当前位置:首页>文档>专题02两角和与差的正弦、余弦、正切以及二倍角的应用(解析版)_02高考数学_新高考复习资料_2023年新高考资料_二轮复习

专题02两角和与差的正弦、余弦、正切以及二倍角的应用(解析版)_02高考数学_新高考复习资料_2023年新高考资料_二轮复习

  • 2026-04-07 10:37:54 2026-04-07 10:33:15

文档预览

专题02两角和与差的正弦、余弦、正切以及二倍角的应用(解析版)_02高考数学_新高考复习资料_2023年新高考资料_二轮复习
专题02两角和与差的正弦、余弦、正切以及二倍角的应用(解析版)_02高考数学_新高考复习资料_2023年新高考资料_二轮复习
专题02两角和与差的正弦、余弦、正切以及二倍角的应用(解析版)_02高考数学_新高考复习资料_2023年新高考资料_二轮复习
专题02两角和与差的正弦、余弦、正切以及二倍角的应用(解析版)_02高考数学_新高考复习资料_2023年新高考资料_二轮复习
专题02两角和与差的正弦、余弦、正切以及二倍角的应用(解析版)_02高考数学_新高考复习资料_2023年新高考资料_二轮复习
专题02两角和与差的正弦、余弦、正切以及二倍角的应用(解析版)_02高考数学_新高考复习资料_2023年新高考资料_二轮复习
专题02两角和与差的正弦、余弦、正切以及二倍角的应用(解析版)_02高考数学_新高考复习资料_2023年新高考资料_二轮复习
专题02两角和与差的正弦、余弦、正切以及二倍角的应用(解析版)_02高考数学_新高考复习资料_2023年新高考资料_二轮复习
专题02两角和与差的正弦、余弦、正切以及二倍角的应用(解析版)_02高考数学_新高考复习资料_2023年新高考资料_二轮复习
专题02两角和与差的正弦、余弦、正切以及二倍角的应用(解析版)_02高考数学_新高考复习资料_2023年新高考资料_二轮复习
专题02两角和与差的正弦、余弦、正切以及二倍角的应用(解析版)_02高考数学_新高考复习资料_2023年新高考资料_二轮复习
专题02两角和与差的正弦、余弦、正切以及二倍角的应用(解析版)_02高考数学_新高考复习资料_2023年新高考资料_二轮复习
专题02两角和与差的正弦、余弦、正切以及二倍角的应用(解析版)_02高考数学_新高考复习资料_2023年新高考资料_二轮复习
专题02两角和与差的正弦、余弦、正切以及二倍角的应用(解析版)_02高考数学_新高考复习资料_2023年新高考资料_二轮复习
专题02两角和与差的正弦、余弦、正切以及二倍角的应用(解析版)_02高考数学_新高考复习资料_2023年新高考资料_二轮复习
专题02两角和与差的正弦、余弦、正切以及二倍角的应用(解析版)_02高考数学_新高考复习资料_2023年新高考资料_二轮复习
专题02两角和与差的正弦、余弦、正切以及二倍角的应用(解析版)_02高考数学_新高考复习资料_2023年新高考资料_二轮复习
专题02两角和与差的正弦、余弦、正切以及二倍角的应用(解析版)_02高考数学_新高考复习资料_2023年新高考资料_二轮复习
专题02两角和与差的正弦、余弦、正切以及二倍角的应用(解析版)_02高考数学_新高考复习资料_2023年新高考资料_二轮复习
专题02两角和与差的正弦、余弦、正切以及二倍角的应用(解析版)_02高考数学_新高考复习资料_2023年新高考资料_二轮复习
专题02两角和与差的正弦、余弦、正切以及二倍角的应用(解析版)_02高考数学_新高考复习资料_2023年新高考资料_二轮复习
专题02两角和与差的正弦、余弦、正切以及二倍角的应用(解析版)_02高考数学_新高考复习资料_2023年新高考资料_二轮复习
专题02两角和与差的正弦、余弦、正切以及二倍角的应用(解析版)_02高考数学_新高考复习资料_2023年新高考资料_二轮复习
专题02两角和与差的正弦、余弦、正切以及二倍角的应用(解析版)_02高考数学_新高考复习资料_2023年新高考资料_二轮复习
专题02两角和与差的正弦、余弦、正切以及二倍角的应用(解析版)_02高考数学_新高考复习资料_2023年新高考资料_二轮复习

