当前位置:首页>文档>黄金卷08-赢在高考·黄金8卷备战2024年高考数学模拟卷(广东专用)(参考答案)_2.2025数学总复习_2024年新高考资料_4.2024高考模拟预测试卷

黄金卷08-赢在高考·黄金8卷备战2024年高考数学模拟卷(广东专用)(参考答案)_2.2025数学总复习_2024年新高考资料_4.2024高考模拟预测试卷

  • 2026-05-05 18:03:49 2026-03-29 07:15:19

文档预览

黄金卷08-赢在高考·黄金8卷备战2024年高考数学模拟卷(广东专用)(参考答案)_2.2025数学总复习_2024年新高考资料_4.2024高考模拟预测试卷
黄金卷08-赢在高考·黄金8卷备战2024年高考数学模拟卷(广东专用)(参考答案)_2.2025数学总复习_2024年新高考资料_4.2024高考模拟预测试卷
黄金卷08-赢在高考·黄金8卷备战2024年高考数学模拟卷(广东专用)(参考答案)_2.2025数学总复习_2024年新高考资料_4.2024高考模拟预测试卷
黄金卷08-赢在高考·黄金8卷备战2024年高考数学模拟卷(广东专用)(参考答案)_2.2025数学总复习_2024年新高考资料_4.2024高考模拟预测试卷
黄金卷08-赢在高考·黄金8卷备战2024年高考数学模拟卷(广东专用)(参考答案)_2.2025数学总复习_2024年新高考资料_4.2024高考模拟预测试卷
黄金卷08-赢在高考·黄金8卷备战2024年高考数学模拟卷(广东专用)(参考答案)_2.2025数学总复习_2024年新高考资料_4.2024高考模拟预测试卷
黄金卷08-赢在高考·黄金8卷备战2024年高考数学模拟卷(广东专用)(参考答案)_2.2025数学总复习_2024年新高考资料_4.2024高考模拟预测试卷
黄金卷08-赢在高考·黄金8卷备战2024年高考数学模拟卷(广东专用)(参考答案)_2.2025数学总复习_2024年新高考资料_4.2024高考模拟预测试卷
黄金卷08-赢在高考·黄金8卷备战2024年高考数学模拟卷(广东专用)(参考答案)_2.2025数学总复习_2024年新高考资料_4.2024高考模拟预测试卷
黄金卷08-赢在高考·黄金8卷备战2024年高考数学模拟卷(广东专用)(参考答案)_2.2025数学总复习_2024年新高考资料_4.2024高考模拟预测试卷
黄金卷08-赢在高考·黄金8卷备战2024年高考数学模拟卷(广东专用)(参考答案)_2.2025数学总复习_2024年新高考资料_4.2024高考模拟预测试卷
黄金卷08-赢在高考·黄金8卷备战2024年高考数学模拟卷(广东专用)(参考答案)_2.2025数学总复习_2024年新高考资料_4.2024高考模拟预测试卷

