当前位置:首页>文档>精品解析:安徽省马鞍山市花园初级中学2025年中考一模数学试卷(原卷版)_2025年安徽省中考模拟试卷数学_2025年安徽数学一模卷62份

精品解析:安徽省马鞍山市花园初级中学2025年中考一模数学试卷(原卷版)_2025年安徽省中考模拟试卷数学_2025年安徽数学一模卷62份

  • 2026-04-05 23:15:28 2026-04-05 23:06:53

文档预览

精品解析:安徽省马鞍山市花园初级中学2025年中考一模数学试卷(原卷版)_2025年安徽省中考模拟试卷数学_2025年安徽数学一模卷62份
精品解析:安徽省马鞍山市花园初级中学2025年中考一模数学试卷(原卷版)_2025年安徽省中考模拟试卷数学_2025年安徽数学一模卷62份
精品解析:安徽省马鞍山市花园初级中学2025年中考一模数学试卷(原卷版)_2025年安徽省中考模拟试卷数学_2025年安徽数学一模卷62份
精品解析:安徽省马鞍山市花园初级中学2025年中考一模数学试卷(原卷版)_2025年安徽省中考模拟试卷数学_2025年安徽数学一模卷62份
精品解析:安徽省马鞍山市花园初级中学2025年中考一模数学试卷(原卷版)_2025年安徽省中考模拟试卷数学_2025年安徽数学一模卷62份
精品解析:安徽省马鞍山市花园初级中学2025年中考一模数学试卷(原卷版)_2025年安徽省中考模拟试卷数学_2025年安徽数学一模卷62份
精品解析:安徽省马鞍山市花园初级中学2025年中考一模数学试卷(原卷版)_2025年安徽省中考模拟试卷数学_2025年安徽数学一模卷62份
精品解析:安徽省马鞍山市花园初级中学2025年中考一模数学试卷(原卷版)_2025年安徽省中考模拟试卷数学_2025年安徽数学一模卷62份
精品解析:安徽省马鞍山市花园初级中学2025年中考一模数学试卷(原卷版)_2025年安徽省中考模拟试卷数学_2025年安徽数学一模卷62份
精品解析:安徽省马鞍山市花园初级中学2025年中考一模数学试卷(原卷版)_2025年安徽省中考模拟试卷数学_2025年安徽数学一模卷62份
精品解析:安徽省马鞍山市花园初级中学2025年中考一模数学试卷(原卷版)_2025年安徽省中考模拟试卷数学_2025年安徽数学一模卷62份
精品解析:安徽省马鞍山市花园初级中学2025年中考一模数学试卷(原卷版)_2025年安徽省中考模拟试卷数学_2025年安徽数学一模卷62份

