当前位置:首页>文档>专题16数列的基本概念、等差与等比数列(教师版)_02高考数学_通用版(老高考)复习资料_2024年复习资料_完备战2024年高考数学一轮复习考点帮(全国通用)_核心考点讲练

专题16数列的基本概念、等差与等比数列(教师版)_02高考数学_通用版(老高考)复习资料_2024年复习资料_完备战2024年高考数学一轮复习考点帮(全国通用)_核心考点讲练

  • 2026-04-12 06:14:17 2026-04-12 06:13:12

文档预览

专题16数列的基本概念、等差与等比数列(教师版)_02高考数学_通用版(老高考)复习资料_2024年复习资料_完备战2024年高考数学一轮复习考点帮(全国通用)_核心考点讲练
专题16数列的基本概念、等差与等比数列(教师版)_02高考数学_通用版(老高考)复习资料_2024年复习资料_完备战2024年高考数学一轮复习考点帮(全国通用)_核心考点讲练
专题16数列的基本概念、等差与等比数列(教师版)_02高考数学_通用版(老高考)复习资料_2024年复习资料_完备战2024年高考数学一轮复习考点帮(全国通用)_核心考点讲练
专题16数列的基本概念、等差与等比数列(教师版)_02高考数学_通用版(老高考)复习资料_2024年复习资料_完备战2024年高考数学一轮复习考点帮(全国通用)_核心考点讲练
专题16数列的基本概念、等差与等比数列(教师版)_02高考数学_通用版(老高考)复习资料_2024年复习资料_完备战2024年高考数学一轮复习考点帮(全国通用)_核心考点讲练
专题16数列的基本概念、等差与等比数列(教师版)_02高考数学_通用版(老高考)复习资料_2024年复习资料_完备战2024年高考数学一轮复习考点帮(全国通用)_核心考点讲练
专题16数列的基本概念、等差与等比数列(教师版)_02高考数学_通用版(老高考)复习资料_2024年复习资料_完备战2024年高考数学一轮复习考点帮(全国通用)_核心考点讲练
专题16数列的基本概念、等差与等比数列(教师版)_02高考数学_通用版(老高考)复习资料_2024年复习资料_完备战2024年高考数学一轮复习考点帮(全国通用)_核心考点讲练
专题16数列的基本概念、等差与等比数列(教师版)_02高考数学_通用版(老高考)复习资料_2024年复习资料_完备战2024年高考数学一轮复习考点帮(全国通用)_核心考点讲练
专题16数列的基本概念、等差与等比数列(教师版)_02高考数学_通用版(老高考)复习资料_2024年复习资料_完备战2024年高考数学一轮复习考点帮(全国通用)_核心考点讲练
专题16数列的基本概念、等差与等比数列(教师版)_02高考数学_通用版(老高考)复习资料_2024年复习资料_完备战2024年高考数学一轮复习考点帮(全国通用)_核心考点讲练
专题16数列的基本概念、等差与等比数列(教师版)_02高考数学_通用版(老高考)复习资料_2024年复习资料_完备战2024年高考数学一轮复习考点帮(全国通用)_核心考点讲练
专题16数列的基本概念、等差与等比数列(教师版)_02高考数学_通用版(老高考)复习资料_2024年复习资料_完备战2024年高考数学一轮复习考点帮(全国通用)_核心考点讲练
专题16数列的基本概念、等差与等比数列(教师版)_02高考数学_通用版(老高考)复习资料_2024年复习资料_完备战2024年高考数学一轮复习考点帮(全国通用)_核心考点讲练
专题16数列的基本概念、等差与等比数列(教师版)_02高考数学_通用版(老高考)复习资料_2024年复习资料_完备战2024年高考数学一轮复习考点帮(全国通用)_核心考点讲练
专题16数列的基本概念、等差与等比数列(教师版)_02高考数学_通用版(老高考)复习资料_2024年复习资料_完备战2024年高考数学一轮复习考点帮(全国通用)_核心考点讲练
专题16数列的基本概念、等差与等比数列(教师版)_02高考数学_通用版(老高考)复习资料_2024年复习资料_完备战2024年高考数学一轮复习考点帮(全国通用)_核心考点讲练
专题16数列的基本概念、等差与等比数列(教师版)_02高考数学_通用版(老高考)复习资料_2024年复习资料_完备战2024年高考数学一轮复习考点帮(全国通用)_核心考点讲练
专题16数列的基本概念、等差与等比数列(教师版)_02高考数学_通用版(老高考)复习资料_2024年复习资料_完备战2024年高考数学一轮复习考点帮(全国通用)_核心考点讲练
专题16数列的基本概念、等差与等比数列(教师版)_02高考数学_通用版(老高考)复习资料_2024年复习资料_完备战2024年高考数学一轮复习考点帮(全国通用)_核心考点讲练
专题16数列的基本概念、等差与等比数列(教师版)_02高考数学_通用版(老高考)复习资料_2024年复习资料_完备战2024年高考数学一轮复习考点帮(全国通用)_核心考点讲练
专题16数列的基本概念、等差与等比数列(教师版)_02高考数学_通用版(老高考)复习资料_2024年复习资料_完备战2024年高考数学一轮复习考点帮(全国通用)_核心考点讲练
专题16数列的基本概念、等差与等比数列(教师版)_02高考数学_通用版(老高考)复习资料_2024年复习资料_完备战2024年高考数学一轮复习考点帮(全国通用)_核心考点讲练
专题16数列的基本概念、等差与等比数列(教师版)_02高考数学_通用版(老高考)复习资料_2024年复习资料_完备战2024年高考数学一轮复习考点帮(全国通用)_核心考点讲练
专题16数列的基本概念、等差与等比数列(教师版)_02高考数学_通用版(老高考)复习资料_2024年复习资料_完备战2024年高考数学一轮复习考点帮(全国通用)_核心考点讲练
专题16数列的基本概念、等差与等比数列(教师版)_02高考数学_通用版(老高考)复习资料_2024年复习资料_完备战2024年高考数学一轮复习考点帮(全国通用)_核心考点讲练
专题16数列的基本概念、等差与等比数列(教师版)_02高考数学_通用版(老高考)复习资料_2024年复习资料_完备战2024年高考数学一轮复习考点帮(全国通用)_核心考点讲练
专题16数列的基本概念、等差与等比数列(教师版)_02高考数学_通用版(老高考)复习资料_2024年复习资料_完备战2024年高考数学一轮复习考点帮(全国通用)_核心考点讲练
专题16数列的基本概念、等差与等比数列(教师版)_02高考数学_通用版(老高考)复习资料_2024年复习资料_完备战2024年高考数学一轮复习考点帮(全国通用)_核心考点讲练
专题16数列的基本概念、等差与等比数列(教师版)_02高考数学_通用版(老高考)复习资料_2024年复习资料_完备战2024年高考数学一轮复习考点帮(全国通用)_核心考点讲练
