当前位置:首页>文档>专题16.14二次根式的运算100题(分层练习)(提升练)(人教版)_初中数学_八年级数学下册(人教版)_专题突破练习-V4

专题16.14二次根式的运算100题(分层练习)(提升练)(人教版)_初中数学_八年级数学下册(人教版)_专题突破练习-V4

  • 2026-04-06 07:02:32 2026-04-06 06:36:28

文档预览

专题16.14二次根式的运算100题(分层练习)(提升练)(人教版)_初中数学_八年级数学下册(人教版)_专题突破练习-V4
专题16.14二次根式的运算100题(分层练习)(提升练)(人教版)_初中数学_八年级数学下册(人教版)_专题突破练习-V4
专题16.14二次根式的运算100题(分层练习)(提升练)(人教版)_初中数学_八年级数学下册(人教版)_专题突破练习-V4
专题16.14二次根式的运算100题(分层练习)(提升练)(人教版)_初中数学_八年级数学下册(人教版)_专题突破练习-V4
专题16.14二次根式的运算100题(分层练习)(提升练)(人教版)_初中数学_八年级数学下册(人教版)_专题突破练习-V4
专题16.14二次根式的运算100题(分层练习)(提升练)(人教版)_初中数学_八年级数学下册(人教版)_专题突破练习-V4
专题16.14二次根式的运算100题(分层练习)(提升练)(人教版)_初中数学_八年级数学下册(人教版)_专题突破练习-V4
专题16.14二次根式的运算100题(分层练习)(提升练)(人教版)_初中数学_八年级数学下册(人教版)_专题突破练习-V4
专题16.14二次根式的运算100题(分层练习)(提升练)(人教版)_初中数学_八年级数学下册(人教版)_专题突破练习-V4
专题16.14二次根式的运算100题(分层练习)(提升练)(人教版)_初中数学_八年级数学下册(人教版)_专题突破练习-V4
专题16.14二次根式的运算100题(分层练习)(提升练)(人教版)_初中数学_八年级数学下册(人教版)_专题突破练习-V4
专题16.14二次根式的运算100题(分层练习)(提升练)(人教版)_初中数学_八年级数学下册(人教版)_专题突破练习-V4
专题16.14二次根式的运算100题(分层练习)(提升练)(人教版)_初中数学_八年级数学下册(人教版)_专题突破练习-V4
专题16.14二次根式的运算100题(分层练习)(提升练)(人教版)_初中数学_八年级数学下册(人教版)_专题突破练习-V4
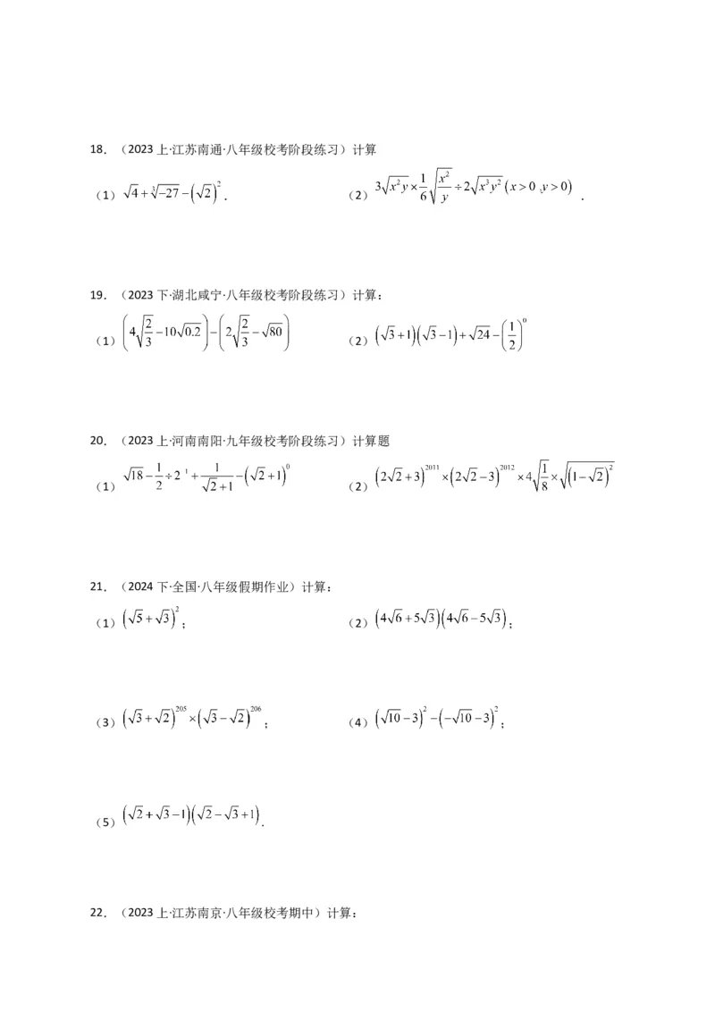
专题16.14二次根式的运算100题(分层练习)(提升练)(人教版)_初中数学_八年级数学下册(人教版)_专题突破练习-V4
专题16.14二次根式的运算100题(分层练习)(提升练)(人教版)_初中数学_八年级数学下册(人教版)_专题突破练习-V4
专题16.14二次根式的运算100题(分层练习)(提升练)(人教版)_初中数学_八年级数学下册(人教版)_专题突破练习-V4
专题16.14二次根式的运算100题(分层练习)(提升练)(人教版)_初中数学_八年级数学下册(人教版)_专题突破练习-V4
专题16.14二次根式的运算100题(分层练习)(提升练)(人教版)_初中数学_八年级数学下册(人教版)_专题突破练习-V4
专题16.14二次根式的运算100题(分层练习)(提升练)(人教版)_初中数学_八年级数学下册(人教版)_专题突破练习-V4
专题16.14二次根式的运算100题(分层练习)(提升练)(人教版)_初中数学_八年级数学下册(人教版)_专题突破练习-V4
专题16.14二次根式的运算100题(分层练习)(提升练)(人教版)_初中数学_八年级数学下册(人教版)_专题突破练习-V4
专题16.14二次根式的运算100题(分层练习)(提升练)(人教版)_初中数学_八年级数学下册(人教版)_专题突破练习-V4
专题16.14二次根式的运算100题(分层练习)(提升练)(人教版)_初中数学_八年级数学下册(人教版)_专题突破练习-V4
专题16.14二次根式的运算100题(分层练习)(提升练)(人教版)_初中数学_八年级数学下册(人教版)_专题突破练习-V4
专题16.14二次根式的运算100题(分层练习)(提升练)(人教版)_初中数学_八年级数学下册(人教版)_专题突破练习-V4
专题16.14二次根式的运算100题(分层练习)(提升练)(人教版)_初中数学_八年级数学下册(人教版)_专题突破练习-V4
专题16.14二次根式的运算100题(分层练习)(提升练)(人教版)_初中数学_八年级数学下册(人教版)_专题突破练习-V4
专题16.14二次根式的运算100题(分层练习)(提升练)(人教版)_初中数学_八年级数学下册(人教版)_专题突破练习-V4
专题16.14二次根式的运算100题(分层练习)(提升练)(人教版)_初中数学_八年级数学下册(人教版)_专题突破练习-V4
专题16.14二次根式的运算100题(分层练习)(提升练)(人教版)_初中数学_八年级数学下册(人教版)_专题突破练习-V4
专题16.14二次根式的运算100题(分层练习)(提升练)(人教版)_初中数学_八年级数学下册(人教版)_专题突破练习-V4
专题16.14二次根式的运算100题(分层练习)(提升练)(人教版)_初中数学_八年级数学下册(人教版)_专题突破练习-V4
专题16.14二次根式的运算100题(分层练习)(提升练)(人教版)_初中数学_八年级数学下册(人教版)_专题突破练习-V4
专题16.14二次根式的运算100题(分层练习)(提升练)(人教版)_初中数学_八年级数学下册(人教版)_专题突破练习-V4
专题16.14二次根式的运算100题(分层练习)(提升练)(人教版)_初中数学_八年级数学下册(人教版)_专题突破练习-V4
专题16.14二次根式的运算100题(分层练习)(提升练)(人教版)_初中数学_八年级数学下册(人教版)_专题突破练习-V4
专题16.14二次根式的运算100题(分层练习)(提升练)(人教版)_初中数学_八年级数学下册(人教版)_专题突破练习-V4
专题16.14二次根式的运算100题(分层练习)(提升练)(人教版)_初中数学_八年级数学下册(人教版)_专题突破练习-V4
专题16.14二次根式的运算100题(分层练习)(提升练)(人教版)_初中数学_八年级数学下册(人教版)_专题突破练习-V4
专题16.14二次根式的运算100题(分层练习)(提升练)(人教版)_初中数学_八年级数学下册(人教版)_专题突破练习-V4
专题16.14二次根式的运算100题(分层练习)(提升练)(人教版)_初中数学_八年级数学下册(人教版)_专题突破练习-V4
专题16.14二次根式的运算100题(分层练习)(提升练)(人教版)_初中数学_八年级数学下册(人教版)_专题突破练习-V4
专题16.14二次根式的运算100题(分层练习)(提升练)(人教版)_初中数学_八年级数学下册(人教版)_专题突破练习-V4
专题16.14二次根式的运算100题(分层练习)(提升练)(人教版)_初中数学_八年级数学下册(人教版)_专题突破练习-V4
专题16.14二次根式的运算100题(分层练习)(提升练)(人教版)_初中数学_八年级数学下册(人教版)_专题突破练习-V4
专题16.14二次根式的运算100题(分层练习)(提升练)(人教版)_初中数学_八年级数学下册(人教版)_专题突破练习-V4
专题16.14二次根式的运算100题(分层练习)(提升练)(人教版)_初中数学_八年级数学下册(人教版)_专题突破练习-V4
