当前位置:首页>文档>专题01三角函数的图象与性质(典型题型归类训练)(原卷版)_02高考数学_2025年新高考资料_二轮复习_解题思路训练2025年高考数学复习解答题提优秘籍(新高考专用)

专题01三角函数的图象与性质(典型题型归类训练)(原卷版)_02高考数学_2025年新高考资料_二轮复习_解题思路训练2025年高考数学复习解答题提优秘籍(新高考专用)

  • 2026-04-07 07:29:04 2026-04-07 07:11:19

文档预览

专题01三角函数的图象与性质(典型题型归类训练)(原卷版)_02高考数学_2025年新高考资料_二轮复习_解题思路训练2025年高考数学复习解答题提优秘籍(新高考专用)
专题01三角函数的图象与性质(典型题型归类训练)(原卷版)_02高考数学_2025年新高考资料_二轮复习_解题思路训练2025年高考数学复习解答题提优秘籍(新高考专用)
专题01三角函数的图象与性质(典型题型归类训练)(原卷版)_02高考数学_2025年新高考资料_二轮复习_解题思路训练2025年高考数学复习解答题提优秘籍(新高考专用)
专题01三角函数的图象与性质(典型题型归类训练)(原卷版)_02高考数学_2025年新高考资料_二轮复习_解题思路训练2025年高考数学复习解答题提优秘籍(新高考专用)
专题01三角函数的图象与性质(典型题型归类训练)(原卷版)_02高考数学_2025年新高考资料_二轮复习_解题思路训练2025年高考数学复习解答题提优秘籍(新高考专用)
专题01三角函数的图象与性质(典型题型归类训练)(原卷版)_02高考数学_2025年新高考资料_二轮复习_解题思路训练2025年高考数学复习解答题提优秘籍(新高考专用)
专题01三角函数的图象与性质(典型题型归类训练)(原卷版)_02高考数学_2025年新高考资料_二轮复习_解题思路训练2025年高考数学复习解答题提优秘籍(新高考专用)
专题01三角函数的图象与性质(典型题型归类训练)(原卷版)_02高考数学_2025年新高考资料_二轮复习_解题思路训练2025年高考数学复习解答题提优秘籍(新高考专用)
专题01三角函数的图象与性质(典型题型归类训练)(原卷版)_02高考数学_2025年新高考资料_二轮复习_解题思路训练2025年高考数学复习解答题提优秘籍(新高考专用)
专题01三角函数的图象与性质(典型题型归类训练)(原卷版)_02高考数学_2025年新高考资料_二轮复习_解题思路训练2025年高考数学复习解答题提优秘籍(新高考专用)
专题01三角函数的图象与性质(典型题型归类训练)(原卷版)_02高考数学_2025年新高考资料_二轮复习_解题思路训练2025年高考数学复习解答题提优秘籍(新高考专用)
专题01三角函数的图象与性质(典型题型归类训练)(原卷版)_02高考数学_2025年新高考资料_二轮复习_解题思路训练2025年高考数学复习解答题提优秘籍(新高考专用)
专题01三角函数的图象与性质(典型题型归类训练)(原卷版)_02高考数学_2025年新高考资料_二轮复习_解题思路训练2025年高考数学复习解答题提优秘籍(新高考专用)
专题01三角函数的图象与性质(典型题型归类训练)(原卷版)_02高考数学_2025年新高考资料_二轮复习_解题思路训练2025年高考数学复习解答题提优秘籍(新高考专用)