文档信息

文档格式
docx
文档大小
0.540 MB
文档页数
8 页
上传时间
2026-03-29 07:15:19

文档内容

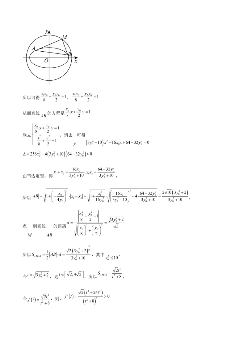
【赢在高考·黄金8卷】备战2024年高考数学模拟卷(广东专用) 黄金卷08·参考答案 (考试时间:120分钟 试卷满分:150分) 第 I 卷(选择题) 一、单项选择题:本题共8小题,每小题5分,共40分,在每小题给出的四个选项中,只有一项是符合要 求的。 1 2 3 4 5 6 7 8 B D B C D C B C 二、多项选择题:本题共4小题,每小题5分,共20分,在每小题给出的四个选项中,有多项符合题目的 要求,全部选对的得5分,部分选对的得2分,有选错的得0分。 9 10 11 12 ACD ABD BD ABD 第 II 卷(非选择题) 三、填空题:本题共4小题,每小题5分,共20分。 13. (答案不唯一) 14. 15. 16. 四、解答题:本题共6小题,共70分,17题10分,18^22每题12分.解答应写出必要的文字说明、证明 过程及验算步骤。 17.(10分) 【答案】(1) ;(2) 【解析】(1)因为 , 所以 , 整理得 , 所以 ,又 ,所以 . (2)因为 为锐角三角形, 所以 ,解得 , 所以 , 由正弦定理可得 , 则 , 因为 ,所以 , 所以 ,即 面积S的取值范围为 . 18.(12分) 【答案】(1) ;(2) 【解析】(1)数列 是公差为1的等差数列,且 ,即 , , 当 时, , 当 时, ,满足 , 综上, 的通项公式为 . (2)由题意 ,所以 , 因此,数列 的前 项和 . 19.(12分) 【答案】(1)证明见解析;(2) ;(3) 平面 ,理由见解析. 【解析】(1)设 ,连接 . 平面 , 平面 ,平面 平面 ,故 , , ,且 ,故 ,即 ; (2)取 中点 ,连接 , ,则 , 又 平面 ,平面 平面 ,平面 平面 , 故 平面 , 平面 ,故 , ,满足 ,故 . , 平面 ,故 平面 , 平面 ,平面 平面 ,二面角 的大小为 ;(3)延长 到 ,使 ,连接 , 分别是 的中点,故 , ,故 , ,故四边形 是平行四边形, , 故 ,则 确定平面 . 中, 是 边中线,且 ,故 是 的重心,又 为 边的中线,则 在 上,故 平面 . 20.(12分) 【答案】(1) 获得冠军的概率分别为 , ; (2)淘汰赛赛制下 获得冠军的概率为 ,“双败赛制”赛制下 获得冠军的概率为 ,双败赛制 下对强者更有利. 【解析】(1) 获得冠军: 组 获胜,再由 与 组胜者决赛并胜出, 获得冠军的概率为 , 获得冠军: 组 获胜,再由 与 组胜者决赛并胜出, 获得冠军的概率为 . (2)淘汰赛赛制下, 获得冠军的概率为 ,“双败赛制”赛制下,讨论A进入胜者组、败者组两种情况, 当A进入胜者组,若在胜者组A失败,后两局都胜,方可得冠军; 若在胜者组A胜利,后一局(与败者组胜者比赛)胜,方可得冠军; 当A进入败者组,后三局都胜,方可得冠军; 综上, 获得冠军的概率 . 令 , 若 为强队,则 ,故 , 所以,双败赛制下对强者更有利. 21.(12分) 【答案】(1) ;(2)面积取到最大值 ,此时点 . 【解析】(1)设d是点P到直线 的距离, 根据题意动点P的轨迹就是集合 . 由此得 . 将上式两边平方,并化简得 . 即C的标准方程为 . (2)设 ,则 , 切线 方程: ,切线 方程: , 因为两直线都经过点 ,所以可得 , 从而直线 的方程是 , 联立 ,消去 可得 , 由韦达定理,得 , 所以 , 点 到直线 的距离 , 所以 ,其中 , 令 ,则 ,所以 , 令 ,则,在 上递增, 即 ,即 时, 的面积取到最大值 , 此时点 . 22.(12分) 【答案】(1)单调递增区间为 ,单调递减区间为 ,极大值 ,无极小值 (2) 【解析】(1)由已知可得,函数 的定义域为 ,且 , 当 时, ; 当 时, , 所以 的单调递增区间为 ,单调递减区间为 , 所以 是 的极大值点,无极小值点, 所以 的极大值为 ,无极小值; (2)解法一:设 , , 则 , 令 , , 则 对任意 恒成立, 所以 在 上单调递减, 又 , ,所以 ,使得 ,即 ,则 ,即 . 因此,当 时, ,即 ,则 单调递增; 当 时, ,即 ,则 单调递减, 故 ,解得 , 所以当 时, 恒成立,即实数 的取值范围是 . 解法二:令 , , 当 时, ;当 时, , 所以 在 上单调递减,在 上单调递增, 所以 ,即 . 因为 ,所以 , 当 时等号成立, 即 ,当 时等号成立, 所以 的最小值为 . 若 恒成立,则 , 所以当 时, 恒成立, 即实数 的取值范围是 .