专题16.14二次根式的运算100题(分层练习)(提升练)(人教版)_初中数学_八年级数学下册(人教版)_专题突破练习-V4
专题16.14二次根式的运算100题(分层练习)(提升练)(人教版)_初中数学_八年级数学下册(人教版)_专题突破练习-V4
专题16.14二次根式的运算100题(分层练习)(提升练)(人教版)_初中数学_八年级数学下册(人教版)_专题突破练习-V4
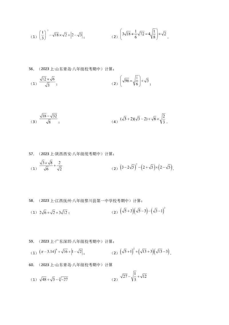
专题16.14二次根式的运算100题(分层练习)(提升练)(人教版)_初中数学_八年级数学下册(人教版)_专题突破练习-V4
专题16.14二次根式的运算100题(分层练习)(提升练)(人教版)_初中数学_八年级数学下册(人教版)_专题突破练习-V4
专题16.14二次根式的运算100题(分层练习)(提升练)(人教版)_初中数学_八年级数学下册(人教版)_专题突破练习-V4
专题16.14二次根式的运算100题(分层练习)(提升练)(人教版)_初中数学_八年级数学下册(人教版)_专题突破练习-V4
专题16.14二次根式的运算100题(分层练习)(提升练)(人教版)_初中数学_八年级数学下册(人教版)_专题突破练习-V4
专题16.14二次根式的运算100题(分层练习)(提升练)(人教版)_初中数学_八年级数学下册(人教版)_专题突破练习-V4
专题16.14二次根式的运算100题(分层练习)(提升练)(人教版)_初中数学_八年级数学下册(人教版)_专题突破练习-V4
专题16.14二次根式的运算100题(分层练习)(提升练)(人教版)_初中数学_八年级数学下册(人教版)_专题突破练习-V4
专题16.14二次根式的运算100题(分层练习)(提升练)(人教版)_初中数学_八年级数学下册(人教版)_专题突破练习-V4
专题16.14二次根式的运算100题(分层练习)(提升练)(人教版)_初中数学_八年级数学下册(人教版)_专题突破练习-V4
专题16.14二次根式的运算100题(分层练习)(提升练)(人教版)_初中数学_八年级数学下册(人教版)_专题突破练习-V4
专题16.14二次根式的运算100题(分层练习)(提升练)(人教版)_初中数学_八年级数学下册(人教版)_专题突破练习-V4
专题16.14二次根式的运算100题(分层练习)(提升练)(人教版)_初中数学_八年级数学下册(人教版)_专题突破练习-V4
专题16.14二次根式的运算100题(分层练习)(提升练)(人教版)_初中数学_八年级数学下册(人教版)_专题突破练习-V4
专题16.14二次根式的运算100题(分层练习)(提升练)(人教版)_初中数学_八年级数学下册(人教版)_专题突破练习-V4
专题16.14二次根式的运算100题(分层练习)(提升练)(人教版)_初中数学_八年级数学下册(人教版)_专题突破练习-V4
专题16.14二次根式的运算100题(分层练习)(提升练)(人教版)_初中数学_八年级数学下册(人教版)_专题突破练习-V4
专题16.14二次根式的运算100题(分层练习)(提升练)(人教版)_初中数学_八年级数学下册(人教版)_专题突破练习-V4
专题16.14二次根式的运算100题(分层练习)(提升练)(人教版)_初中数学_八年级数学下册(人教版)_专题突破练习-V4
专题16.14二次根式的运算100题(分层练习)(提升练)(人教版)_初中数学_八年级数学下册(人教版)_专题突破练习-V4
专题16.14二次根式的运算100题(分层练习)(提升练)(人教版)_初中数学_八年级数学下册(人教版)_专题突破练习-V4
专题16.14二次根式的运算100题(分层练习)(提升练)(人教版)_初中数学_八年级数学下册(人教版)_专题突破练习-V4
专题16.14二次根式的运算100题(分层练习)(提升练)(人教版)_初中数学_八年级数学下册(人教版)_专题突破练习-V4
专题16.14二次根式的运算100题(分层练习)(提升练)(人教版)_初中数学_八年级数学下册(人教版)_专题突破练习-V4
专题16.14二次根式的运算100题(分层练习)(提升练)(人教版)_初中数学_八年级数学下册(人教版)_专题突破练习-V4
专题16.14二次根式的运算100题(分层练习)(提升练)(人教版)_初中数学_八年级数学下册(人教版)_专题突破练习-V4
专题16.14二次根式的运算100题(分层练习)(提升练)(人教版)_初中数学_八年级数学下册(人教版)_专题突破练习-V4
专题16.14二次根式的运算100题(分层练习)(提升练)(人教版)_初中数学_八年级数学下册(人教版)_专题突破练习-V4
专题16.14二次根式的运算100题(分层练习)(提升练)(人教版)_初中数学_八年级数学下册(人教版)_专题突破练习-V4
专题16.14二次根式的运算100题(分层练习)(提升练)(人教版)_初中数学_八年级数学下册(人教版)_专题突破练习-V4
专题16.14二次根式的运算100题(分层练习)(提升练)(人教版)_初中数学_八年级数学下册(人教版)_专题突破练习-V4
专题16.14二次根式的运算100题(分层练习)(提升练)(人教版)_初中数学_八年级数学下册(人教版)_专题突破练习-V4
专题16.14二次根式的运算100题(分层练习)(提升练)(人教版)_初中数学_八年级数学下册(人教版)_专题突破练习-V4
专题16.14二次根式的运算100题(分层练习)(提升练)(人教版)_初中数学_八年级数学下册(人教版)_专题突破练习-V4
专题16.14二次根式的运算100题(分层练习)(提升练)(人教版)_初中数学_八年级数学下册(人教版)_专题突破练习-V4
专题16.14二次根式的运算100题(分层练习)(提升练)(人教版)_初中数学_八年级数学下册(人教版)_专题突破练习-V4
专题16.14二次根式的运算100题(分层练习)(提升练)(人教版)_初中数学_八年级数学下册(人教版)_专题突破练习-V4
专题16.14二次根式的运算100题(分层练习)(提升练)(人教版)_初中数学_八年级数学下册(人教版)_专题突破练习-V4

文档信息

文档格式
docx
文档大小
3.729 MB
文档页数
85 页
上传时间
2026-04-06 06:36:28

文档内容

专题16.14 二次根式的运算100 题(分层练习)(提升练) 1.(2023上·黑龙江哈尔滨·八年级校联考期末)计算 (1) (2) 2.(2023上·河南郑州·八年级校考期中)计算 (1) (2) 3.(2024上·四川达州·八年级四川省渠县中学校考期末)计算: (1) ; (2) . 4.(2023上·辽宁沈阳·八年级统考期末)计算 (1) (2) 5.(2024上·河南周口·九年级校联考期末)求下列各式的值: (1) ; (2) 6.(2024上·四川达州·八年级校考期末)计算下列各题:(1) (2) 7.(2023上·辽宁沈阳·八年级统考期末)计算 (1) ; (2) . 8.(2023上·吉林长春·八年级校考期末)计算: (1) ; (2) . 9.(2023上·河南郑州·八年级校考阶段练习)计算: (1) ; (2) . 10.(2023上·河北石家庄·八年级校考阶段练习)计算: (1) ; (2) . 11.(2023上·四川宜宾·九年级校考阶段练习)计算: (1) (2) 12.(2023上·河南郑州·八年级校考期中)计算:(1) ; (2) . 13.(2023上·辽宁沈阳·八年级沈阳市第一二六中学校考期中)计算: (1) ; (2) . 14.(2023上·四川成都·八年级成都外国语学校校考期中)计算∶ (1) (2) 15.