文档信息

文档格式
docx
文档大小
1.239 MB
文档页数
21 页
上传时间
2026-04-07 10:33:15

文档内容

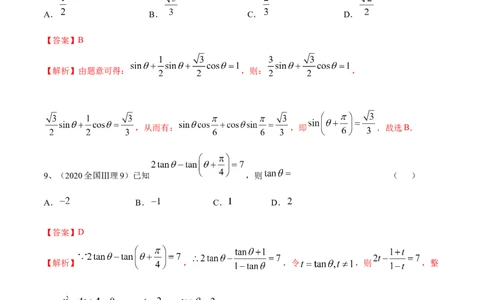
专题02 两角和与差的正弦、余弦、正切以及二倍角的应用 1、【2022年新高考2卷】若 ,则( ) A. B. C. D. 【答案】C 【解析】由已知得: , 即: , 即: , 所以 , 故选:C 2、【2021年甲卷文科】若 ,则 ( ) A. B. C. D. 【答案】A 【解析】 ,, , ,解得 , , . 故选:A. 3、(2021年全国高考乙卷数学(文)试题) ( ) A. B. C. D. 【答案】D 【解析】由题意, . 故选:D. 4、(2021年全国高考甲卷数学(理)试题)若 ,则 ( ) A. B. C. D. 【答案】A 【解析】 , , , ,解得 ,, . 故选:A. 5、(2021年全国新高考Ⅰ卷数学试题)若 ,则 ( ) A. B. C. D. 【答案】C 【解析】将式子进行齐次化处理得: . 故选:C. 6、(2020全国Ⅰ理9)已知 ,且 ,则 ( ) A. B. C. D. 【答案】A 【解析】 ,得 ,即 ,解得 或 (舍去),又 ,故选A. 7、(2020全国Ⅱ理2)若α为第四象限角,则 ( ) A. cos2α>0 B. cos2α<0 C. sin2α>0 D. sin2α<0 【答案】D 【解析】当 时, ,选项B错误;当 时,,选项A错误;由 在第四象限可得: ,则 ,选项C错误,选项D正确,故选D. 8、(2020全国Ⅲ文5)已知 ,则 ( ) A. B. C. D. 【答案】B 【解析】由题意可得: ,则: , ,从而有: ,即 .故选B. 9、(2020全国Ⅲ理9)已知 ,则 ( ) A. B. C. D. 【答案】D 【解析】 , ,令 ,则 ,整 理得 ,解得 ,即 .故选D. 题组一、运用公式进行化简、求值 1-1、(2022·广东潮州·高三期末)己知 则 ( ) A. B. C. D.【答案】A 【解析】: . 故选:A 1-2、(2022·广东东莞·高三期末)若 , ,则 ( ) A. B.1 C. D. 【答案】B 【解析】因为 ,所以 , 所以 , 所以 ,即 ,所以 , 故选:B. 1-3、(2022·江苏省沙溪高级中学高三期中)已知 ,且 ,则 ( ) A. B.12 C. D. 【答案】D 【解析】因为 ,所以 ,所以 , 所以 , 因为 ,所以 , 又 ,所以 ,所以 , 所以 , 所以 ,所以 .故选:D 1-4、(2022·河北保定·高三期末)若 ,则 的值可能为( ) A. B. C. D. 【答案】ABD 【解析】由 ,可知 , 当 ,即 时,即 时, , 显然 不成立,故 ; 所以 ,则 , 所以 ,即 , 当 时, ,当 时, ,当 时, , 令 ,得 ,故 的值不可能为 . 故选:ABD. 1-5、(2022·河北张家口·高三期末)已知 , ,则 ( ) A. B. C. D. 【答案】BD 【解析】 ,故 , 所以 或 , 故 或 . 又 ,所以 或 , 故选:BD. 1-6、(2022·广东清远·高三期末)已知 ,则 ________. 【答案】 【解析】 . 故答案为: 题组二、两角和与差的正弦、余弦、正切公式的综合运用 2-1、(2022·江苏如皋·高三期末)已知 ,则 的值为( ) A. B. C.- D. 【答案】B 【解析】, 故选:B 2-2、(2022·山东枣庄·高三期末)已知 ,则 ( ). A. B. C. D. 