当前位置:首页>文档>03选填题之函数与方程、不等式(原卷版)_02高考数学_2024年新高考资料_2.2024二轮复习_2024年高考数学二轮复习讲义题型归纳+专项训练(新高考专用)

03选填题之函数与方程、不等式(原卷版)_02高考数学_2024年新高考资料_2.2024二轮复习_2024年高考数学二轮复习讲义题型归纳+专项训练(新高考专用)

  • 2026-04-06 02:47:03 2026-04-06 01:01:24

文档预览

03选填题之函数与方程、不等式(原卷版)_02高考数学_2024年新高考资料_2.2024二轮复习_2024年高考数学二轮复习讲义题型归纳+专项训练(新高考专用)
03选填题之函数与方程、不等式(原卷版)_02高考数学_2024年新高考资料_2.2024二轮复习_2024年高考数学二轮复习讲义题型归纳+专项训练(新高考专用)
03选填题之函数与方程、不等式(原卷版)_02高考数学_2024年新高考资料_2.2024二轮复习_2024年高考数学二轮复习讲义题型归纳+专项训练(新高考专用)
03选填题之函数与方程、不等式(原卷版)_02高考数学_2024年新高考资料_2.2024二轮复习_2024年高考数学二轮复习讲义题型归纳+专项训练(新高考专用)
03选填题之函数与方程、不等式(原卷版)_02高考数学_2024年新高考资料_2.2024二轮复习_2024年高考数学二轮复习讲义题型归纳+专项训练(新高考专用)
03选填题之函数与方程、不等式(原卷版)_02高考数学_2024年新高考资料_2.2024二轮复习_2024年高考数学二轮复习讲义题型归纳+专项训练(新高考专用)
03选填题之函数与方程、不等式(原卷版)_02高考数学_2024年新高考资料_2.2024二轮复习_2024年高考数学二轮复习讲义题型归纳+专项训练(新高考专用)
03选填题之函数与方程、不等式(原卷版)_02高考数学_2024年新高考资料_2.2024二轮复习_2024年高考数学二轮复习讲义题型归纳+专项训练(新高考专用)
03选填题之函数与方程、不等式(原卷版)_02高考数学_2024年新高考资料_2.2024二轮复习_2024年高考数学二轮复习讲义题型归纳+专项训练(新高考专用)
03选填题之函数与方程、不等式(原卷版)_02高考数学_2024年新高考资料_2.2024二轮复习_2024年高考数学二轮复习讲义题型归纳+专项训练(新高考专用)
03选填题之函数与方程、不等式(原卷版)_02高考数学_2024年新高考资料_2.2024二轮复习_2024年高考数学二轮复习讲义题型归纳+专项训练(新高考专用)
03选填题之函数与方程、不等式(原卷版)_02高考数学_2024年新高考资料_2.2024二轮复习_2024年高考数学二轮复习讲义题型归纳+专项训练(新高考专用)
03选填题之函数与方程、不等式(原卷版)_02高考数学_2024年新高考资料_2.2024二轮复习_2024年高考数学二轮复习讲义题型归纳+专项训练(新高考专用)
03选填题之函数与方程、不等式(原卷版)_02高考数学_2024年新高考资料_2.2024二轮复习_2024年高考数学二轮复习讲义题型归纳+专项训练(新高考专用)