专题16数列的基本概念、等差与等比数列(教师版)_02高考数学_通用版(老高考)复习资料_2024年复习资料_完备战2024年高考数学一轮复习考点帮(全国通用)_核心考点讲练
专题16数列的基本概念、等差与等比数列(教师版)_02高考数学_通用版(老高考)复习资料_2024年复习资料_完备战2024年高考数学一轮复习考点帮(全国通用)_核心考点讲练
专题16数列的基本概念、等差与等比数列(教师版)_02高考数学_通用版(老高考)复习资料_2024年复习资料_完备战2024年高考数学一轮复习考点帮(全国通用)_核心考点讲练
专题16数列的基本概念、等差与等比数列(教师版)_02高考数学_通用版(老高考)复习资料_2024年复习资料_完备战2024年高考数学一轮复习考点帮(全国通用)_核心考点讲练
专题16数列的基本概念、等差与等比数列(教师版)_02高考数学_通用版(老高考)复习资料_2024年复习资料_完备战2024年高考数学一轮复习考点帮(全国通用)_核心考点讲练
专题16数列的基本概念、等差与等比数列(教师版)_02高考数学_通用版(老高考)复习资料_2024年复习资料_完备战2024年高考数学一轮复习考点帮(全国通用)_核心考点讲练
专题16数列的基本概念、等差与等比数列(教师版)_02高考数学_通用版(老高考)复习资料_2024年复习资料_完备战2024年高考数学一轮复习考点帮(全国通用)_核心考点讲练
专题16数列的基本概念、等差与等比数列(教师版)_02高考数学_通用版(老高考)复习资料_2024年复习资料_完备战2024年高考数学一轮复习考点帮(全国通用)_核心考点讲练
专题16数列的基本概念、等差与等比数列(教师版)_02高考数学_通用版(老高考)复习资料_2024年复习资料_完备战2024年高考数学一轮复习考点帮(全国通用)_核心考点讲练
专题16数列的基本概念、等差与等比数列(教师版)_02高考数学_通用版(老高考)复习资料_2024年复习资料_完备战2024年高考数学一轮复习考点帮(全国通用)_核心考点讲练
专题16数列的基本概念、等差与等比数列(教师版)_02高考数学_通用版(老高考)复习资料_2024年复习资料_完备战2024年高考数学一轮复习考点帮(全国通用)_核心考点讲练
专题16数列的基本概念、等差与等比数列(教师版)_02高考数学_通用版(老高考)复习资料_2024年复习资料_完备战2024年高考数学一轮复习考点帮(全国通用)_核心考点讲练
专题16数列的基本概念、等差与等比数列(教师版)_02高考数学_通用版(老高考)复习资料_2024年复习资料_完备战2024年高考数学一轮复习考点帮(全国通用)_核心考点讲练
专题16数列的基本概念、等差与等比数列(教师版)_02高考数学_通用版(老高考)复习资料_2024年复习资料_完备战2024年高考数学一轮复习考点帮(全国通用)_核心考点讲练
专题16数列的基本概念、等差与等比数列(教师版)_02高考数学_通用版(老高考)复习资料_2024年复习资料_完备战2024年高考数学一轮复习考点帮(全国通用)_核心考点讲练
专题16数列的基本概念、等差与等比数列(教师版)_02高考数学_通用版(老高考)复习资料_2024年复习资料_完备战2024年高考数学一轮复习考点帮(全国通用)_核心考点讲练
专题16数列的基本概念、等差与等比数列(教师版)_02高考数学_通用版(老高考)复习资料_2024年复习资料_完备战2024年高考数学一轮复习考点帮(全国通用)_核心考点讲练
专题16数列的基本概念、等差与等比数列(教师版)_02高考数学_通用版(老高考)复习资料_2024年复习资料_完备战2024年高考数学一轮复习考点帮(全国通用)_核心考点讲练
专题16数列的基本概念、等差与等比数列(教师版)_02高考数学_通用版(老高考)复习资料_2024年复习资料_完备战2024年高考数学一轮复习考点帮(全国通用)_核心考点讲练
专题16数列的基本概念、等差与等比数列(教师版)_02高考数学_通用版(老高考)复习资料_2024年复习资料_完备战2024年高考数学一轮复习考点帮(全国通用)_核心考点讲练
专题16数列的基本概念、等差与等比数列(教师版)_02高考数学_通用版(老高考)复习资料_2024年复习资料_完备战2024年高考数学一轮复习考点帮(全国通用)_核心考点讲练
专题16数列的基本概念、等差与等比数列(教师版)_02高考数学_通用版(老高考)复习资料_2024年复习资料_完备战2024年高考数学一轮复习考点帮(全国通用)_核心考点讲练
专题16数列的基本概念、等差与等比数列(教师版)_02高考数学_通用版(老高考)复习资料_2024年复习资料_完备战2024年高考数学一轮复习考点帮(全国通用)_核心考点讲练
专题16数列的基本概念、等差与等比数列(教师版)_02高考数学_通用版(老高考)复习资料_2024年复习资料_完备战2024年高考数学一轮复习考点帮(全国通用)_核心考点讲练
专题16数列的基本概念、等差与等比数列(教师版)_02高考数学_通用版(老高考)复习资料_2024年复习资料_完备战2024年高考数学一轮复习考点帮(全国通用)_核心考点讲练
专题16数列的基本概念、等差与等比数列(教师版)_02高考数学_通用版(老高考)复习资料_2024年复习资料_完备战2024年高考数学一轮复习考点帮(全国通用)_核心考点讲练
专题16数列的基本概念、等差与等比数列(教师版)_02高考数学_通用版(老高考)复习资料_2024年复习资料_完备战2024年高考数学一轮复习考点帮(全国通用)_核心考点讲练
专题16数列的基本概念、等差与等比数列(教师版)_02高考数学_通用版(老高考)复习资料_2024年复习资料_完备战2024年高考数学一轮复习考点帮(全国通用)_核心考点讲练
专题16数列的基本概念、等差与等比数列(教师版)_02高考数学_通用版(老高考)复习资料_2024年复习资料_完备战2024年高考数学一轮复习考点帮(全国通用)_核心考点讲练
专题16数列的基本概念、等差与等比数列(教师版)_02高考数学_通用版(老高考)复习资料_2024年复习资料_完备战2024年高考数学一轮复习考点帮(全国通用)_核心考点讲练
专题16数列的基本概念、等差与等比数列(教师版)_02高考数学_通用版(老高考)复习资料_2024年复习资料_完备战2024年高考数学一轮复习考点帮(全国通用)_核心考点讲练
专题16数列的基本概念、等差与等比数列(教师版)_02高考数学_通用版(老高考)复习资料_2024年复习资料_完备战2024年高考数学一轮复习考点帮(全国通用)_核心考点讲练