(2023下·新疆阿克苏·八年级期末)计算: (1) (2) 16.(2023上·陕西西安·八年级校考阶段练习)计算: (1) (2) 17.(2023上·江苏南通·八年级校考阶段练习)计算: (1) ; (2) .18.(2023上·江苏南通·八年级校考阶段练习)计算 (1) . (2) . 19.(2023下·湖北咸宁·八年级校考阶段练习)计算: (1) (2) 20.(2023上·河南南阳·九年级校考阶段练习)计算题 (1) (2) 21.(2024下·全国·八年级假期作业)计算: (1) ; (2) ; (3) ; (4) ; (5) . 22.(2023上·江苏南京·八年级校考期中)计算:(1) ; (2) . 23.(2023上·河南南阳·九年级统考阶段练习)计算: (1) ; (2) . 24.(2023下·广东广州·八年级广州市第八十九中学校考期中)计算: (1) (2) 25.(2023上·陕西西安·八年级校考阶段练习)计算 (1) ; (2) . 26.(2023上·河北保定·八年级校考阶段练习)计算: (1) (2) 27.(2023上·陕西西安·八年级校考阶段练习)计算: (1) . (2) . 28.(2023上·四川宜宾·九年级校考阶段练习)计算(1) ; (2) . 29.(2023上·河北秦皇岛·八年级校考阶段练习)计算: (1) (2) (3) (4) 30.(2023上·辽宁阜新·八年级校考阶段练习)计算: (1) ; (2) . 31.(2023上·四川达州·八年级校考期中)计算下列各题: (1) ; (2) . 32.(2023上·四川达州·八年级校考期末)计算: (1) (2) . 33.(2023上·陕西西安·八年级校考期中)计算:(1) ; (2) . 34.(2023上·四川达州·八年级达州市第一中学校校考阶段练习)化简: (1) ; (2) . 35.(2022下·湖北武汉·八年级校考阶段练习) (1)计算 (2) 36.(2023上·河南洛阳·九年级统考期中)计算: (1) ; (2) . 37.(2023上·河南周口·九年级统考期中)计算. (1) (2) 38.(2023上·广东佛山·八年级校考阶段练习)计算: (1) ; (2) . 39.(2023上·吉林长春·八年级长春市解放大路学校校考期中)计算.(1) (2) 40.(2024上·广东佛山·八年级校考阶段练习)计算: (1) (2) 41.(2023下·天津河东·七年级天津市第七中学校考期中)计算: (1) ; (2) . 42.(2023上·河南驻马店·八年级统考期中)计算 (1) ; (2) . 43.(2023上·四川达州·八年级校考期中)计算: (1) ; (2) . 44.(2023上·四川成都·八年级校考期中)计算: (1) ; (2) . 45.(2023上·河南平顶山·八年级统考期中)计算:(1) ; (2) . 46.(2023上·河南南阳·九年级统考期中)计算: (1) ; (2) . 47.(2023上·河南南阳·九年级统考期中)计算: (1) (2) 48.(2023上·江苏无锡·八年级江苏省锡山高级中学实验学校校考期中)计算: (1) (2) (3) (4) 49.(2023上·辽宁沈阳·八年级沈阳市第四十三中学校考期中)计算: (1) (2) 50.(2023上·山东菏泽·八年级统考期中)计算下列各题 (1) (2)(3) (4) 51.(2023上·吉林长春·八年级东北师大附中校考期中)计算: (1) ; (2) ; (3) ; (4) . 52.(2023上·重庆·九年级重庆第二外国语学校校考期中)计算: (1) ; (2) . 53.(2022上·黑龙江齐齐哈尔·八年级统考期末)计算 (1) ; (2) . 54.(2023上·江苏苏州·八年级苏州市振华中学校校考期中)计算 (1) ; (2) ( , ). 55.(2023上·重庆·八年级重庆市商务学校(重庆市第九十四初级中学校)校考阶段练习)计算:(1) ; (2) . 56.(2023上·山东青岛·八年级校考期中)计算: (1) ; (2) ; (3) ; (4) . 57.(2023上·陕西西安·八年级统考期中)计算: (1) (2) . 58.(2023上·江西抚州·八年级黎川县第一中学校考期中)计算: (1) ; (2) 59.(2023上·广东深圳·八年级校考期中)计算: (1) ; (2) . 60.(2023上·山东青岛·八年级校考期中)计算 (1) (2)(3) (4) 61.(2023上·山东济南·八年级统考期中)计算: (1) ; (2) . 62.(2023上·陕西西安·八年级西安市第三中学校考期中)计算: (1) ; (2) ; (3) ; (4) . 63.(2023上·辽宁沈阳·八年级统考阶段练习)计算: (1) . (2) . (3) ; (4) . 64.(2023上·山东枣庄·八年级统考期中)计算(1) (2) (3) ) (4) 65.(2023上·山东青岛·八年级校考期中)计算: (1) (2) (3) (4) 66.(2023上·吉林长春·八年级校考期中)计算: (1) ; (2) ; (3) ; (4) . 67.(2023上·山东青岛·八年级统考期中)计算: (1) (2)(3) (4) 68.(2023上·北京房山·八年级统考期中)计算: (1) (2) 69.(2023上·广东深圳·八年级深圳市海湾中学校考期中)计算 (1) (2) 70.(2023上·山东济南·八年级统考期中)计算: (1) ; (2) . 71.(2023上·山西临汾·九年级统考期中)计算. (1) . (2) . 72.(2023上·贵州贵阳·八年级校考期中)计算: (1) ; (2) ;(3) ; (4) . 73.(2023上·广东深圳·八年级深圳市光明区公明中学校联考期中)计算: (1) (2) 74.(2023上·四川遂宁·九年级射洪中学校考期中)计算: (1) ; (2) ; 75.(2023上·陕西西安·八年级西安市第八十五中学校考期中)计算: (1) ; (2) ; (3) ; (4) . 76.(2023上·江苏苏州·八年级统考期中)计算: (1) ; (2) . 77.(2023上·广东深圳·八年级统考期中)计算: (1) ; (2) ;(3) ; (4) . 78.(2023上·安徽宿州·八年级统考期中)计算: (1) . (2) . 79.(2023上·山东枣庄·八年级校考阶段练习)计算: (1) ; (2) ; (3) ; (4) . 80.(2023上·山东枣庄·八年级统考期中)计算下列各题: (1) (2) (3) (4) 81.(2023上·甘肃兰州·八年级校考期中)计算(1) ; (2) ; (3) ; (4) . 82.(2023上·江苏淮安·八年级校联考期中)计算: (1) ; (2) . 83.(2023上·江苏泰州·八年级校考期中)计算: (1) (2) 84.(2023上·福建三明·八年级统考期中)计算: (1) ; (2) . 85.(2023上·福建泉州·九年级校联考期中)计算: (1) (2) 86.(2023上·辽宁沈阳·八年级沈阳市育源中学校考期中)(1)计算: (2)计算: 87.(2023上·内蒙古包头·八年级包头市第二十九中学校考期中)计算: (1) ; (2) ; (3) ; (4) . 88.(2023上·辽宁沈阳·八年级统考期中)计算: (1) ; (2) ; (3) ; (4) . 89.(2023上·山东菏泽·八年级统考期中)计算 (1) ; (2) . 90.(2023上·广东佛山·八年级校考期中)计算: (1) ; (2) .91.