【答案】A 【解析】: . 故选:A 2-3、(2022·湖北襄阳·高三期末)已知 ,则 ( ) A. B. C. D. 【答案】B 【解析】∵ , ∴ . 故选:B. 2-4、(2022·湖北·恩施土家族苗族高中高三期末)已知 且 ,则 =( )A. B. C. D. 或 【答案】C 【解析】因 ,则 , , 因 , ,则 ,又 ,有 , 于是得 ,因此, , 所以 . 故选:C 2-5、(2022·湖北省新高考联考协作体高三起点考试) 已知 , ,则 ( ) A. B. C. D. 【答案】D 【解析】∵ ,∴ ,又 , ∴ ,又 , ∴ ,故选:D. 题组三、公式及性质的综合运用 3-1、(2022·江苏如皋·高三期末)(多选题)已知函数 ,则下列说法正确的 是( ) A. B. C. D. 【答案】ABD 【解析】依题意, , 对于A, ,而 , 即 , ,A正确; 对于B, , , 即 ,B正确; 对于C,取 , ,C不正确; 对于D,因 , ,则 ,D正确. 故选:ABD 3-2、(2022·湖南湘潭·三模)若函数 在(0, )上恰有2个零点,则 的取值 范围为( ) A. B. C. D.【答案】B 【解析】由题意,函数 , 因为 ,所以 , 又由 在 上恰有2个零点,所以 ,解得 , 所以 的取值范围为 .故选:B. 3-3、(2022·湖北·高三期末)(多选题)已知函数 ,给出下列四个命题,其中 正确的是( ) A. 的最小正周期为 B. 的图象关于点 中心对称 C. 在区间 上单调递增 D. 的值域为 【答案】BD 【解析】 ,所以A选项错误. , , , 所以 的图象关于点 中心对称,B选项正确. , ,所以C选项错误. ,所以 的值域为 ,D选项正确. 故选:BD 3-4、(2022·湖北·恩施土家族苗族高中高三期末)(多选题)已知函数 相邻 的最高点的距离为 ,则下列结论正确的是( ) A.函数 的图象关于点 中心对称 B.函数 在区间 上的值域为 C.将函数 的图象上所有点的横坐标缩短为原来的 ,然后向左平移 个单位得 的图象 D.若 ,则 【答案】ACD 【解析】由题意,化简得 , 由题意知周期 ,得 , 所以 ,当 时, ,故A项正确; 当 时, ,故 ,故B项错误; 将函数 的图象上所有点的横坐标缩短为原来的 ,得到 ,再向左平移 个单位, 可得 ,故C项正确; 由 可得: ,于是 ,故D项正确. 故选:ACD 3-5、(2021·山东青岛市·高三二模)(多选题)已知函数 1 f x  2cos2x1  sin2x cos4x0 2 ,则下列说法正确的是( )  f x A.若 的两个相邻的极值点之差的绝对值等于 4 ,则2 1    1 B.当  2 时, f x 在区间    4 , 4  上的最小值为  2     ,0 C.当 1 时, f x 在区间   4  上单调递增  2   gx sin 4x D.当 1 时,将 f x图象向右平移 8 个单位长度得到 2   4   的图象 【答案】BD 【解析】 1 f x  2cos2x1  sin2x cos4x 2 1 1 1 2  cos2xsin2x cos4x sin4x cos4x sin(4x ) 2 2 2 2 4 ,    2  f x T 2   A. 的两个相邻的极值点之差的绝对值等于 4 ,则 4 2 ,4 2 ,1,A错; 1 2        3  f x sin(2x ) x   ,  2x    ,  B.