程 ,消去 整理可得 ; 即得 ,即可得 ; 可得 ; 所以直线 的方程为 ,即 , 即直线 与 轴的交点为定点 ,所以 ; 此时 的面积为 ; 的面积为 ;又 的面积为 的面积的2倍,即 ,可得 ; 解得 ,所以t的值为 或 . 19.(15分) (1) , (2) (3)2 【分析】(1)根据 与 的关系证明 为等比数列,根据等差数列性质求 的首项及公差,再利用 等比数列和等差数列通项公式求 , 的通项公式; (2)利用裂项相消法求和即可; (3)由(1)求 ,由条件可得 ,判断数列 的单调性求其最值,由此可得 ,结合基本不等式求 的最大值. 【详解】(1)由 ,得 , 当 时, ,即 , 所以 ,且 , 所以 , 所以 为首项为 ,公比为3的等比数列,所以 . 设等差数列 的公差为 , 则 ,解得 , , 所以 . (2)由(1)知, , , 则 , 令 为 的前 项和, 则 即 . (3)因为 , , , 所以 , 故 恒成立 , 设 ,当 时, ; 当 时, ,即 , 所以 ,即 , 所以 , 所以 恒成立, 即 恒成立, 因为 ,当且仅当 ,即 时等号成立, 所以 ,故 的最大值为2. 20.(16分) (1) (2) (3)证明见解析 【分析】(1)利用导数的几何意义计算即可; (2)参变分离利用导数求函数的单调性与最值即可 (3)结合(2)的结论先推出 ,再令 ,化简得 ,利用累加法计算即可. 【详解】(1)当 时, , ,且 的定义域为 , 所以 , 曲线 在点 处切线的斜率为 , 所以切线方程为 ;(2)当 时,使 等价于 , 令 ,所以 , 令 ,所以 , 所以 在 上单调递增, 又因为 , 所以 在 上 ,使 , 即 , , , ; , , ; 所以 在 上单调递减, 在 上单调递增, 所以 的最小值为 , 因为 ,所以 , 所以 ,且 , 所以使 恒成立的最大偶数为 ; (3)由(2)知当 时, 恒成立, 得 ,即 , 令 , 所以 , 即当 时, , 当 时, , …… 当 时, , 相加整理得, 所以 . 【点睛】本题第二问在于参变分离构造函数,结合隐零点求恒成立问题即可,第三问在于利用上面结论得 出 ,再令 ,累加即可得证.