专题16数列的基本概念、等差与等比数列(教师版)_02高考数学_通用版(老高考)复习资料_2024年复习资料_完备战2024年高考数学一轮复习考点帮(全国通用)_核心考点讲练
专题16数列的基本概念、等差与等比数列(教师版)_02高考数学_通用版(老高考)复习资料_2024年复习资料_完备战2024年高考数学一轮复习考点帮(全国通用)_核心考点讲练
专题16数列的基本概念、等差与等比数列(教师版)_02高考数学_通用版(老高考)复习资料_2024年复习资料_完备战2024年高考数学一轮复习考点帮(全国通用)_核心考点讲练
专题16数列的基本概念、等差与等比数列(教师版)_02高考数学_通用版(老高考)复习资料_2024年复习资料_完备战2024年高考数学一轮复习考点帮(全国通用)_核心考点讲练
专题16数列的基本概念、等差与等比数列(教师版)_02高考数学_通用版(老高考)复习资料_2024年复习资料_完备战2024年高考数学一轮复习考点帮(全国通用)_核心考点讲练
专题16数列的基本概念、等差与等比数列(教师版)_02高考数学_通用版(老高考)复习资料_2024年复习资料_完备战2024年高考数学一轮复习考点帮(全国通用)_核心考点讲练
专题16数列的基本概念、等差与等比数列(教师版)_02高考数学_通用版(老高考)复习资料_2024年复习资料_完备战2024年高考数学一轮复习考点帮(全国通用)_核心考点讲练
专题16数列的基本概念、等差与等比数列(教师版)_02高考数学_通用版(老高考)复习资料_2024年复习资料_完备战2024年高考数学一轮复习考点帮(全国通用)_核心考点讲练
专题16数列的基本概念、等差与等比数列(教师版)_02高考数学_通用版(老高考)复习资料_2024年复习资料_完备战2024年高考数学一轮复习考点帮(全国通用)_核心考点讲练
专题16数列的基本概念、等差与等比数列(教师版)_02高考数学_通用版(老高考)复习资料_2024年复习资料_完备战2024年高考数学一轮复习考点帮(全国通用)_核心考点讲练
专题16数列的基本概念、等差与等比数列(教师版)_02高考数学_通用版(老高考)复习资料_2024年复习资料_完备战2024年高考数学一轮复习考点帮(全国通用)_核心考点讲练
专题16数列的基本概念、等差与等比数列(教师版)_02高考数学_通用版(老高考)复习资料_2024年复习资料_完备战2024年高考数学一轮复习考点帮(全国通用)_核心考点讲练
专题16数列的基本概念、等差与等比数列(教师版)_02高考数学_通用版(老高考)复习资料_2024年复习资料_完备战2024年高考数学一轮复习考点帮(全国通用)_核心考点讲练
专题16数列的基本概念、等差与等比数列(教师版)_02高考数学_通用版(老高考)复习资料_2024年复习资料_完备战2024年高考数学一轮复习考点帮(全国通用)_核心考点讲练
专题16数列的基本概念、等差与等比数列(教师版)_02高考数学_通用版(老高考)复习资料_2024年复习资料_完备战2024年高考数学一轮复习考点帮(全国通用)_核心考点讲练
专题16数列的基本概念、等差与等比数列(教师版)_02高考数学_通用版(老高考)复习资料_2024年复习资料_完备战2024年高考数学一轮复习考点帮(全国通用)_核心考点讲练
专题16数列的基本概念、等差与等比数列(教师版)_02高考数学_通用版(老高考)复习资料_2024年复习资料_完备战2024年高考数学一轮复习考点帮(全国通用)_核心考点讲练
专题16数列的基本概念、等差与等比数列(教师版)_02高考数学_通用版(老高考)复习资料_2024年复习资料_完备战2024年高考数学一轮复习考点帮(全国通用)_核心考点讲练
专题16数列的基本概念、等差与等比数列(教师版)_02高考数学_通用版(老高考)复习资料_2024年复习资料_完备战2024年高考数学一轮复习考点帮(全国通用)_核心考点讲练
专题16数列的基本概念、等差与等比数列(教师版)_02高考数学_通用版(老高考)复习资料_2024年复习资料_完备战2024年高考数学一轮复习考点帮(全国通用)_核心考点讲练
专题16数列的基本概念、等差与等比数列(教师版)_02高考数学_通用版(老高考)复习资料_2024年复习资料_完备战2024年高考数学一轮复习考点帮(全国通用)_核心考点讲练
专题16数列的基本概念、等差与等比数列(教师版)_02高考数学_通用版(老高考)复习资料_2024年复习资料_完备战2024年高考数学一轮复习考点帮(全国通用)_核心考点讲练
专题16数列的基本概念、等差与等比数列(教师版)_02高考数学_通用版(老高考)复习资料_2024年复习资料_完备战2024年高考数学一轮复习考点帮(全国通用)_核心考点讲练
专题16数列的基本概念、等差与等比数列(教师版)_02高考数学_通用版(老高考)复习资料_2024年复习资料_完备战2024年高考数学一轮复习考点帮(全国通用)_核心考点讲练
专题16数列的基本概念、等差与等比数列(教师版)_02高考数学_通用版(老高考)复习资料_2024年复习资料_完备战2024年高考数学一轮复习考点帮(全国通用)_核心考点讲练

文档信息

文档格式
docx
文档大小
5.080 MB
文档页数
87 页
上传时间
2026-04-12 06:13:12

文档内容

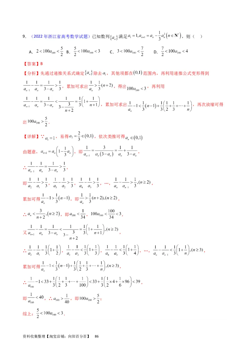
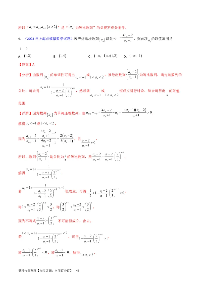
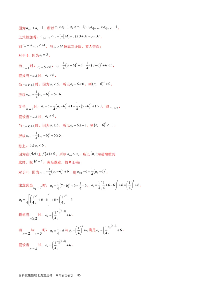
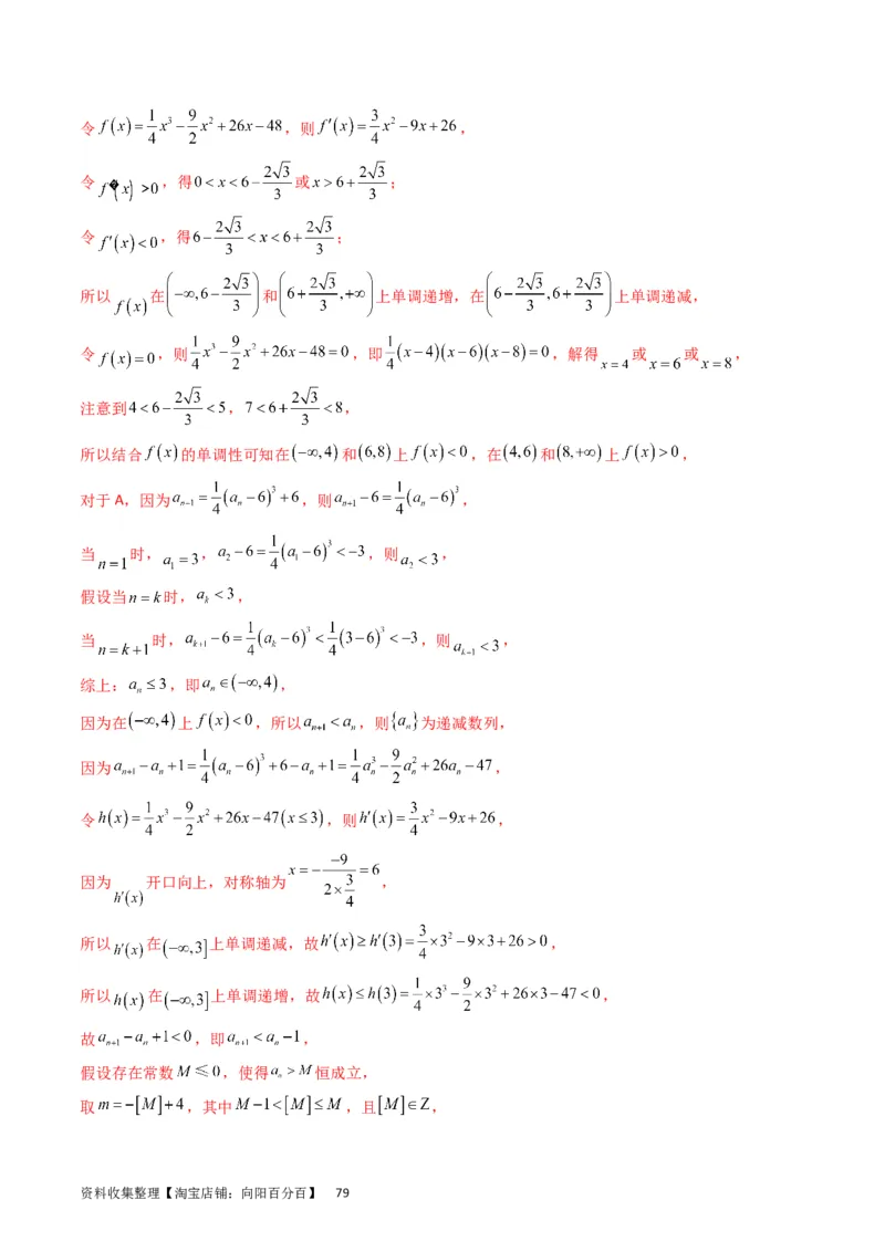
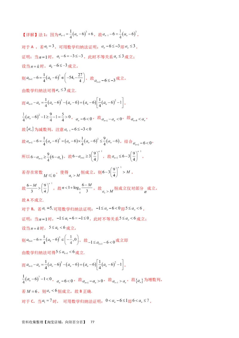
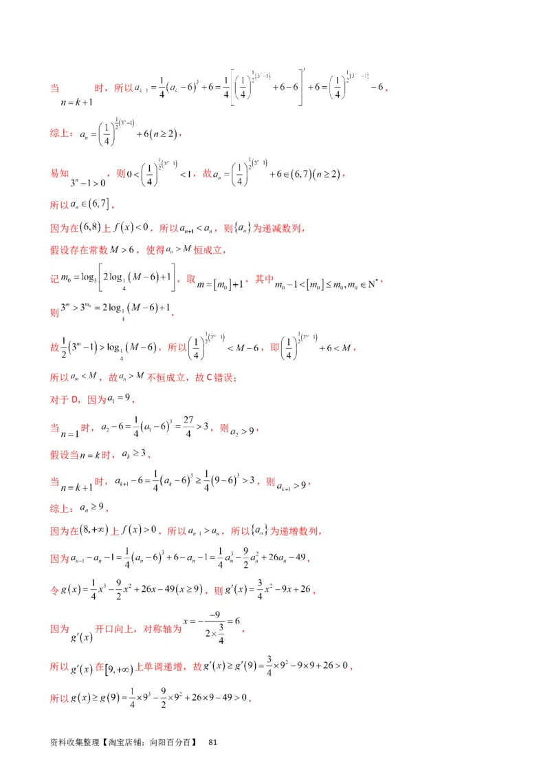
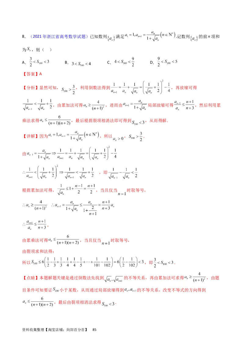
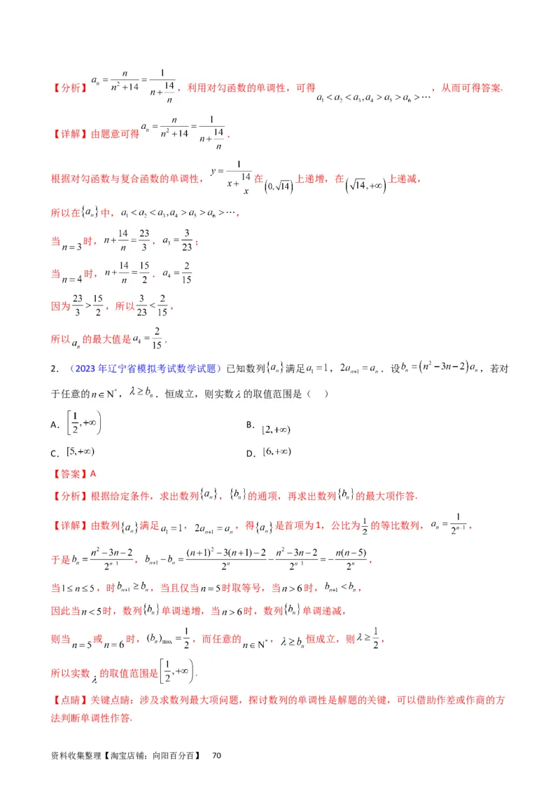