当 2 时, 2 4 ,  4 4时, 4  4 4 , f(x)的最小值为2  2  1     ,B正确; 2 2 2   2      3   f x sin(4x ) x   ,0  4x [ , ] 4x C.当 1 时, 2 4 ,  4 时, 4 4 4 , 2 ,即  x 8 时, f(x)取得最小值,因此在此区间上,函数不单调,C错; 2   D. 1 时, f x 2 sin(4x 4 ) ,将 f x 图象向右平移 8 个单位长度得到图象的解析式为 2    2  g(x) sin 4(x )  sin(4x )   ,D正确. 2  8 4 2 4 故选:BD. 3-6、(多选题)(2022·黑龙江·齐齐哈尔市第八中学校高三开学考试)已知函数 ,下列结论中不正确的有( ) A.函数 的最小正周期为 且图象关于 对称 B.函数 的对称中心是 C.函数 在区间 上单调递增 D.函数 的图象可以由 的图象向右平移 个单位得到 【答案】BC 【解析】函数 , ∴函数 的最小正周期为 ,故A正确;令 ,即 ,函数 的对称中心是 ,故B错误; 时, ,显然 在其上不单调,故C错误; 的图象向右平移 个单位得到 ,故D 正确. 故选:BC 1、(2022·湖北·高三模拟)已知第四象限角 、 满足 , ,则 的值为 ( ) A. B. C. D. 【答案】A 【解析】 、 是第四象限角,则 , , 的终边在 轴下方, , , . 故选:A. 2、(2022·河北深州市中学高三期末) ( ) A. B. C. D. 【答案】C【解析】: . 故选:C 3、(2022·江苏扬州·高三期末)已知 ,则 ( ) A. B. C. D. 【答案】B 【解析】由题意可知, , 即 ,解得 , 所以 . 故选:B 4、(2022·广东汕尾·高三期末)(多选题)以下关于函数 的命题,正确的是( ) A.函数 的最小正周期为 B.点 是函数 图象的一个对称中心 C.直线 的函数 图象的一条对称轴 D.将函数 的图象向右平移 个单位后得到的函数的图象关于原点对称 【答案】AD 【解析】由题意得 ,所以最小正周期 ,所以A对.,所以直线 是函数 图象的一条对称轴,所以B错. ,所以点 是函数 图象的一个对称中心,所以C错. 将函数 的图象向右平移 个单位后得到的图象对应的函数为 ,是奇函数,所以D对. 故选:AD. 5、(2022·山东青岛·高三期末)已知函数 ,则下列结论正确的是( ) A. B. 是 图象的一条对称轴 C. 的最小正周期为 D.将 的图象向左平移 个单位后,得到的图象关于原点对称 【答案】AC 【解析】 ,A正确; ,由于在对称轴处函数值要取到最值,故B错误; ,C正确; 将 的图象向左平移 个单位后得,其为偶函数,不关于原点对称,D错误. 故选:AC. 6、(2022·河北深州市中学高三期末)已知函数 ,则( ) A. B. C. 的值域为 D. 的图象向左平移 个单位后关于 轴对称 【答案】ACD 【解析】 ,所以 ,所以A对,B错误; 因为 ,所以 , 因此选项C正确; 因为 ,设 , 因为 ,所以 是偶函数,图象关于 轴对称,则D 正确. 故选:ACD7、(2022·山东泰安·高三期末)已知函数 ,将 的图象向左 平移 个单位长度,所得函数的图象关于 轴对称. (1)求函数 的解析式; (2)若关于 的方程 在 上恰有两个实数根,求实数 的取值范围. 【解析】: 将函数 的图象向左平移 个单位长度后,所得函数为 ∴ ∴ 又 ∴ ∴ . (2) ∵ ∴ 当 ,即 时, 单调递增;当 ,即 时, 单调递减. 且 , . ∵方程 在 上恰有两个实数根. ∴ ∴实数a的取值范围为 .