(2023上·山东菏泽·八年级统考期中)计算: (1) ; (2) ; (3) ; (4) . 92.(2023上·陕西汉中·八年级校考期中)计算: (1) ; (2) ; (3)( )× ; (4) . 93.(2023上·上海奉贤·八年级统考期中)计算题 (1)计算: ; (2)计算: ; 94.(2023上·山东青岛·八年级统考期中)计算: (1) ; (2) ;(3) ; (4) . 95.(2023上·山东枣庄·八年级统考期中)计算 (1) (2) (3) (4) 96.(2023上·福建漳州·八年级校联考期中)计算 (1) (2) 97.(2023上·广东深圳·八年级校考期中)计算: (1) (2) (3) (4) 98.(2023上·山东青岛·八年级校考阶段练习)计算 (1) (2)(3) (4) 99.(2023上·山东菏泽·八年级校考阶段练习)计算: (1) (2) (3) (4) 100.(2023上·陕西西安·八年级校考阶段练习)计算 (1) ; (2) ; (3) ; (4) . 参考答案: 1.(1) ;(2) 【分析】本题主要考查了二次根式的混合计算和乘法公式,解题的关键在于能够熟练掌握相关知识进 行求解. (1)根据二次根式的混合运算计算法则求解即可; (2)利用完全平方公式求解即可.解:(1)原式 ; (2)原式 2.(1) ;(2) 【分析】本题主要考查了二次根式的混合计算,零指数幂,熟知二次根式的混合计算法则是解题的关 键. (1)先化简括号内的二次根式,再合并同类二次根式,最后根据二次根式的除法计算法则求解即可; (2)先根据同底数幂乘法的逆运算和积的乘方的逆运算把原式变形为 ,再根据二次根式的混合计算法则求解即可. (1)解:原式 ; (2)解:原式3.(1)1;(2) 【分析】本题主要考查了二次根式的乘除混合计算,二次根式的四则混合计算,熟知相关计算法则是 解题的关键. (1)根据二次根式的乘除混合计算法则求解即可; (2)根据二次根式的四则混合计算法则求解即可. (1)解:原式 ; (2)解:原式 . 4.(1) ;(2) 【分析】本题考查实数的混合运算、零指数幂、二次根式的混合运算,熟练掌握相关运算法则是解答 的关键. (1)先化简二次根式,去绝对值,计算零指数幂,再进行加减运算即可; (2)根据二次根式的混合运算法则,进行计算即可. (1)解:原式 ; (2)原式 .5.(1) ;(2) 【分析】本题考查二次根式的混合运算. (1)先化简各式,再合并同类二次根式即可; (2)利用平方差公式和完全平方公式进行计算后,再合并同类二次根式即可. 掌握相关运算法则,是解题的关键. (1)解:原式 ; (2)原式 . 6.(1) ;(2) 【分析】(1)首先根据二次根式的性质、绝对值的性质、负整数指数幂运算法则、零指数幂运算法 则进行运算,然后相加减即可; (2)首先根据二次根式乘法运算法则和完全平方公式进行运算,然后相加减即可. (1)解:原式 ; (2)解:原式 . 【点拨】本题主要考查了二次根式混合运算、负整数指数幂、零指数幂、完全平方公式、化简绝对值 等知识,熟练掌握相关运算法则是解题关键. 7.(1) ;(2) 【分析】本题考查二次根式的混合运算,熟练掌握二次根式的运算法则和运算顺序是解题的关键. (1)根据立方根、绝对值、算术平方根计算即可; (2)去括号,化为最简二次根式合并即可求解. (1)解:; (2) . 8.(1) ;(2) 【分析】本题考查了二次根式、整式混合运算,熟练掌握运算法则是解本题的关键. (1)先计算乘法,在计算加减即可; (2)原式的第一项利用乘方的意义化简,第二项利用零指数幂法则计算,第三项利用负指数幂法则 计算即可得到结果. 解:(1)原式 ; (2)原式 . 9.(1) ;(2) 【分析】本题考查了有理数的混合运算,平方差公式,二次根式的混合运算. (1)根据乘方,绝对值,算术平方根计算即可. (2)根据二次根式性质和除法,平方差公式计算即可. (1)解:. (2)解: . 10.(1) ;(2) . 【分析】本题主要考查了二次根式的混合运算,二次根式的化简,完全平方公式及平方差公式计算二 次根式,熟练掌握二次根式的混合运算是解题的关键. (1)先化简二次根式,再合并即可得解; (2)先利用完全平方公式及平方差公式计算二次根式,再合并即可得解. (1)解: ; (2)解: . 11.(1) ;(2) 【分析】本题考查了二次根式的混合运算; (1)先化简二次根式,计算二次根式的加减,再把除法变成乘法进行计算即可;(2)根据二次根式的运算法则计算即可. (1)解:原式 ; (2)解:原式 . 12.(1)6;(2) 【分析】本题考查了二次根式的混合运算. (1)先把各二次根式化为最简二次根式,再把括号内合并后进行二次根式的除法运算,然后分母有 理化后合并即可; (2)先根据平方差公式、负整数指数幂和二次根式的性质计算,然后合并即可. (1)解: ;(2)解: . 13.(1) ;(2) 【分析】(1)先分别计算负整数指数幂,零指数幂,化简绝对值,然后进行加减运算即可; (2)先利用二次根式的性质进行化简,进行乘除运算,然后进行加减运算即可. (1)解: ; (2)解: . 【点拨】本题考查了负整数指数幂,零指数幂,化简绝对值,利用二次根式的性质进行化简,二次根 式的混合运算.熟练掌握负整数指数幂,零指数幂,化简绝对值,利用二次根式的性质进行化简,二次根 式的混合运算是解题的关键. 14.(1) ;(2) 【分析】(1)根据二次根式混合运算法则先计算乘除,然后计算加减; (2)首先计算负整指数幂,零整指数幂,立方根,化简绝对值,然后计算加减. 解:(1); (2) . 【点拨】本题考查二次根式混合运算,负整指数幂,零整指数幂,立方根,熟练掌握二次根式的运算 法则是解题的关键. 15.(1)-3;(2)3 【分析】本题考查了二次根式的乘除混合运算,二次根式的性质,平方差公式,熟练掌握运算法则和 性质是解题的关键. (1)首先计算零指数幂、开方和绝对值,然后按照从左向右计算,求出算式的值即可. (2)利用平方差公式、开方和通分,运用实数的计算法则进行求解即可. 解:(1) (2) 16.(1) ;(2)2 【分析】本题考查了二次根式混合运算和整数指数幂,按照运算顺序进行计算是解题的关键.(1)先化简各式,然后再进行计算即可; (2)按照运算顺序,先算乘除,后算加减,然后进行计算即可. (1)解: ; (2)解: . 17.(1) ;(2) 【分析】本题考查二次根式的混合运算.掌握二次根式的混合运算法则是解题关键. (1)先利用二次根式的性质化简,计算零指数幂,负整数指数幂,再计算加减即可; (2)根据二次根式的混合运算法则计算即可. (1)解: ; (2)解: . 18.(1) ;(2)【分析】本题考查了二次根式的混合运算,解题关键是掌握“ ”,难点在将 结果化为最简二次根式(根号下不含开的尽方的因式、分母不含有根式). (1)将二次根式化为最简,进而即可求解; (2)利用 可对二次根式化简,最后利用分母有理化即可得最简结果. (1)解: ; (2) . 19.(1) ;(2) 【分析】本题考查了二次根式的混合运算和零指数幂. (1)去括号,分别化简每个二次根式,再作加减法; (2)先化简括号内的部分,再算除法和乘方,最后作加减法. 解:(1)原式 (2)原式20.(1) ;(2) 【分析】本题主要考查了二次根式、实数的综合运算能力; (1)根据零次幂的性质、负整指数幂的性质、二次根式的性质化简,进行实数的计算即可; (2)根据平方差公式和积的乘方的运算性质,二次根式的性质计算即可. (1)解: (2)解: 21.(1) ;(2)21;(3) ;(4) ;(5) 解:(1)原式 . (2)原式 .