专题 16 数列的基本概念、等差与等比数列 (核心考点精讲精练) 1. 近几年真题考点分布 数列近几年考情 考题示例 考点分析 关联考点 1、求等比数列的通项公式,等差中项的应用 2021年全国乙(文科),第19题,12分 2、错位相减求前 项和 1、证明等差数列 2021年全国乙(理科),第19题,12分 2、求通项公式 2021年全国甲(文科),第17题,12分 证明等差数列 2021年全国甲(文科),第9题,5分 等比数列通项公式基本量计算,求前 项和 证明等差数列,等差数列的应用 2021年全国甲(理科),第18题,12分 求前 项和,由前 项和求通项 判断充分性与 2021年全国甲(理科),第7题,5分 判断数列的增减性 必要性 2022年全国乙(理科),第8题,5分 等比数列通项公式基本量计算,求数列的项 2022年全国乙(文科),第10题,5分 2022年全国甲(理科),第17题,12分 1、递推公式证明等差数列 2022年全国甲(文科),第17题,12分 2、等比中项的应用,求前 项和 1、利用定义求等差数列通项公式,等差数列 2023年全国乙(文科),第18题,12分 基本量的计算 2、含绝对值的等差数列求前 项和 2023年全国乙(理科),第15题,5分 等比数列通项公式基本量计算 余弦函数,集 2023年全国乙(理科),第10题,5分 等差数列求通项公式,数列周期性 合元素互异性 2023年全国甲(文科),第5题,5分 等差数列性质计算,求前 项和 2023年全国甲(理科),第5题,5分 等比数列前 项和 2. 命题规律及备考策略 【命题规律】1.本节为高考必考内容,各种题型均有出现; 资料收集整理【淘宝店铺:向阳百分百】 12.考查数列的增减性、周期性; 3.考查等差、等比数列基本量的计算,等差、等比中项的应用; 4.考查由递推公式证明等差、等比数列; 5.考查求等差、等比数列的通项公式与前 项和; 【备考策略】1.了解数列的概念和表示方法(列表、通项公式、递推公式). 2.了解数列是自变量为正整数的一类特殊函数. 3.理解等差数列的概念和通项公式的意义. 4.探索并掌握等差数列的前 项和公式,理解等差数列的通项公式与前 项和公式的关系. 5.能在具体的问题情境中,发现数列的等差关系,并解决相应的问题. 6.体会等差数列的通项公式与一元一次函数的关系. 7.理解等比数列的概念和通项公式的意义. 8.探索并掌握等比数列的前 项和公式,理解等比数列的通项公式与前 项和公式的关系. 9.能在具体的问题情境中,发现数列的等比关系,并解决相应的问题. 10.体会等比数列的通项公式与指数函数的关系. 【命题预测】1.考查数列的增减性、周期性; 2.考查等差、等比数列基本量的计算,等差、等比中项的应用; 3.考查由递推公式证明等差、等比数列; 4.考查求等差、等比数列的通项公式与前 项和; 资料收集整理【淘宝店铺:向阳百分百】 2知识讲解 一、数列的有关概念 数列 按照 一定的次序排列起来 的一列数 数列的项 数列中的 每一个数 数列的通项 数列 的第 项 通项公式 数列 的第 项 与 之间的关系能用公式 表达 前 项和 数列的函 数特征 数列可以看成以正整数集N*(或它的有限子集{1,2,…, })为定义域的函数 (1)并不是所有的数列都有通项公式; (2)同一个数列的通项公式在形式上未必唯一; (3)对于一个数列,如果只知道它的前几项,而没有指出它的变化规律,是不能确定这个数列的. 二、数列的分类 分类原则 类型 满足条件 按项数 有穷数列 项数有限 分类 无穷数列 项数无限 按项与项 递增数列 间的大小 其中 关系分类 递减数列 资料收集整理【淘宝店铺:向阳百分百】 3常数列 摆动数列 从第 2 项起,有些项大于它的前一项,有些项小于它的前一项 三、数列的递推公式 1.两个条件: (1)已知数列的第1项(或前几项); a (2)从第2项(或某一项)开始的任意一项 与它的前一项 n-1(或前几项)间的关系可以用一个公式来表示. 2.结论:具备以上两个条件的公式叫作这个数列的 递推 公式. 四、数列递推公式与通项公式的关系 递推公式 通项公式 表示 与它的前一项 (或前几项)之间的关 区别 表示 与 之间的关系 系 (1)都是表示数列的一种方法; 联系 (2)由递推公式求出前几项可归纳猜想出通项公式 五、数列{a }的a 与S 的关系 n n n 1.数列 的前 项和: . 2. 当 时求出的 也适合 时的情形,可用一个式子表示 ,否则分段表示. 由数列前几项归纳数列通项公式的方法及策略 (1)常用方法有观察法(观察规律)、比较法(比较已知数列)、归纳法、转化法(转化为特殊数列)、联想法 (联想常见的数列).同时也可以利用添项、还原、分割等方法,寻找到一个常见数列,通过常见数列的通项公式 求得所给数列的通项公式. (2)具体策略 ①观察分式中分子、分母的特征; ②观察相邻项的变化特征,如递增时可考虑关于 为一次递增或以 , 等形式递增; ③观察拆项后的特征; ④观察各项的符号特征和绝对值的特征; ⑤化异为同,对于分式还可以考虑对分子、分母各个击破,或寻找分子、分母之间的关系; ⑥对于符号交替出现的情况,可用 或 , 来处理. 由递推公式写出数列的项的方法 (1)根据递推公式写出数列的前几项,首先要弄清楚公式中各部分的关系,依次代入计算即可; (2)若知道的是末项,通常将所给公式整理成用后面的项表示前面的项的形式,如 ; (3)若知道的是首项,通常将所给公式整理成用前面的项表示后面的项的形式,如 . 1.已知 求 的三个步骤 (1)先利用 求出 ; (2)用 替换 中的 得到一个新的关系,利用 即可求出当 时 的表达式; 资料收集整理【淘宝店铺:向阳百分百】 4(3)注意检验 时的表达式是否可以与 时的表达式合并. 2. 与 关系问题的求解思路 根据所求结果的不同要求,将问题向不同的两个方向转化. (1)利用 ,转化为只含 , 的关系式,再求解; (2)利用 ,转化为只含 , 的关系式,再求解. 判断数列单调性的方法 (1)作差比较法: 数列 是递增数列; 数列 是递减数列; 数列 是常数列. (2)作商比较法:① 当 a >0 时, 数列 是递增数列; 数列 是递减数列; n 数列 是常数列. ②当a <0时, 数列 是递减数列; 数列 是递增数列; 数列 n 是常数列. (3)结合相应函数的图象直观判断. 解决数列周期性问题的方法 先根据已知条件求出数列的前几项,确定数列的周期,再根据周期性求值. 求数列中最大(小)项的常用方法 (1)函数法,利用函数求最值. (2)通过通项公式 研究数列的单调性,利用 确定最大项,利用 确定 最小项. (3)比较法:①若 ,则 ,即数列 是递增 数列,所以数列 的最小项为 ;②若 , 则 ,即数列 是递减数列,所以数列 的最大项为 . 六、等差数列的基本问题 1.定义:如果一个数列从第2项起,每一项与它的前一项的差等于同一个常数,那么这个数列就叫作等差数列, 这个常数叫作等差数列的 公差 ,公差通常用字母 表示,定义的表达式为 . 2.通项公式:如果等差数列 的首项为 ,公差为 ,那么通项公式为 . 推导方法(累加法): . 3.等差中项:如果 成等差数列,那么 叫作 与 的等差中项,且 . 4.前 项和公式为: 资料收集整理【淘宝店铺:向阳百分百】 5推导方法:倒序相加法. 