文档信息

文档格式
docx
文档大小
0.545 MB
文档页数
10 页
上传时间
2026-04-07 07:11:19

文档内容

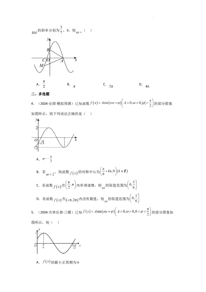
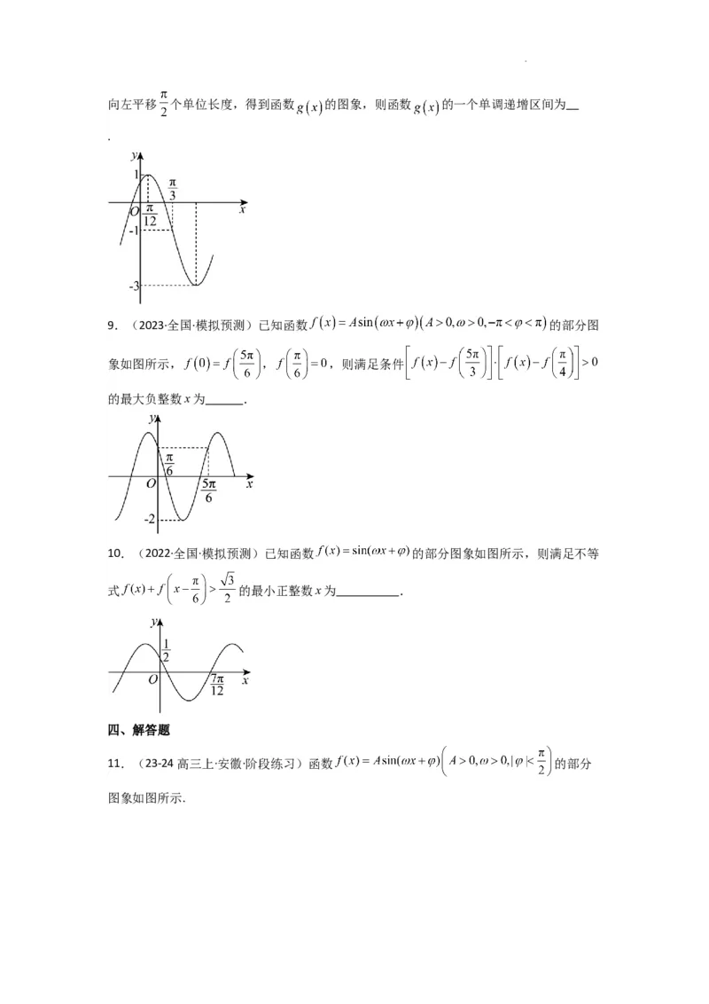
专题 01 三角函数 求法 (典型题型归类训练) 一、必备秘籍 必备公式 ,(其中 ); 辅助角公式 求 解析式 求法 方法一:代数法 方法二:读图法 表示平衡位置; 表示振幅 求法 方法一:图中读出周期 ,利用 求解; 方法二:若无法读出周期,使用特殊点代入解析式但需注意根据具体题意取 舍答案. 求法 方法一:将最高(低)点代入 求解; 方 法 二 : 若 无 最 高 ( 低 ) 点 , 可 使 用 其 他 特 殊 点 代 入 求解;但需注意根据具体题意取舍答案. 二、典型题型 1.(2024·山西长治·一模)已知函数 的部分图象如 图所示,若方程 在 上有两个不相等的实数根,则实数m的取值范围是 ( ) 学科网(北京)股份有限公司A. B. C. D. 2.(2024·陕西安康·模拟预测)已知函数 的部分图象如 图所示,其中 , ,则( ) A. B. C.直线 是 图象的一条对称轴 D. 是 图象的一个对称中心 3.(2024·陕西西安·三模)如图,函数 的部分图象,若点 是 中点, 则点 的纵坐标为( ) A. B. C. D. 4.(多选)(23-24高一下·内蒙古·期中)已知函数 的部分图像如图所示, , 为 的图像与 轴的交点, 为 图像上的最高点, 是边长为1的等边三角形, , 则( ) A. 学科网(北京)股份有限公司B.直线 是 图像的一条对称轴 C. 的单调递减区间为 D. 的单调递增区间为 5.(2024·全国·模拟预测)已知函数 的部分图象如图 所示,将 图象上所有点的横坐标缩小为原来的 ,纵坐标不变,得到 的 图象,若 在区间 上恰有两个极大值点,则实数m的取值范围是 . 6.(2024·全国·模拟预测)已知函数 的部分图象如 图,则关于 的不等式 的解集是 . 7.(2024高三·全国·专题练习)已知函数 的部分 图象如图所示,将函数 图象上所有点的横坐标缩短为原来的 ,纵坐标伸长到原来的 2倍,再把得到的图象向左平移 个单位长度,可得到 的图象.若方程 在 上有两个不相等的实数根,则 的取值范围为 . 学科网(北京)股份有限公司三、专项训练 一、单选题 1.(2024·北京石景山·一模)已知函数 的部分图象如图 所示,则 的值是( ) A. B.1 C. D. 2.(2024·江西南昌·一模)函数 的部分图象如图所示, 是等腰直角三角形,其中 两点为图象与 轴的交点, 为图象的最高点,且 ,则 ( ) A. B. C. D. 3.(2024·全国·模拟预测)知函数 ( , ),如图: , , 是曲线 与坐标轴的三个交点,直线 交曲线 于点 ,若直线 , 学科网(北京)股份有限公司的斜率分别为 ,3,则 ( ) A. B. C. D. 二、多选题 4.(2024·全国·模拟预测)已知函数 的部分图象 如图所示,则下列说法正确的是( ) A. B.若 ,则函数 的对称中心为 C.若函数 在 内单调递增,则 的取值范围为 D.若函数 在 内没有最值,则 的取值范围为 5.(2024·吉林长春·三模)已知 的部分图象如 图所示,则( ) A. 的最小正周期为π 学科网(北京)股份有限公司B. 满足 C. 在区间 的值域为 D. 在区间 上有3个极值点 6.(2024·黑龙江哈尔滨·一模)已知 的部分图 象如图所示,则( ) A. B. 在区间 单调递减 C. 在区间 的值域为 D. 在区间 有3个极值点 三、填空题 7.(2024·重庆·一模)已知 的部分图象 如图所示,当 时, 的最大值为 . 8.(2023·陕西西安·模拟预测)已知函数 ,( , , )的大致图象如图所示,将函数 的图象上点的横坐标拉伸为原来的3倍后,再 学科网(北京)股份有限公司向左平移 个单位长度,得到函数 的图象,则函数 的一个单调递增区间为 . 9.(2023·全国·模拟预测)已知函数 的部分图 象如图所示, , ,则满足条件 的最大负整数x为 . 10.(2022·全国·模拟预测)已知函数 的部分图象如图所示,则满足不等 式 的最小正整数x为 . 四、解答题 11.(23-24高三上·安徽·阶段练习)函数 的部分 图象如图所示. 学科网(北京)股份有限公司(1)求函数 的解析式; (2)将函数 的图象向左平移 个单位,再将所得图象上各点的横坐标缩短为原来的 倍,纵坐标不变,得到函数 的图象,求函数 在 上的值域. 12.(2023·河北·模拟预测)已知函数 的部分图象如图所示,其中 ,且 . (1)求 与 的值; (2)若斜率为 的直线与曲线 相切,求切点坐标. 学科网(北京)股份有限公司13.(2023·山西·模拟预测)已知函数 的部分图 象如图所示. (1)求 的解析式; (2)将 的图象向右平移 个单位长度,得到函数 的图象,求 在 上的值域. 14.(23-24高三上·山西·阶段练习)已知函数 的部分图象如 图所示. (1)求 的解析式; 学科网(北京)股份有限公司(2)求 在 上的值域. 学科网(北京)股份有限公司