(3)原式 . (4)原式 . (5)原式 . 22.(1)6;(2) 【分析】本题考查了二次根式的混合运算,熟练掌握二次根式的性质、二次根式的乘法和除法法则是 解决问题的关键. (1)先把各二次根式化为最简二次根式,然后把括号内合并后进行二次根式的除法运算; (2)先把各二次根式化为最简二次根式,再进行二次根式的乘法运算,然后合并即可. (1)解:(2) 23.(1) ;(2)2 【分析】本题考查了二次根式的混合运算、负整数指数幂与零指数幂等知识,熟练掌握各运算法则是 解题关键. (1)先化简二次根式,再计算二次根式的乘法与加减法即可得; (2)先计算负整数指数幂与零指数幂、化简二次根式和绝对值,再计算乘法与加减法即可得. (1)解:原式 . (2)解:原式 . 24.(1) ;(2) 【分析】本题主要考查了二次根式的混合运算,熟练掌握运算法则是解题的关键. (1)先根据二次根式的乘法法则运算,然后化简后合并即可; (2)化简后根据加减运算法则进行计算. (1)解:原式; (2)解:原式 . 25.(1) ;(2) 【分析】本题考查了二次根式的混合运算,乘法公式,负整数指数幂,掌握相关运算法则是解题关键. (1)先化简绝对值、负整数指数幂、二次根式,再合并同类项即可; (2)先根据平方差公式和完全平方公式展开,再去括号、合并同类项即可. (1)解: ; (2)解: . 26.(1) ;(2) 【分析】本题考查了二次根式的混合运算,乘法公式,熟练掌握相关运算法则是解题关键. (1)利用二次根式的混合运算法则计算即可; (2)先利用完全平方公式和平方差公式展开,再合并同类项即可. (1)解: ;(2)解: . 27.(1) ;(2) 【分析】本题主要考查了二次根式的混合计算,零指数幂和负整数指数幂,熟知相关计算法则是解题 的关键. (1)先化简二次根式,再计算二次根式乘法,最后计算二次根式的加减法即可; (2)先计算零指数幂,负整数指数幂和二次根式的乘除法,再去绝对值,最后计算加减法即可. (1)解:原式 ; (2)解:原式 . 28.(1) ;(2)4 【分析】本题主要考查了二次根式的混合计算,零指数幂和含乘方的有理数混合计算,熟知相关计算 法则是解题的关键. (1)先计算零指数幂和有理数的乘方,再计算绝对值,最后计算加减法即可; (2)先根据完全平方公式去括号,然后计算二次根式乘法,最后合并即可得到答案. (1)解:原式; (2)解:原式 . 29.(1) ;(2) ;(3) ;(4) 【分析】此题考查了二次根式的运算,涉及乘法公式, (1)利用二次根式的乘法法则计算即可; (2)先去括号,再进行二次根式的加减运算即可; (3)利用完全平方公式计算,再去括号,最后进行加减运算即可; (4)先化简各二次根式,再把除法转化为乘法,再进行二次根式的乘法运算即可. 熟练掌握二次根式的运算法则和顺序是解题的关键. 解:(1) (2) (3) (4)30.(1) ;(2) 【分析】本题考查二次根式的混合运算,零次幂,平方差和完全平方公式: (1)根据二次根式分母有理化、二次根式的性质、平方差公式进行计算; (2)根据完全平方公式,绝对值的性质和零次幂运算法则进行计算. (1)解: (2)解: 31.(1) ;(2) . 【分析】( )根据二次根式的乘法运算即可; ( )根据二次根式的乘法和完全平方公式依此计算即可; 此题考查了二次根式的混合运算,熟练掌握运算法则是解题的关键. (1)解:原式, ; (2)解:原式 , , , . 32.(1) ;(2)1 【分析】本题考查了二次根式的混合运算, (1)根据根式的性质进行化简,然后合并同类二次根式即可; (2)根据根式的性质进行化简,先算乘除,然后合并同类二次根式即可. 本题考查了二次根式的混合运算,掌握二次根式的性质,选择恰当的解题方法是解答本题的关键. (1)解:原式 ; (2)解:原式 . 33.(1) ;(2) 【分析】本题考查了二次根式的混合运算; (1)先化简各二次根式,再根据二次根式的乘除运算法则进行计算; (2)先利用完全平方公式和平方差公式展开,再进一步计算. (1)解:原式 ; (2)解:原式. 34.(1) ;(2)0 【分析】本题主要考查二次根式的混合运算,解答的是对相应的运算法则的掌握. (1)先算二次根式的乘除法,二次根式的化简,再算加减即可; (2)利用二次根式的乘法的法则进行运算即可. 解:(1) (2)解:原式 35.(1) ;(2) 【分析】本题考查了二次根式的混合运算,熟练掌握二次根式的性质、二次根式的乘法是解决问题的 关键. (1)先把各二次根式化为最简二次根式,然后去括号后合并即可; (2)先把各二次根式化为最简二次根式,再把括号内合并,然后进行二次根式的乘法运算. 解:(1)原式 ; (2)原式36.(1) ;(2) 【分析】本题考查了二次根式的混合运算; (1)先利用二次根式的性质化简,再合并同类二次根式; (2)先利用二次根式的性质化简,同时利用二次根式的除法法则和完全平方公式进行计算,再合并 同类二次根式. (1)解:原式 ; (2)原式 . 37.(1) ;(2) 【分析】(1)先把二次根式化简成最简二次根式,再合并同类二次根式即可; (2)利用完全平方公式和平方差公式进行计算,再进行加减运算即可; 此题考查了二次根式的混合运算,熟练掌握二次根式的运算法则和乘法公式是解题的关键. (1)解: (2) 38.(1) ;(2) . 【分析】( )根据算术平方根、有理数的乘方、立方根、化简绝对值的有关概念和性质分别计算, 即可得到答案; ( )根据二次根式的混合运算法则即可算;此题考查了实数和二次根式混合运算,解题的关键是熟练掌握运算法则. (1)解:原式 , , ; (2)解:原式 , , , . 39.(1) ;(2) 【分析】本题考查了二次根式的混合运算: (1)先利用二次根式的除法法则运算,然后化简二次根式后进行有理数的混合运算; (2)先把各二次根式化为最简二次根式,再进行二次根式的除法运算,然后合并即可. (1)解: ; (2)解: . 40.(1) ;(2) 【分析】本题主要考查了二次根式的混合运算, (1)首先化简二次根式,然后再计算加减即可;(2)利用乘法分配律先算乘法,然后再计算加减即可; 关键是掌握运算顺序先乘方再乘除,最后加减,有括号的先算括号里面的. 解:(1) (2) 41.(1) ;(2) 【分析】本题考查了二次根式的运算,解题的关键是将式子正确化简. (1)首先计算二次根式的乘法,然后计算加减,求出算式的值即可; (2)首先计算开立方和绝对值,然后计算加减,求出算式的值即可. 解:(1) ; (2) .42.(1) ;(2)1 【分析】此题主要考查了二次根式的混合运算正确化简二次根式是解题关键; (1)直接化简二次根式,进而合并得出答案; (2)直接利用二次根式的性质、完全平方公式化简,进而计算得出答案; 解:(1)原式 ; (2)原式 . 43.(1) ;(2) 【分析】本题考查了二次根式的混合运算,平方差公式以及完全平方公式,熟练掌握相关运算法则是 解题关键. (1)先将二次根式化简,再计算乘法,最后计算加减法即可; (2)先根据平方差公式和完全平方公式,再根据二次根式的混合运算法则计算即可. (1)解: ; (2)解: .44.(1) ;(2) 【分析】(1)根据0指数幂,负整数指数幂,二次根式的化简,二次根式的除法,绝对值的意义等知 识进行化简,再进行加减运算即可求解; (2)先根据完全平方公式、平方差根式进行计算,再去括号进行加减运算即可求解. (1)解: ; (2)解: = . 【点拨】本题考查了0指数幂,负整数指数幂,二次根式的化简,二次根式的除法,绝对值的意义, 二次根式的混合运算等知识,熟知相关知识,正确进行化简是解题关键. 