5.判断等差数列的方法 (1)定义法: (2)等差中项法: 用函数观点判断等差数列 (3) (类似于一次函数 ); (4) (类似于常数项为零的二次函数 ). 七、等差数列的性质 已知数列 是等差数列, 是其前 项和. 1.下标和与项的和的关系:若 ,则 . 特别地,若 ,则 . 2.任意两项的关系. (1)在等差数列 中, , ,则 . (2)在等差数列 中,等距离取出若干项也构成一个等差数列,即 , , ,…为等差数列,公差为 m d . (3)等差数列依次每 项和也构成一个等差数列,即 , , ,…为等差数列,公差为 . 3.设等差数列 的公差为 ,那么 (1) 是递增数列, 有最小值; 是递减数列, 有最大值; 是常数列. (2)数列 仍为等差数列,公差为 . (3)若 , 都是等差数列,则 仍为等差数列. (1)关于非零等差数列奇数项和与偶数项和的性质 ①若项数为 ,则 , . ②若项数为 ,则 , , , . (2)若两个等差数列 , 的前 项和分别为 , ,则 . 等差数列的基本量为首项 和公差 ,通常利用已知条件及通项公式或前 项和公式列方程(组)求解,等 差数列中包含 , , , , 五个量,可“知三求二”. 涉及等差数列基本量的运算问题其关键是建立首项 和公差 的等量关系.若运用等差数列性质可以化繁 为简、优化解题过程. 资料收集整理【淘宝店铺:向阳百分百】 6判定数列 是等差数列的常用方法 (1)定义法:证明对任意正整数 都有 等于同一个常数. (2)等差中项法:证明对任意正整数 都有 . (3)通项公式法:得出 后,再根据定义判定数列 为等差数列. (4)前 项和公式法:得出 后,再使用定义法证明数列 为等差数列. 若 为等差数列, ,则 .因此,若出现 , , 等 项,可以利用此性质将已知条件转化为与 (或其他项)有关的条件;若求 项,可由 转 化为求 , 或 的值.要注意等差数列通项公式及前 项和公式的灵活应用. 等差数列前 项和的性质常结合等差数列项的性质求解,此外,当项数为偶数 时, ;当项 数为奇数 时, , ∶ ∶ . 求等差数列前 项和 最值的方法 (1)函数法:利用等差数列前 项和的函数表达式 , 通过配方或借助图象求二次函数最值的方法求解. (2)邻项变号法: 当 时,满足 的项数 使得 取得最大值为 ; 当 时,满足 的项数 使得 取得最小值为 . 遇到与正整数有关的应用题时,可以考虑与数列知识联系,建立数列模型,具体解决时要注意以下两点: (1)抓住实际问题的特征,明确是什么类型的数列模型; (2)深入分析题意,确定是求通项公式 ,或是求前 项和 ,还是求项数 . 八、等比数列的有关概念 1.等比数列 一个数列从第 2 项起,每一项与它的前一项的比等于 同一常数 (不为零),那么这个数列就叫作等比数 列.这个常数叫作等比数列的 公比 ,通常用字母 表示,定义的表达式为 . 2.等比中项 如果 成等比数列,那么 G 叫作 与 的等比中项.即 是 与 的等比中项 成等比数列 ⇔ . 由 并不能立即断言 为等比数列,还要验证 . 九、等比数列的有关公式 1.通项公式: . 资料收集整理【淘宝店铺:向阳百分百】 72.前 项和公式: . 在运用等比数列的前 项和公式时,要注意对 与 分类讨论,防止因忽略 这一特殊情形而 导致解题出错. 十、等比数列的常用性质 1.通项公式的推广: . 2.若 ,则 . 3.若数列 , (项数相同)是等比数列,则 , , , , 依然是等比数列. 4.在等比数列 中,等距离取出若干项也构成一个等比数列,即 , , , ,…为等比数列,公比为 . 5.若公比不为-1的等比数列 的前 项和为 ,则 , , 仍成等比数列,其公比为 . 6.(单调性)等比数列 满足 时, 是 递增 数列;满足 时, 是 递减 数列. 等比数列基本量运算的解题策略 (1)等比数列基本量的运算是等比数列知识中的一类基本问题,等比数列中有五个量 , , , , ,一般 可以“知三求二”,通过列方程(组)便可迎刃而解. (2)等比数列的前 项和公式涉及对公比 的分类讨论:当 时, 的前 项和 ;当 时, 的前 项和 . 等比数列的判定方法 若 ( 为非零常数, )或 ( 为非零常数且 ),则 是等 定义法 比数列 中项 若数列 中, 且 ,则 是等比数列 公式法 通项 若数列 的通项公式可写成 ( , 均为非零常数, ),则 是等比数列 公式法 资料收集整理【淘宝店铺:向阳百分百】 8前n项和 若数列 的前 项和 ( 为非零常数, 且 ),则 是等比数列 公式法 1.在解决等比数列的有关问题时,要注意挖掘隐含条件,利用性质,特别是“若 ,则 ”,可以减少运算量,提高解题速度. 2.在应用相应性质解题时,要注意性质成立的前提条件,有时需要进行适当变形.此外,解题时注意设而不 求思想的运用. 1.在等比数列 中,设公比为 ,所有奇数项的和 与所有偶数项的和 具有如下的性质: (1)若共有 项,则 ; (2)若共有 项, . 2.在等比数列 中, 表示它的前 项和.当 时,有 , , ,…也成等比数列,公比为 . 本题要讨论 分别为奇数和偶数时, 的最值情况,即可求出 的最大值,从而确定 的最小值. 解数列应用题的具体方法步骤 (1)认真审题,准确理解题意,理清思路: ①明确问题属于哪类应用问题,即明确是等差数列问题 还是等比数列问题;是求 ,还是求 ;是否为含有递推关系的数列问题.特别要注意项数是多少. ②弄清题目中主要的已知事项. (2)抓住数量关系,联想数学知识和数学方法,恰当引入参数变量,将文字语言翻译成数学语言,将数量关系 用数学式子表达. (3)将实际问题抽象为数学问题,将已知与所求联系起来,列出满足题意的数学关系式. 考点一、 找规律求数列的项或通项 1.数列 , , , ,……的通项公式可能是 ( ) A. B. C. D. 资料收集整理【淘宝店铺:向阳百分百】 9【答案】C 【分析】由分母构成等差数列即可求出. 【详解】数列的分母 形成首项为5,公差为2的等差数列,则通项公式为 , 所以 . 2.(2023年江西省模拟数学试题)已知数列1, ,2, ,4,…,根据该数列的规律,16是该数列 的( ) A.第7项 B.第8项 C.第9项 D.第10项 【答案】C 【分析】观察即可得出数列的通项公式为 ,解 ,即可得出答案. 【详解】根据规律可得 ,令 ,可得 ,故16是该数列的第9项. 3.数列 的通项公式不能是( ) A. B. C. D. 【答案】C 【分析】通过化简 来确定正确答案. 【详解】对于选项ABD的数列,均可化为数列 符合要求; 对于C, 不符合要求. 4.根据下列数列的前几项,写出它的一个通项公式: (1) ; (2) . 