文档信息

文档格式
docx
文档大小
0.107 MB
文档页数
10 页
上传时间
2026-04-06 01:01:24

文档内容

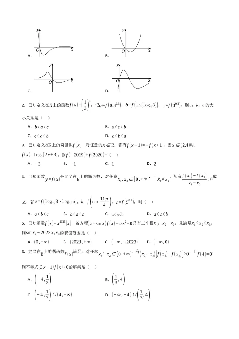
☆注:请用Microsoft Word2016以上版本打开文件进行编辑,用WPS等其他软件可能会出现乱码等现象. 高中数学二轮复习讲义——选填题部分 第 3 讲 函数与方程、不等式 高考对函数应用的考查主要是函数零点个数的判断、零点所在的区间.近几 年全国卷考查函数模型及其应用较少,但也要引起重视. 题型一、零点个数问题 1.已知函数 f(x) { 2x−x2,x≥0 ,则函数 f(x)在(﹣6,+∞)上的零点个数为 = 1−ln(x+6),−6<x<0 ( ) A.1个 B.2个 C.3个 D.4个 {log x,x>0 2.已知偶函数y=f(x),x R满足:f(x)=x2﹣3x(x≥0),若函数g(x) 2 ,则y=f = 1 − ,x<0 ∈ x (x)﹣g(x)的零点个数为( ) A.1 B.3 C.2 D.4 3.定义在 R 上的函数 f(x)满足 f(x+2)=f(x),当 x (﹣1,1]时,f(x)=x2,g(x) ∈ = {log 3 (x−1),x>1 ,那么函数h(x)=f(x)﹣g(x)在区间[﹣5,5]上零点的个数为( ) 2x,x≤1 A.9 B.8 C.7 D.6 4.已知函数f(x)=|lnx|,g(x) { 0,0<x≤1 ,则方程|f(x)+g(x)|=1实根的个数为( = |x2−4|−2,x>1 )A.2 B.3 C.4 D.5 5.已知函数y=f(x)(x R)满足f(x+1)=﹣f(x),且当x [﹣1,1]时,f(x)=|x|,函数g(x) ∈ ∈ {sin(πx),x≥0 ,则函数h(x)=f(x)﹣g(x)在区间[﹣5,5]上的零点的个数为( ) = 1 − ,x<0 x A.8 B.9 C.10 D.11 题型二、已知零点个数求参 1 1 1.已知关于x的方程2•( )﹣x﹣( )﹣x+a=0在区间[﹣1,0]上有实数根,则实数a的取值范围是( 4 2 ) 1 1 1 A.[0, ] B.[﹣1,0]∪(0, ]C.[﹣1,0] D.[﹣1, ] 8 8 8 2.已知函数f(x)=2x+x3﹣8的零点x (m﹣1,m),则整数m的值为( ) 0 A.﹣1 B.0 ∈ C.1 D.2 3.设f(x)=|lnx|,若函数g(x)=f(x)﹣ax在区间(0,e2)上有三个零点,则实数a的取值范围是 ( ) 1 1 1 2 2 2 1 A.(0, ) B.( , ) C.( , ) D.( , ) e e2 e e2 e e2 e 4.已知函数f(x) { x2−2,x>0 的图象上恰有三对点关于原点成中心对称,则a的取值范围 = −3|x+a|+a,x<0 是( ) 17 17 17 17 A.(− ,﹣2) B.(− ,﹣2] C.[1, ) D.(1, ) 8 8 16 16 1 5.已知f(x)是定义在R上且周期为3的函数,当x [0,3)时,f(x)=|x2﹣2x+ |.若函数y=f(x) 2 ∈ ﹣a在区间[﹣3,4]上有10个零点(互不相同),则实数a的取值范围是( ) 1 1 A.[0, ) B.(0,1) C.(0, ) D.(0,1] 2 2 6.已知定义在R上的函数f(x) = { x2+2,x∈[0,1) ,且f(x+2)=f(x),若方程f(x)﹣kx﹣2 2−x2,x∈[−1,0)=0有两个不相等的实数根,则实数k的取值集合是( ) 1 1 1 1 A.{ ,1} B.{ ,− } C.{﹣1,1} D.{﹣1,− } 3 3 3 3 7.设a R,函数f { f(x+3),x<a ,若f(x)在区间(0,+∞)内恰有4个零点,则 (x)= x2−(2a+1)x+a2+3,x≥a ∈ a的取值范围是( ) 11 11 A.( ,3) ⋃ (9−√6,9) B.( ,3)∪(6,9−√6) 4 4 13 13 C.(3, ) ⋃ (9−√6,9) D.(3, ) ⋃ (6,9−√6) 4 4 题型三、等高线问题 1.设函数f(x)=|2x+1﹣1|,若互不相等的实数a,b满足f(a)=f(b),则a+b的取值范围是( ) A.(﹣∞,﹣2) B.(﹣∞,﹣2] C.(﹣∞,﹣1) D.(﹣2,+∞) { |log x|,0<x<2 2.