45.(1) ;(2) . 【分析】( )根据二次根式的乘法和除法运算,然后再合并同类二次根式即可; ( )分别化简二次根式和开立方,然后再合并同类二次根式即可; 此题考查了二次根式的混合运算,熟练掌握运算法则是解本题的关键. 解:(1)原式 ; (2)原式 ;46.(1) ;(2) 【分析】本题考查了二次根式的混合运算,掌握二次根式的性质,选择恰当的解题方法,是解答本题 的关键. (1)先把二次根式化为最简二次根式,然后合并同类二次根式,得到答案. (2)先把分式中的二次根式化为最简二次根式,利用平方差公式将括号去掉,然后化简整理,求出 答案. (1)解: . (2) . 47.(1) ;(2)1 【分析】(1)本题考查的是实数的运算,先根据实数的乘除法则进行计算,再进行实数的加减即可; 各种运算律的灵活应用是解决此题的关键; (2)先利用完全平方公式计算,然利用平方差计算即可. 解:(1); (2) . 48.(1) ;(2) ;(3) ;(4) 【分析】本题主要考查了实数的混合运算,二次根式的加减法以及二次根式的混合运算: (1)原式先将 化简为 ,然后再合并即可得到答案; (2)原式先化简绝对值和计算零指数幂,最后进行加法运算即可; (3)原式先将 化简为 ,然后再合并即可得到答案; (4)原式运用乘法分配律进行计算即可 解:(1) ; (2) ;(3) ; (4) 49.(1) ;(2) 【分析】本题考查的是负整数指数幂的含义,实数的混合运算,二次根式的混合运算,掌握运算法则 是解本题的关键; (1)先计算乘方,负整数指数幂,化简绝对值,求解立方根,再合并即可; (2)先计算二次根式的乘法运算,再合并即可. (1)解: ; (2); 50.(1)0;(2)3;(3) ;(4) 【分析】(1)先进行化简,再进行二次根式的加减即可求解; (2)根据二次根式的乘除法则进行计算即可求解; (3)先去括号,再进行二次根式加减即可求解; (4)先根据二次根式、绝对值的、乘方的意义进行化简,再进行计算即可求解. (1)解:原式 ; (2)解:原式 ; (3)解:原式 ; (4)解:原式 . 【点拨】本题考查了二次根式的加减乘除等运算,二次根式的性质,绝对值的化简,开立方运算等知 识,熟知相关知识,并正确计算是解题关键. 51.(1) ;(2) ;(3) ;(4) . 【分析】(1)去括号,合并同类项计算即可; (2)利用单项式乘多项式法则及平方差公式计算即可; (3)利用绝对值的性质,立方根的定义及零指数幂计算即可; (4)利用二次根式的乘除法则计算后再合并同类二次根式即可. (1)解: ; (2) ; (3); (4) . 【点拨】本题考查了整式的加减,多项式乘以单项式,多项式乘以多项式,平方差公式的应用,求解 立方根,零次幂的含义,二次根式的混合运算,熟记相关的运算法则是解本题的关键. 52.(1)6;(2) 【分析】本题考查实数的混合运算,二次根式的混合运算. (1)进行乘方,开方,负整数指数幂的运算,再进行加减运算即可; (2)先化简各式,再合并同类二次根式即可. (1)解:原式 ; (2)原式 . 53.(1) ;(2) 【分析】(1)先利用二次根式的性质进行化简,计算二次根式的乘法,然后合并同类项即可; (2)先计算绝对值,零指数幂,利用完全平方公式进行计算,然后进行加减运算即可. (1)解: ; (2)解:. 【点拨】本题考查了利用二次根式的性质进行化简,二次根式的乘法运算,绝对值,零指数幂,完全 平方公式.熟练掌握利用二次根式的性质进行化简,完全平方公式是解题的关键. 54.(1) ;(2) 【分析】本题考查实数的运算及二次根式的运算,熟练掌握相关运算法则是解题的关键. (1)利用有理数的乘方法则,算术平方根及立方根的定义计算即可; (2)利用二次根式的性质计算即可. (1)解: (2) . 55.(1) ;(2) . 【分析】( )先利用负整数指数幂、绝对值、二次根式的性质进行化简,然后再计算; ( )先把除法转化为乘法,根据乘法分配律分别计算即可; 本题考查了二次根式的性质化简,二次根式的除法运算,二次根式的加减运算,熟练掌握二次根式的 性质并正确计算是解题的关键. 解:(1)原式 , , ,(2)原式 , , , , , . 56.(1) ;(2) ;(3) ;(4) 【分析】本题考查了二次根式的混合运算:先把二次根式化为最简二次根式,然后进行二次根式的乘 除运算,再合并即可,在二次根式的混合运算中,如能结合题目特点,灵活运用二次根式的性质,选择恰 当的解题途径,往往能事半功倍; (1)先化简二次根式,再根据二次根式的乘除法法则运算,然后再合并即可; (2)根据二次根式的除法法则运算,再化简二次根式,然后再合并即可; (3)先化简二次根式,再合并,再根据二次根式的除法法则运算先化简二次根式即可; (4)根据二次根式的乘法法则运算,再合并即可; 解:(1) ; (2); (3) ; (4) . 57.(1) ;(2) 【分析】本题主要考查了二次根式的混合计算,熟知二次根式的四则运算法则是解题的关键. (1)先化简二次根式和分母有理化,然后计算二次根式的除法,最后计算加法即可; (2)先根据平方差公式和完全平方公式去括号,然后根据二次根式的加减计算法则求解即可. (1)解:原式 ; (2)解;原式 . 58.(1) ;(2)【分析】本题考查了二次根式的混合运算,解题的关键是熟练掌握二次根式的混合运算顺序和运算法 则,以及完全平方公式和平方差公式,平方差公式 和完全平方公式 . (1)先将各个二次根式化简,再根据二次根式混合运算顺序和运算法则进行计算即可; (2)根据平方差公式和完全平方公式将括号展开,再进行计算即可. (1)解: ; (2)解: . 59.(1) ;(2) 【分析】(1)先计算零指数幂、算术平方根、绝对值化简,再进行加减运算即可; (2)利用完全平方公式和平方差公式展开,再进行加减混合运算即可; 此题考查了实数的混合运算、二次根式的混合运算,熟练掌握运算法则是解题的关键. 解:(1) (2)60.(1)7;(2) ;(3) ;(4) 【分析】本题考查的是二次根式的加减运算与混合运算,掌握二次根式的混合运算的运算顺序是解本 题的关键. (1)先计算二次根式的除法,求解立方根,再合并即可; (2)先化简各二次根式,再合并即可; (3)先计算二次根式的乘方与乘法运算,再合并即可; (4)先计算二次根式的乘法运算,化简二次根式,再合并即可. (1)解: ; (2) ; (3) ; (4). 61.(1) ;(2) 【分析】本题考查二次根式混合运算,涉及利用二次根式性质化简、二次根式加减乘除混合运算和完 全平方差公式等知识,熟练掌握二次根式混合运算法则是解决问题的关键 (1)先利用二次根式性质化简,再利用减法对乘法的分配律运算即可得到答案; (2)根据平方差公式先展开,再合并即可得到答案. (1)解: ; (2)解: . 62.(1) ;(2) ;(3) ;(4) 【分析】(1)利用平方差公式计算,再进行除法运算即可; (2)先化简各数,再合并同类二次根式即可; (3)先根据有理数乘法运算法则和二次根式的性质进行运算,再相加减即可; (4)利用零指数幂、负整数指数幂和算术平方根及立方根的定义计算,再相加减即可. (1)解:原式 ;(2)原式 ; (3)原式 ; (4)原式 . 【点拨】本题主要考查实数的运算、零指数幂、负整数指数幂、运用平方差公式进行运算等知识,熟 练掌握相关运算法则和运算公式是解题的关键. 63.