【答案】(1) ;(2) . 资料收集整理【淘宝店铺:向阳百分百】 10【分析】观察式子特点,归纳总结通项公式即可. 【详解】(1)观察式子,由于 ,可以看为 所以 ,可以为 所以 ,可以看成 所以 . (2) , 观察式子分子依次为: , 分母依此为: 所以 . 5.如图所示,第 个图形是由正 边形“扩展”而来 ,其中第1个图形中共有12个顶点, 第2个图形中共有20个顶点,则第 个图形中共有 个顶点. 【答案】 【分析】由题意结合图形可得,第 个图形含有正 边形的 个顶点以及每条边多出来的 个顶 点,即可得答案. 【详解】第 个图形含有正 边形的 个顶点,此外每条边多出来了 个顶点, 又 边形有 条边,即多出来了 个顶点, 则第 个图形中共有 个顶点. 1.(2023年甘肃省模拟数学试题)数列 的一个通项公式为 . 【答案】 资料收集整理【淘宝店铺:向阳百分百】 11【分析】观察数列规律可得. 【详解】观察数列可知,数列 的一个通项公式为 . 2.(2023年安徽省联合检测数学试题)数列 的第11项是( ) A. B. C. D. 【答案】A 【分析】由所给数列的前几项归纳数列的通项公式, 确定数列的第 项. 【详解】设该数列的第 项为 , 由已知 , 变形可得 , 所以数列 的一个通项公式可以是 , 则 . 3.(2023年北京名校模拟试题)根据下面各数列的前几项,写出该数列的一个通项公式:① .②1,3,6,10,15,…, .③1,3,3, 5,5,7,7,9,9,…, . 【答案】 . . 【分析】通过观察法分析数列的变化规律即可求解. 【详解】① 可改写为 则 . ②1,3,6,10,15,…, , , ,…, , 利用累加法可得 , . ③1,3,3,5,5,7,7,9,9,…,奇数项 ,偶数项 , 资料收集整理【淘宝店铺:向阳百分百】 12所以 4.写出下列数列的一个通项公式,使它的前4项分别是下列各数: (1) ; (2) ; (3) ; (4)9,99,999,9999. 【答案】(1)答案见解析;(2)答案见解析;(3)答案见解析;(4)答案见解析. 【分析】(1)先分析符号规律,再根据分子分母规律求解; (2)根据分子分母规律求解; (3)根据奇偶性规律求解; (4)各项加1,即可发现规律求解. 【详解】(1)这个数列的前4项的绝对值都是序号的倒数,并且奇数项为负,偶数项为正, 所以它的一个通项公式为 . (2)数列中的项,有的是分数,有的是整数,可将各项都统一成分数再观察: , 所以它的一个通项公式为 . (3)这个数列中的项是0与1交替出现,奇数项都是0,偶数项都是1, 所以通项公式可以写成 . 也可以写成 或 . (4)各项加1后,变为10,100,1 000,10 000,…,此数列的通项公式为10n, 所以原数列的一个通项公式为 . 5.(2023年湖北省模拟数学试题)根据下列5个图形及相应点的个数的变化规律,可以得出第8个图有 个点. 资料收集整理【淘宝店铺:向阳百分百】 13【答案】57 【分析】根据题意,首先观察题目所给的五个图像,找出每个图形之间有什么联系,然后通过每个图形之 间的联系得出通项公式,得出结论. 【详解】根据题意,图(1)中只有1个点,无分支; 图(2)除中间一个点外,有两个分支,每个分支由1个点; 图(3)除中间一个点外,有三个分支,每个分支由2个点; 图(4)除中间一个点外,有四个分支,每个分支由3个点, 则第 个图形中除中间一个点外,有 个分支,每个分支有 个点,第 个图形中有 个点, 故第8个图形中有 个点. 考点 二 、 由递推公式求数列的项或通项 1.(2023年江西省质量检测数学(文)试题)已知数列 满足 , ,则 = ( ) A.80 B.100 C.120 D.143 【答案】C 【分析】根据 ,可得 ,从而可证得数列 是等差数列, 从而可求得数列 的通项,即可得解. 【详解】解:因为 , 所以 ,即 , 等式两边开方可得: ,即 , 所以数列 是以首项为 ,公差为1的等差数列, 所以 ,所以 . 2.(2023年广东茂名模拟)设数列 满足 ,且 ,则 ( ). A. B. C. D. 资料收集整理【淘宝店铺:向阳百分百】 14【答案】C 【详解】∵ , , ∴ ,解得 , ∴ ,解得 , ∴ ,解得 . 3.(2023年安徽蚌埠三模)若数列 满足 ,且 则 ( ). A.19 B.22 C.43 D.46 【答案】C 【详解】由 得 , , , , , . 周期性 4.(2023年甘肃省模拟考试数学试题)已知数列 满足 ,则 =( ) A.3 B. C. D. 【答案】C 【分析】根据递推形式求数列的前几项,判断数列是周期数列,再求值. 【详解】 , , , , , 所以 是周期数列,且周期为4,又 ,所以 . 资料收集整理【淘宝店铺:向阳百分百】 151.(2023年沈阳模拟试题)设数列 的前 项和为 ,已知 , 则 ( ) A. B. C. D. 【答案】A 【详解】由已知得, , , , , ,…, 所以数列 是周期为4的数列,故 . 2.在数列 中,已知 , ,则 . 【答案】 【分析】由递推数列求出数列的前几项,可得数列 为周期数列,且周期为3,则 ,即可得出 答案. 【详解】∵ ,∴ , , ,…. 故数列 为周期数列,且周期为3,∴ . 考点 三 、 根据 与 的关系求通项 1.(2023年贵州省文化水平测试数学试题)已知数列 的前 项和为 ,且满足 ,则 ( ) A.16 B.18 C.20 D.25 【答案】B 【分析】利用 进行计算. 【详解】依题意, . 2.(2023年江苏省调研数学试题)若 是数列 的前n项和,已知 , ,且 ,则 ( ) 资料收集整理【淘宝店铺:向阳百分百】 16A. B. C. D. 【答案】A 【分析】根据已知条件及 与 的关系,利用构造法得 通项公式,结合等比数列的前n项和公式及分 组求和法即可求解. 【详解】由题意得当 时, , 设 ,得 , 又因为 , , 所以 也满足上式, 所以数列 是以首项为 ,公比为 的等比数列, 所以 ,即 , 所以 故 . 3.(2023年湖北省质量检测数学试题)已知数列满足 ,设 ,则数列 的前2023项和为( ) A. B. C. D. 【答案】B 【分析】根据题意先求出 ,即可求出 则可写出 的通项公式,再利用裂项相消 即可求出答案. 【详解】因为 ①, 当 时, ; 当 时, ②, ①-②化简得 , 当 时: ,也满足 , 所以 , , 所以 的前2023项和 . 资料收集整理【淘宝店铺:向阳百分百】 171.(2023年江苏省模拟数学试题)数列 的前 项和记为 ,若 ,则 . 【答案】 【分析】根据 的关系即可求解. 