已知函数f(x) 2 ,若存在实数a,b,c,d,满足f(a)=f(b)=f(c)=f = 1 8 x2− x+5,x≥2 3 3 (d),其中0<a<b<c<d,则abcd的取值范围是( ) A.(8,24) B.(10,18) C.(12,18) D.(12,15) 3.已知函数f(x) { xex,x≤0 若函数g(x)=f(x)﹣m有两个零点x ,x ,则x +x =( = 1 2 1 2 2−|x−1|,x>0 ) 1 1 A.2 B.2或2+ C.2或3 D.2或3或2+ e e 4.在R上的函数f(x)满足f(x) {x2,x∈[0,1) ,且f(x+2)=f(x),g(x) 1 ,则方程 = = x,x∈[−1,0) x−2 f(x)=g(x)在区间[﹣1,5]上的所有根之和约为下列哪个数( ) A.4 B.6 C.8 D.10 题型四、唯一零点问题1.已知函数f(x)=3e|x﹣1|﹣a(2x﹣1+21﹣x)﹣a2有唯一零点,则负实数a=( ) 1 1 A.− B.− C.﹣3 D.﹣2 3 2 2.已知函数f(x)=x2﹣2x+a(ex﹣1+e ﹣x+1)+cos(x﹣1)﹣1有唯一零点,则a=( ) 1 1 1 A.1 B.− C. D. 3 3 2 3.已知函数g(x),h(x)分别是定义在R上的偶函数和奇函数,且g(x)+h(x)=ex+x,若函数f (x)=2|x﹣1|+ g(x﹣1)﹣6 2有唯一零点,则正实数 的值为( ) 1 λ 1 λ λ A. B. C.2 D.3 2 3 题型五、复合函数零点问题 1.设定义域为R的函数,若关于x的函数f(x) {|lgx|,x>0 ,若关于x的函数y=2f2(x)+2bf = −x2−2x,x≤0 (x)+1有8个不同的零点,则实数b的取值范围是 . { 1 |x+ |,x≠0 2.已知函数f(x)= x 则关于x的方程f2(x)+bf(x)+c=0有5个不同实数解的充要条件 0,x=0 是( ) A.b<﹣2 且 c>0 B.b>﹣2 且 c<0 C.b<﹣2 且 c=0 D.b≥﹣2 且 c=0 3.已知函数f(x) {a⋅ex,x≤0,(a>0,其中e为自然对数的底数),若关于x的方程f(f(x)) = −lnx,x>0 =0,有且只有一个实数解,则实数a的取值范围为( ) A.(1,+∞) B.(1,2) C.(0,1) D.(0,1)∪(1,+∞) 4.已知函数f(x) {ex−2(x≤0),则下列关于函数y=f[f(kx)+1]+1(k≠0)的零点个数的判断正确的 = lnx(x>0) 是( ) A.当k>0时,有3个零点;当k<0时,有4个零点 B.当k>0时,有4个零点;当k<0时,有3个零点C.无论k为何值,均有3个零点 D.无论k为何值,均有4个零点 题型六、函数与不等式问题 1 1.已知不等式9x2﹣log x<0,当x∈(0, )时恒成立,则实数a的取值范围是 . a 3 2.设函数 {2x+1,x≤0,则满足f(x)+f(x﹣1)≥2的x的取值范围是 . f(x)= 4x,x>0 3.已知函数f(x) { 2x−1,x≤0 ,若不等式|f(x)|≥mx﹣2恒成立,则实数m的取值范围为( = −x2−3x,x>0 ) A.[3﹣2√2,3+2√2] B.[0,3﹣2√2] C.(3﹣2√2,3+2√2) D.[0,3+2√2] 4.已知函数f(x) { x2−x,x≤0 ,若存在x R使得f(x )≤ax ﹣1,则实数a的取值范围是( = 0 0 0 ln(x+1),x>0 ∈ ) A.(0,+∞) B.[﹣3,0] C.(﹣∞,﹣3]∪[3,+∞) D.(﹣∞,﹣3]∪(0,+∞) 1 5.已知函数f(x)=|( )x﹣1|﹣b有两个零点,分别为x ,x (x <x ),则下列结论正确的是( ) 1 2 1 2 2 A.﹣1<x <0 B.0<x <2 1 2 1 1 C.( ) ❑ x 1+( ) ❑ x 2=2 D.0<b<1 2 2 一、单选题 x2−4x 1.函数f(x)= 的图象大致是( ) exA. B. C. D. (1) x 2.