(1) ;(2) ;(3) ;(4) 【分析】本题考查实数的混合运算,二次根式的混合运算,熟练掌握运算法则和运算顺序是解答的关 键. (1)先计算乘方,绝对值,零指数幂和化简二次根式,再计算加减即可; (2)先利用平方差公式和完全平方公式计算,再计算加减即可; (3)先化简,再计算加减即可; (4)直接根据乘法分配律计算即可. (1)解: ; (2); (3) ; (4) . 64.(1) ;(2) ;(3) ;(4) 【分析】本题考查二次根式的混合运算,掌握运算顺序和运算法则是解题的关键. (1)先化简二次根式,然后合并解题即可; (2) 先计算二次根式的乘法,然后再计算加减解题即可; (3)先运算括号内的二次根式,然后运算除法解题即可; (4)先运用完全平方公式和平方差公式展开,然后合并解题即可. (1)解: ; (2); (3) ) ; (4) ; 65.(1) ;(2) ;(3)13;(4)1 【分析】本题考查了二次根式的混合运算,熟练掌握二次根式的性质进行化简是解题的关键. (1)去括号,然后进行除法运算,最后进行加减运算即可; (2)利用完全平方公式,二次根式的乘法计算,然后合并同类项即可; (3)利用平方差公式计算求解即可; (4)先计算二次根式的乘除,然后进行减法运算即可. (1)解: ;(2)解: ; (3)解: ; (4)解: . 66.(1) ;(2) ;(3) ;(4) 【分析】(1)利用单项式乘多项式法则计算即可; (2)利用单项式乘多项式法则及平方差公式计算即可; (3)利用绝对值的性质,立方根的定义及零指数幂计算即可; (4)利用二次根式的乘除法则计算后再合并同类二次根式即可. (1)解: ; (2) ; (3); (4) . 【点拨】本题考查的是多项式乘以单项式,多项式乘以多项式,平方差公式的应用,求解立方根,零 次幂的含义,二次根式的混合运算,熟记相关的运算法则是解本题的关键. 67.(1)6;(2) ;(3) ;(4) 【分析】本题考查二次根式性质以及混合运算,平方差公式,分母有理化等知识,解题的关键是掌握 二次根式的混合运算法则. (1)根据二次根式的性质以及乘法法则计算即可; (2)根据二次根式性质以及除法法则计算即可; (3)根据二次根式的性质,再合并同类二次根式即可; (4)先利用完全平方公式和平方差公式去括号,再合并同类二次根式即可. (1)解: ; (2)解: ; (3)解: ; (4)解:. 68.(1) ;(2) 【分析】(1)首先化简绝对值、立方根以及化简二次根式,然后进行加减运算即可; (2)首先根据完全平方公式和平方差公式进行运算,然后相加减即可. (1)解:原式 ; (2)解:原式 . 【点拨】本题主要考查化简绝对值、立方根、平方差公式、完全平方式以及二次根式运算,熟练掌握 相关运算法则是解题关键. 69.(1) ;(2) 【分析】本题考查了实数的运算,二次根式的混合运算,熟练掌握数学基础知识是解题的关键,特别 注意:任何非零数的零次幂都为1;负整数指数幂, ( 为正整数); (1)先算平方根,绝对值,0次幂和负整数指数幂,后算加减; (2)先计算二次根式的乘法,再开方,最后算加减; 解:(1) ;(2) . 70.(1) ;(2)2 【分析】本题考查了二次根式的混合运算,熟练掌握二次根式的性质、二次根式的乘法和除法法则是 解决问题的关键. (1)先把各二次根式化为最简二次根式,然后合并即可; (2)先进行二次根式的除法运算,然后进行二次根式的乘法运算,最后合并即可. (1)解:原式 ; (2)解:原式 . 71.(1) ;(2) 【分析】(1)先算乘法和除法,再算加减法. (2)先算完全平方和绝对值,再进行二次根式的加法和减法. 本题主要考查了实数的运算、平方差公式、完全平方公式、绝对值的计算及二次根式的化简.熟练掌 握二次根式的化简是解题的关键.注意结果要化成最简二次根式. 解:(1)原式. (2)原式 . 72.(1) ;(2)0;(3) ;(4) 【分析】(1)先对原式化简,再合并同类项即可解答本题; (2)根据平方差公式和算术平方根先对原式化简,再合并同类项即可解答本题; (3)先对原式化简,再合并同类项即可解答本题; (4)根据完全平方差和算术平方根可以对原式化简. 解:(1) ; (2) ; (3) ; (4) .73.(1) ;(2) 【分析】本题考查了二次根式的混合运算和实数的混合运算,熟练掌握运算法则是解题的关键. (1)先化简二次根式,再计算除法,最后计算减法即可. (2)先利用平方差公式计算、化简绝对值、计算负整数指数幂,再利用加减法得到最终结果. 解:(1)原式 . (2)原式 . 74.(1)9;(2) 【分析】本题考查了二次根式的混合运算,先把各个二次根式化为最简二次根式,然后进行合并,熟 练掌握平方差公式和完全平方公式,是解题的关键. (1)先把二次根式化简为最简二次根式,计算零次幂和绝对值,然后合并即可; (2)先利用完全平方公式和平方差公式进行计算,然后合并即可. 解:(1) (2)75.(1)6;(2)3;(3) ;(4)5 【分析】本题考查实数的混合运算,二次根式的混合运算,掌握相关法则,是解题的关键. (1)利用算术平方根及立方根的定义计算即可; (2)利用绝对值的性质,二次根式的运算法则计算即可; (3)利用二次根式的运算法则计算即可; (4)利用二次根式的运算法则计算即可. (1)解:原式 ; (2)原式 ; (3)原式 ; (4)原式 . 76.(1)3;(2) 【分析】本题考查实数混合运算,零指数幂,二次根式混合运算,熟练掌握运算法则是解题的关键. (1)先计算乘方与开方,再计算加减即可; (2)先运算二次根式乘法与除法法则计算即可. (1)解:原式 ; (2)解:原式 . 77.(1) ;(2) ;(3)2;(4) 【分析】本题考查了二次根式的混合运算,熟练掌握二次根式的性质、二次根式的乘法和除法法则、 零指数幂是解决问题的关键. (1)先把各二次根式化为最简二次根式,然后合并即可;(2)先根据二次根式的除法法则运算,然后化简后进行有理数的加减运算; (3)先根据乘方的意义、零指数幂的意义和二次根式的乘法法则运算,然后进行有理数的加减运算; (4)先利用完全平方公式和平方差公式计算,然后合并即可. (1)解:原式 ; (2)原式 ; (3)原式 ; (4)原式 . 78.(1)0;(2)1 【分析】本题考查了实数的混合运算和二次根式的混合运算. (1)根据零指数幂、绝对值的意义、乘方的定义; (2)先根据多项式乘法和二次根式的除法法则运算,然后合并即可. 解:(1) ; (2) . 79.(1) ;(2) ;(3) ;(4) 【分析】(1)先根据乘方、算术平方根、零次幂、二次根式的乘法化简,然后再合并即可;(2)先化简二次根式、求立方根及二次根式的性质进行计算,然后再合并各项即可; (3)利用积的乘方公式进行整理,再运用平方差公式进行计算即可; (4)利用完全平方公式和平方差公式进行计算即可. 解:(1) ; (2) ; (3) ; (4) . 【点拨】本题主要考查了实数的混合运算,灵活运用相关运算法则是解答本题的关键. 80.(1) ;(2) ;(3) ;;(4) 【分析】本题考查了二次根式的混合运算,熟练掌握二次根式的运算法则是解答本题的关键,整式的 乘法的运算公式及运算法则对二次根式的运算同样适应. (1)先逐项化简,再算加减即可; (2)根据乘法分配律求解即可;(3)先逐项化简,再算加减即可; (4)先利用乘法公式运算,再算加减即可. 解:(1) ; (2) ; (3) ; (4) . 81.(1) ;(2)2;(3) ;(4) 【分析】本题考查了二次根式的混合运算、乘法公式、零指数幂,关键是熟知相关运算法则. (1)根据立方根、零指数幂、绝对值运算法则求解即可; (2)根据二次根式的性质和二次根式的加减法求解即可;(3)利用乘法公式展开求解即可; (4)利用二次根式的性质和除法、加法运算法则求解即可. (1)解: ; (2)解: ; (3)解: ; (4)解: . 