【详解】解:当 时,有 , 但当 时, 不适合上式, 故 . 2.已知数列 的前 项和为 ,若满足 ,则 ( ) A. B. C. D. 【答案】C 【分析】将 化为 ,再构造等比数列,利用等比数列的通项公式可求出结果. 【详解】当 时, , ,得 , 当 时, , , , ,又 , 所以 是首项为 ,公比为 的等比数列, 所以 , . 3.已知数列 满足 ,设数列 的前 项和为 ,若 恒成立,则 实数 的最小值为( ) A. B. C. D. 【答案】D 【分析】先求数列 的通项公式,但要注意首项是否满足,然后利用等比数列的前 项和公式求 ,进 资料收集整理【淘宝店铺:向阳百分百】 18而可求解. 【详解】 , 当 时, , 两式相减,得 , 又 不满足上式, 当 时, ;当 时, , 又 也满足上式, , , 的最小值为 . 考点 四 、 数列的性质 1.(2023年海南省学业水平诊断数学试题)在正项数列 中, , ,则 ( ) A.为递减数列 B.为递增数列 C.先递减后递增 D.先递增后递减 【答案】A 【分析】先判断 大小关系,进而假设数列单调性,利用数学归纳法证明即可得结论. 【详解】由 ,且 , 显然 成立, 假设 , 成立, 资料收集整理【淘宝店铺:向阳百分百】 19当 时,则 , 所以 ,故 为递减数列. 2.(2023年上海模拟数学试题)已知数列 ,下列说法正确的是( ) A. 有最大项,但没有最小项 B. 没有最大项,但有最小项 C. 既有最大项,又有最小项 D. 既没有最大项,也没有最小项 【答案】C 【分析】将 分奇偶项分别作差,判断出奇数项和偶数项的单调性,从而可得结果. 【详解】数列 , 当 时, , 所以当 时, , 单调递增; 当 时, , 单调递减, 故此时 有最大项为 ; 当 时, , , , 所以当 时, , 单调递减; 当 时, , 单调递增, 故此时 有最小项为 , 综上, 既有最大项,又有最小项. 3.(2023年北京市模拟考试数学试题)数列 的通项公式为 ,若 是递增 数列,则 的取值范围是( ) A. B. C. D. 【答案】D 【分析】由题意可得 对于 都成立,化简求解即可求出 的取值范围 【详解】因为数列 的通项公式为 ,且 是递增数列, 资料收集整理【淘宝店铺:向阳百分百】 20所以 对于 都成立, 所以 对于 都成立, 即 对于 都成立, 所以 对于 都成立,所以 ,即 的取值范围是 . 1.(2023年上海市模拟数学试题)已知数列 的通项公式为 ,且 为递增数列,则 实数 的取值范围是( ) A. B. C. D. 【答案】B 【分析】根据数列 为单调递增数列,可得到 恒成立,即可求得答案. 【详解】∵数列 的通项公式为 ,数列 是递增数列, ∴ , 恒成立 即 , 恒成立,而 随n的增大而增大, 即当 时, 取得最小值2,则 , 所以实数 的取值范围是 . 2.(2023年山东省模拟数学试题)若数列 的前 项积 ,则 的最大值与最小值的和为 ( ) A. B. C.2 D.3 【答案】C 【分析】由题可得 ,利用数列的增减性可得最值. 【详解】∵数列 的前 项积 , 当 时, , 当 时, , , 资料收集整理【淘宝店铺:向阳百分百】 21时也适合上式, ∴ , ∴当 时,数列 单调递减,且 , 当 时,数列 单调递减,且 , 故 的最大值为 ,最小值为 ,∴ 的最大值与最小值之和为2. 3.(2023年河南省模拟数学试题)已知数列 满足 , ,若对于任意 都有 ,则实数 的取值范围是( ) A. B. C. D. 【答案】C 【分析】先根据数列满足单调递减,得到 且 ,再比较端点值大小,求出 ,得到答案. 【详解】因为 时, ,而要满足 ,故 要单调递减,所以 ,解得 , 时, ,而要满足 ,故 要单调递减,所以 , 从而 , 还需满足 ,解得 , 所以实数 的取值范围是 . 考点 五 、 等差数列的基本量的计算 1.(2023年高考全国甲卷数学(文)真题)记 为等差数列 的前 项和.若 , 则 ( ) A.25 B.22 C.20 D.15 资料收集整理【淘宝店铺:向阳百分百】 22【答案】C 【分析】方法一:根据题意直接求出等差数列 的公差和首项,再根据前 项和公式即可解出; 方法二:根据等差数列的性质求出等差数列 的公差,再根据前 项和公式的性质即可解出. 【详解】方法一:设等差数列 的公差为 ,首项为 ,依题意可得, ,即 , 又 ,解得: , 所以 . 方法二: , ,所以 , , 从而 ,于是 , 所以 . 2.(2018年全国普通高等学校招生统一考试理科数学(新课标I卷))设 为等差数列 的前 项和, 若 , ,则 ( ) A. B. C. D. 【答案】B 【详解】分析:首先设出等差数列 的公差为 ,利用等差数列的求和公式,得到公差 所满足的等量 关系式,从而求得结果 ,之后应用等差数列的通项公式求得 ,从而求得正 确结果. 详解:设该等差数列的公差为 , 根据题中的条件可得 , 整理解得 ,所以 . 点睛:该题考查的是有关等差数列的求和公式和通项公式的应用,在解题的过程中,需要利用题中的条件, 结合等差数列的求和公式,得到公差 的值,之后利用等差数列的通项公式得到 与 的关系,从而 求得结果. 3.(2019年全国统一高考数学试卷(理科)(新课标Ⅰ))记 为等差数列 的前n项和.已知 ,则( ) A. B. C. D. 【答案】A 【分析】等差数列通项公式与前n项和公式.本题还可用排除,对B, , , 资料收集整理【淘宝店铺:向阳百分百】 23排除B,对C, ,排除C.对D, ,排除D. 【详解】由题知, ,解得 ,∴ . 【点睛】本题主要考查等差数列通项公式与前n项和公式,渗透方程思想与数学计算等素养.利用等差数 列通项公式与前n项公式即可列出关于首项与公差的方程,解出首项与公差,在适当计算即可做了判断. 1.(2005年普通高等学校招生考试数学(文)试题(山东卷)) 是首项 ,公差 的等差数 列,如果 ,则序号n等于( ) A.667 B.668 C.669 D.670 【答案】C 【分析】先求得等差数列 的通项公式,再利用 列方程,解之即可求得序号n的值. 【详解】等差数列 首项 ,公差 ,则 由 ,可得 2.等差数列 的首项为1,公差不为0,若 成等比数列,则 前6项的和为( ) A. B. C.3 D.8 【答案】A 【分析】设等差数列 的公差 ,由 成等比数列求出 ,代入 可得答案. 【详解】设等差数列 的公差 , ∵等差数列 的首项为1, 成等比数列, ∴ , ∴ ,且 , , 解得 , ∴ 前6项的和为 . 3.(2017年全国普通高等学校招生统一考试理科数学(新课标1卷))记 为等差数列 的前 项和. 