已知定义在R上的函数f (x)= ,记a=f (0.30.3),b=f (ln(log 3)),c=f (30.2),则a,b,c的大 3 4 小关系是( ) A.b0 成 1 2 1 2 x −x 1 2 ( 11π) 立,若a=f (log 3⋅log 5),b=f cos ,c=f (50.1),则( ) 15 15 4 A.a0 f (4)=0 1 2 2 1 2 1 则不等式(3x−1)f (x)<0的解集是( ) ( 1) (1 ) A. −4, B. ,4 3 3 ( 1) (1 ) C. −4, ∪(4,+∞) D.(−∞,−4)∪ ,4 3 31 7.已知a= ,b=log 2,c=sin(cos1.1),则( ) √ 3e 3 A.bg(f (2024)) 13.已知函数f(x)=2x+log x,g(x)= (1) x −log x,ℎ(x)=x3+log x的零点分别为a,b,c,则( ) 2 2 2 2 A.a>b>c B.b>a>c C.c>a>b D.b>c>a a(x−1) 14.已知函数g(x)= −ln(2x−1)在[1,+∞)上单调递减,则实数a的取值范围是( ) 2x+1 ( 16] ( 16] A.(−∞,4] B. −∞, C. 4, D.(−∞,6] 3 3 15.已知定义在R上的函数f (x)满足∀x,y∈R,f (2xy−1)=f (x)⋅f (y)+f (y)+2x−3,f (0)=−1, 则不等式f (x)>3−2x的解集为( ) A.(1,+∞) B.(−1,+∞) C.(−∞,1) D.(−∞,−1) 二、多选题 1 16.已知函数f (x)=log (4x+2x+1+1)− −x,则下列各选项正确的是( ) 2 x2+1 A.f (x)在区间(−∞,0)上单调递增 B.f (x)是偶函数 C.f (x)的最小值为1 D.方程f (x)=2x无解 17.设函数y=f (x)的定义域为R,其图象关于直线x=−2对称,且f (x+2)=f (x−2).当x∈[0,2]时, (1) x f (x)= −x,则下列结论正确的是( ) 3 A.f (x)为偶函数 B.f (2023)=4 C.f (x)的图象关于直线x=2对称 D.f (x)在区间[−2,0]上单调递减 ax2−2x+1 18.已知函数f(x)= ,则下列结论正确的是( ) ex A.对于任意的 ,存在偶函数 ,使得 为奇函数 a∈R g(x) y=exf(x)+g(x) B.若f(x)只有一个零点,则a=14 C.当a=1时,关于x的方程f(x)=m有3个不同的实数根的充要条件为00时,g(x)的值域为[2,+∞) C.当x≥0时,若f (x)≥ax恒成立,则a的取值范围为(−∞,2] n D.当 n∈N*时,满足 g(1)g(2)⋅⋅⋅g(n)>(en+1+2)2 20.已知函数 ,且函数 有三个零点 ,则下列 f(x)=x2−8x+6lnx g(x)=f(x)−m x ,x ,x (x 2 1 2 21.已知函数f(x)与g(x)的定义域均为R,f(x+1)+g(x−2)=3,f(x−1)−g(−x)=1,且g(−1)=2, g(x−1)为偶函数,下列结论正确的是( ) A.f(x)的周期为4 B.g(3)=1 C.2024 D.2024 ∑❑f(k)=4048 ∑❑g(k)=2024 k=1 k=1 22.已知函数f (x)=¿(其中a∈R),下列说法正确的是( ) A.存在a使ℎ(x)有3个零点 B.存在a使 ℎ(x)有4个零点 C.不存在a使ℎ(x)有5个零点 (1 e 1) D.若ℎ(x)有6个零点,则a的取值范围为 , + 2 16 e 三、填空题23.已知把函数 ax+1+a−x( 且 )的图象向下平移2个单位长度得到 的图象,且 f (x)= a>0 a≠1 g(x) ax+a−x ℎ(x)=xg(x),若ℎ(x)为偶函数,则a= . 24.已知函数 ,求使 成立的实数t的取值范围是 . f (x)=x(2|x|+3) f (2t+1)+f (t2−1)<0 πx 25.已知定义域为R的奇函数f (x)满足f (1−x)=f (3+x),当x∈(0,2]时,f (x)=4cos ,则当函数 4 y=f (x)−a(a∈R)在区间[−4,8]上有4个零点时,a的取值范围为 . 26.已知函数f (x)=¿,若关于x的方程f (x)=m有4个不相等的实数根x 、x 、x 、x ,则x +x +x +x 1 2 3 4 1 2 3 4 的取值范围是 . 27.已知函数 2x+2,若对任意的 ,总存在 ,使得 f (x)=ax−2,g(x)=log x ∈[−2,1] x ∈[2,3] 2 2x−1 1 2 成立,则实数 的范围为 . f (x )