82.(1) ;(2) 【分析】本题考查了二次根式的混合运算, (1)先根据二次根式的性质化简,再根据二次根式的加减进行计算即可; (2)先根据二次根式的乘法进行计算,再根据二次根式的加减进行计算即可.(1)解: ; (2)解: 83.(1)10;(2) 【分析】本题考查的是实数的混合运算,熟知实数混合运算的法则是解题的关键, (1)先根据数的开方法则“ ”及立方根的性质分别计算出各数,再根据实数的运算法则进行 计算即可; (2)先将分数化为假分数,再运用实数除法运算法则“ ”计算即可. 解:(1) ; (2) . 84.(1) ;(2)【分析】本题考查二次根式的混合运算, (1)先根据二次根式的乘法运算法则进行运算,再将二次根式化为最简二次根式,最后合并即可; (2)先将二次根式化为最简二次根式,再根据二次根式的除法运算法则进行运算即可; 掌握运算法则是解题的关键. (1)解: ; (2) . 85.(1)1;(2) 【分析】此题考查二次根式的混合运算,完全平方公式: (1)先化简二次根式及绝对值,再计算加减法; (2)先计算乘除法,同时计算完全平方公式,再计算加减法; 熟练掌握各计算法则是解题的关键. 解:(1) ; (2)原式 .86.(1) ;(2) 【分析】本题考查了二次根式的混合运算; (1)先化简各二次根式,再利用二次根式的加减运算法则进行计算; (2)先算平方和二次根式的乘法,同时利用二次根式的性质化简,然后根据二次根式的加减运算法 则进行计算. 解:(1)原式 ; (2)原式 . 87.(1) ;(2) ;(3) ;(4) 【分析】本题考查了二次根式的化简以及混合运算. (1)利用立方根的定义及二次根式的运算法则计算即可; (2)先利用二次根式的性质化简,再利用二次根式的减法运算法则计算即可; (3)先利用二次根式的性质化简,利用二次根式的加减运算法则计算即可; (4)先利用二次根式的性质化简,利用二次根式的混合运算法则计算即可. 熟练掌握相关运算法则是解题关键. (1)解: ; (2)解:; (3)解: (4)解: 【点拨】本题考查二次根式的运算,熟练掌握相关运算法则是解题的关键. 88.(1) ;(2) ;(3) ;(4)3 【分析】本题主要考查了二次根式的混合运算,熟练掌握二次根式混合运算顺序和运算法则是解题的 关键. (1)先将立方,绝对值,0次幂,二次根式化简,再进行计算即可; (2)根据平方差公式和完全平方公式将括号展开,再进行计算即可; (3)先将算术平方根,立方根化简,再进行计算即可; (4)按照二次根式混合运算的运算顺序和运算法则进行计算即可. (1)解: ; (2)解:; (3)解: ; (4)解: . 89.(1)12;(2) 【分析】本题考查了二次根式的混合运算, (1)根据二次根式的混合运算法则计算即可; (2)根据平方差公式,完全平方公式以及二次根式的混合运算法则计算即可. 解:(1) ; (2) . 90.(1)7;(2) 【分析】本题主要考查了二次根式的混合运算,(1)先将 化简后,再进行除法运算即可; (2)根据单项式乘以多项式运算法则进行计算即可. 解:(1) ; (2) . 91.(1) ;(2) ;(3) ;(4) 【分析】本题考查二次根式的混合运算, (1)先把每一个二次根式化成最简二次根式,然后再进行计算即可解答; (2)先化简各式,然后再进行计算即可解答; (3)先化简各式,然后再进行计算即可解答; (4)利用完全平方公式,平方差公式,进行计算即可解答; 准确熟练地进行计算是解题的关键. (1)解: ;(2) ; (3) ; (4) . 92.(1) ;(2)2;(3)10;(4) 【分析】本题考查二次根式的混合运算,实数的运算,掌握运算法则和运算顺序是解题的关键. (1)利用二次根式的加减法则计算即可; (2)利用零指数幂,算术平方根及立方根的定义计算即可; (3)利用二次根式的乘法法则计算即可; (4)利用平方差公式及完全平方公式计算即可. 解:(1)原式 ; (2)原式; (3)原式 ; (4)原式 . 93.(1) (2) 【分析】本题考查了二次根式的混合运算,熟练掌握二次根式的运算规则是解题关键. (1)先把各二次根式化为最简二次根式,然后合并同类二次根式; (2)根据二次根式的乘除法法则运算. 解:(1)原式= = (2)原式= = = 94.(1) ;(2)2;(3) ;(4)0 【分析】本题考查二次根式的混合运算,解题关键是掌握二次根式的混合运算法则. (1)先化为最简二次根式,再计算减法即可; (2)利用二次根式的乘法运算法则计算分子,再化为最简二次根式,最后约分即可; (3)先将括号内的二次根式化为最简二次根式,再相加,最后根据二次根式的除法运算法则计算即可; (4)先将分子中二次根式化为最简二次根式,再相减,再约分,最后计算减法即可. (1)解:(1) ; (2)解: ; (3)解: ; (4)解: . 95.(1) ;(2) ;(3) ;(4)1【分析】本题主要考查了实数的混合计算,二次根式的混合计算,零指数幂,负整数指数幂,熟知相 关计算法则是解题的关键. (1)先计算零指数幂和负整数指数幂,再根据实数的混合计算法则求解即可; (2)(3)(4)根据二次根式的混合计算法则求解即可. (1)解: ; (2) ; (3)解: ; (4)解: . 96.(1) ;(2) 【分析】本题考查二次根式的运算,正确化简二次根式是解题的关键. (1)化简二次根式进而合并同类项求出答案; (2)根据绝对值,立方根以及平方差公式进行求解即可.(1)解:原式 (2)解:原式 97.(1) ;(2)0;(3) ;(4) 【分析】(1)根据二次根式加减混合运算法则计算即可; (2)先化简二次根式,再进行加减计算即可; (2)利用完全平方公式展开,再进行二次根式混合运算即可; (4)先化简括号内二次根式,并进行减法计算,最后计算除法即可. (1)解: (2)解: (3)解: (4)解:【点拨】本题考查了二次根式的混合运算,掌握运算法则是解题的关键. 98.(1) ;(2)4;(3) ;(4) 【分析】(1)根据二次根式的性质化简再合并即可; (2)根据二次根式的性质化简,再进行计算即可; (3)根据完全平方式、平方差公式化简合并即可; (4)根据二次根式的性质化简,再进行计算即可. (1)解:原式 (2)解:原式 (3)解:原式 (4)解:原式 【点拨】本题考查二次根式的混合运算,完全平方公式和平方差公式,熟记运算法则是关键. 99.(1) ;(2) ;(3) ;(4) 【分析】(1)根据零指数幂、负整数指数幂、绝对值计算后,再进行加减法即可;(2)变形后逆用积的乘方法则和平方差公式计算即可; (3)利用平方差公式计算后,再进行减法计算即可; (4)利用乘法分配律和二次根式的性质化简后,进行加减法即可. (1)解: (2) (3) (4) 【点拨】此题考查了二次根式的混合运算、实数的混合运算,熟练掌握运算法则和运算顺序是解题的关键. 100.(1) ;(2) ;(3) ;(4) 【分析】(1)直接利用二次根式的性质计算得出答案; (2)直接利用二次根式的除法运算法则计算得出答案; (3)直接利用二次根式的乘法运算法则化简计算得出答案; (4)直接利用乘法公式化简,计算得出答案. (1)解: ; (2)解: ; (3)解: ; (4)解:. 【点拨】本题考查了二次根式的混合运算:先把二次根式化为最简二次根式,然后进行二次根式的乘 除运算,再合并即可.在二次根式的混合运算中,如能结合题目特点,灵活运用二次根式的性质,选择恰 当的解题途径,往往能事半功倍.