文档信息

文档格式
docx
文档大小
2.669 MB
文档页数
8 页
上传时间
2026-04-05 23:06:53

文档内容

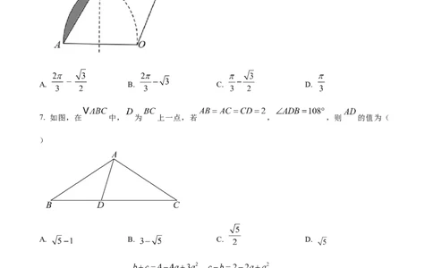
2025 年初三年级中考第一次模拟测试数学 (考试时间:120分钟,试卷满分:150分) 一、选择题(本大题共10个小题,每小题4分,共40分,在每个小题给出的四个选项中, 只有一项符合题目要求,请选出并在答题卡上将该项涂黑) 1. 的相反数为( ) A. 5 B. C. D. 2. 在 年春节档期,电影市场的热度持续高涨.电影《哪吒之魔童闹海》上映前三日,总票房便达到 亿元,这部电影在上映前三日平均每天的票房为( ) A. 元 B. 元 C. 元 D. 元 3. 某几何体的三视图如图所示,这个几何体是( ) A. B. C. D. 4. 如图,反比例函数 与一次函数 的图象相交于点 , ,则 的值为( ) A. 2 B. 3 C. 4 D. 5 5. 下列运算中,正确的是( )A. B. C. D. 6. 如图.将扇形 翻折,使点A与圆心O重合,展开后折痕所在直线l与 交于点C,连接 . 若 ,则图中阴影部分的面积是( ) A. B. C. D. 7. 如图,在 中, 为 上一点,若 , ,则 的值为( ) A. B. C. D. 8. 已知a,b,c为实数,且 , ,则a,b,c之间的大小关系是( ) . A B. C. D. 9. 在平行四边形 中,E,F是对角线 上的两点,下列条件中,不能推出 的是 ( )A. B. C. D. 10. 如图(1)所示,E为矩形 的边 上一点,动点P,Q同时从点B出发,点P沿折线 运动到点C时停止,点Q沿 运动到点C时停止,它们运动的速度都是1cm/秒,设P, Q同时出发t秒时, 的面积为 .已知y与t的函数关系图像如图(2)(曲线 为抛物线的 一部分),则下列结论不正确的是( ) A. B. 当 秒时, C. 当 时, D. 当 的面积为 时,t的值是 或 秒 二、填空题(本大题共4个小题,每小题5分,共20分) 11. 若分式 有意义,则 的取值范围是__________. 12. 比较大小: ______ . 13. 现有四张正面分别标有数字﹣1、0、1、2的不透明卡片,它们除数字外其余完全相同,将它们背面朝 上洗均匀,随机抽取一张,记下数字后放回,再次背面朝上洗均匀,随机抽取一张记下数字,前后两次抽 取的数字分别记为m、n,则点(m,n)在抛物线y=x2+1上的概率为_____.14. 如图,在菱形 中, , , 是 边上的动点,N是 边上的动点,将 沿 翻折得 , 的延长线与 的延长线交于点E. (1)如图①,当点B落在 上时,恰好有 ,此时 _____; (2)如图②,当 时,移动点N,使点E与点D重合,此时 _____. 三、解答题(本大题共2小题,每小题8分,满分16分) 15. 先化简,再求值: ,其中 16. 交警部门提醒市民:“出门头盔戴,放心平安归”,某电动车用品批发店准备分两次购入 、 两款 头盔,第一次购进了 、 两款头盔共 个, 款头盔进价 元,售价 元; 款头盔进价 元,售 价 元. (1)第一次购进头盔的金额不得超过 元,则至少购进多少个 款头盔? (2)第一批头盔销量不错,批发店准备再购进一批,第二批两款头盔的进价不变, 款头盔进货量在 (1)的最少进货量的基础上增加了 个,售价比第一次提高了 元; 款头盔售价和第一次相同,进 货量为 个,但是在运输过程中有 已经损坏,无法销售,结果第二批头盔的销售利润为 元, 求 的值. 四、解答题(本大题共2小题,每小题8分,满分16分) 17. 如图,在平面直角坐标系xOy中,已知 三个顶点的坐标分别为 , ,(1)画出 关于原点 成中心对称的 ; (2)画出 绕点 按逆时针方向旋转 所得到的 ; (3)求(2)中点 所经过的路径长. 的 18. 我国古代数学 许多发现都曾位居世界前列,如图1的“杨辉三角”就是其中的一例.如图2,某 同学发现杨辉三角给出了 ( 为正整数)的展开式(按 的次数由大到小的顺序排列)的系数规 律.例如,在三角形中第三行的三个数1,2,1,恰好对应 展开式中各项的系数; 第四行的四个数1,3,3,1,恰好对应着 展开式中各项的系数等等. (1)填出 展开式中共有 项,第三项是 .(2)直接写出 的展开式. (3)利用上面 规律计算: 的 . 五、解答题(本大题共2小题,每小题10分,满分20分) 19. 如图,四边形 内接于 , 平分 ,交 于点M. (1)如图1,求证: . (2)如图2,若 经过圆心O,且 ,求 的长. 的 20. 如图 是某越野车 侧面示意图,折线段 表示车后盖,已知 , , ,该车的高度 .如图 ,打开后备厢,车后盖 落在 处, 与水 平面的夹角 . AI (1)求打开后备厢后,车后盖最高点 到地面 的距离;(2)若小明爸爸的身高为 ,他从打开的车后盖C处经过,有没有碰头的危险请说明理由.(结果 精确到 ,参考数据: , , , ) 六、解答题(本题满分12分) 21. 某中学积极推进校园文学创作,要求每名学生每学期向校报编辑部至少投1篇稿件,学期末,学校为 了解学生的投稿情况,随机抽取了部分学生,统计每人在本学期投稿的篇数,并绘制成如下统计图表: 投稿篇数 1 2 3 4 5 (篇) 1 1 人数 7 m 6 0 2 根据以上信息,解答下列问题: (1)本次所抽取的学生共有______名,表格中m的值为______,所抽取的学生在本学期投稿的篇数的中 位数是______篇; (2)水本次所抽取的学生在本学期投稿的篇数的平均数; (3)若该校共有1500名学生,请估计该校学生在本学期投稿的篇数为5篇的学生有多少名? 七、解答题(本题满分12分) 22. 在 和 中, , , ,旋转 ,使点 在 内. (1)如图1,求证: ; (2)当 时,延长 交 于点 .的 ①如图2,若 , ,求 长; ②如图3,连接 ,若点 是 的中点,判断线段 与线段 的数量关系,并说明理由. 八、解答题(本题满分14分) 23. 抛物线 与直线 交于原点O和点B,与x轴交于另一点A,顶点为D. (1)求点B和点D的坐标; (2)如图①,连接 ,P为x轴上的动点,当 时,求点P的坐标; (3)如图②,M是点B关于抛物线对称轴的对称点,Q是抛物线上的动点,它的横坐标为 , 连接 交直线 于点E,求 的最大值.