若 , ,则 的公差为( ) 资料收集整理【淘宝店铺:向阳百分百】 24A.1 B.2 C.4 D.8 【答案】C 【详解】设公差为 , , , 联立 解得 ,故选C. 点睛:求解等差数列基本量问题时,要多多使用等差数列的性质,如 为等差数列,若 ,则 . 考点 六 、 判断等差数列 1.(2022年全国高考甲卷数学(理)试题)记 为数列 的前n项和.已知 . (1)证明: 是等差数列; (2)若 成等比数列,求 的最小值. 【答案】(1)证明见解析;(2) . 【分析】(1)依题意可得 ,根据 ,作差即可得到 ,从而 得证; (2)法一:由(1)及等比中项的性质求出 ,即可得到 的通项公式与前 项和,再根据二次函数的 性质计算可得. 【详解】(1)因为 ,即 ①, 当 时, ②, ① ②得, , 即 , 即 ,所以 , 且 , 所以 是以 为公差的等差数列. (2)[方法一]:二次函数的性质 资料收集整理【淘宝店铺:向阳百分百】 25由(1)可得 , , , 又 , , 成等比数列,所以 , 即 ,解得 , 所以 ,所以 , 所以,当 或 时, . [方法二]:【最优解】邻项变号法 由(1)可得 , , , 又 , , 成等比数列,所以 , 即 ,解得 , 所以 ,即有 . 则当 或 时, . 【整体点评】(2)法一:根据二次函数的性质求出 的最小值,适用于可以求出 的表达式; 法二:根据邻项变号法求最值,计算量小,是该题的最优解. 2.(2023年新课标全国Ⅰ卷数学真题)记 为数列 的前 项和,设甲: 为等差数列;乙: 为等差数列,则( ) A.甲是乙的充分条件但不是必要条件 B.甲是乙的必要条件但不是充分条件 C.甲是乙的充要条件 D.甲既不是乙的充分条件也不是乙的必要条件 【答案】C 【分析】利用充分条件、必要条件的定义及等差数列的定义,再结合数列前n项和与第n项的关系推理判 断作答., 【详解】方法1,甲: 为等差数列,设其首项为 ,公差为 , 则 , 因此 为等差数列,则甲是乙的充分条件; 反之,乙: 为等差数列,即 为常数,设为 , 即 ,则 ,有 , 资料收集整理【淘宝店铺:向阳百分百】 26两式相减得: ,即 ,对 也成立, 因此 为等差数列,则甲是乙的必要条件, 所以甲是乙的充要条件,C正确. 方法2,甲: 为等差数列,设数列 的首项 ,公差为 ,即 , 则 ,因此 为等差数列,即甲是乙的充分条件; 反之,乙: 为等差数列,即 , 即 , , 当 时,上两式相减得: ,当 时,上式成立, 于是 ,又 为常数, 因此 为等差数列,则甲是乙的必要条件, 所以甲是乙的充要条件. 3.(2023年广西联考数学(文)试题)已知数列 满足 ,其中 ,则 ( ) A.1 B. C.2 D. 【答案】C 【分析】根据已知递推关系,可以得到 ,数列 为等差数列,然后利用等差数列的性质 求得 的值. 【详解】由 ,得 是等差数列, . 4.已知数列 的前n项和为 ,满足 ,则 ( ) A.4043 B.4042 C.4041 D.4040 【答案】A 【分析】由等差中项的性质及等差数列的定义写出 通项公式,再由 关系求 的通项公式,进 而求 . 【详解】由 知: 为等差数列, 又 , ,则公差 , 所以 ,故 , 则 ,可得 ,而 也满足, 资料收集整理【淘宝店铺:向阳百分百】 27所以 ,则 . 1.(2023年广东省二模数学试题)记数列 的前 项和为 ,则“ ”是“ 为等差数列”的 ( ) A.充分不必要条件 B.必要不充分条件 C.充要条件 D.既不充分也不必要条件 【答案】B 【分析】利用等差数列前 项和及性质,结合充分条件、必要条件的意义判断作答. 【详解】等差数列 的前 项和为 ,则 , 数列 的前 项和为 ,取 ,显然有 , 而 ,即数列 不是等差数列, 所以“ ”是“ 为等差数列”的必要不充分条件. 2.(2023年慕华优策联考文科数学试题)已知数列 满足 ,且 , ,则 ( ) A. B. C. D. 【答案】C 【分析】根据等差中项定义可确定 为等差数列,结合等差数列通项公式可推导得到 ,代入 即可求得结果. 【详解】由 得: , 数列 为等差数列, 又 , , 数列 的公差 , , , . 3.已知各项为正的数列 的前n项和为 ,满足 ,则 的最小值为( ) A.4 B.3 C.2 2 D. 资料收集整理【淘宝店铺:向阳百分百】 28【答案】A 【分析】由数列的递推式可得 ,继而结合 求出 ,从而求得 ,由此求出 的表达式,利用基本不等式即可求得答案. 【详解】各项为正的数列 , , ∵ ,∴ , ∴ 时, , 化为: , ∵ , 又 ,解得 . ∴数列 是等差数列,首项为1,公差为2. ∴ , ∴ , ∴ , ,当且仅当n=2时取等号, ∴ 的最小值为4. 4.(2023年河南省新未来联盟联考理科数学试题)已知数列 中, , ,则数 列 的前10项和 ( ) A. B. C. D.2 【答案】C 【分析】将递推式两边同时倒下,然后构造等差数列求出数列 的通项公式,再利用裂项相消法求和即 可. 【详解】解:∵ ,∴ ,∴ . ∴数列 是首项为 ,公差为 的等差数列, 资料收集整理【淘宝店铺:向阳百分百】 29∴ ,∴ . ∴ , ∴数列 的前10项和 . 考点 七 、 等差数列的性质 1.(2020年北京市高考数学试卷)在等差数列 中, , .记 ,则 数列 ( ). A.有最大项,有最小项 B.有最大项,无最小项 C.无最大项,有最小项 D.无最大项,无最小项 【答案】B 【分析】首先求得数列的通项公式,然后结合数列中各个项数的符号和大小即可确定数列中是否存在最大 项和最小项. 【详解】由题意可知,等差数列的公差 , 则其通项公式为: , 注意到 , 且由 可知 , 由 可知数列 不存在最小项, 由于 , 故数列 中的正项只有有限项: , . 故数列 中存在最大项,且最大项为 . 【点睛】本题主要考查等差数列的通项公式,等差数列中项的符号问题,分类讨论的数学思想等知识,属 于中等题. 2.(2022年北京市高考数学试题)设 是公差不为0的无穷等差数列,则“ 为递增数列”是“存 在正整数 ,当 时, ”的( ) 资料收集整理【淘宝店铺:向阳百分百】 30A.充分而不必要条件 B.必要而不充分条件 C.充分必要条件 D.既不充分也不必要条件 【答案】C 【分析】设等差数列 的公差为 ,则 ,利用等差数列的通项公式结合充分条件、必要条件的定义 判断可得出结论. 【详解】设等差数列 的公差为 ,则 ,记 为不超过 的最大整数. 若 为单调递增数列,则 , 若 ,则当 时, ;若 ,则 , 由 可得 ,取 ,则当 时, , 所以,“ 是递增数列” “存在正整数 ,当 时, ”; 若存在正整数 ,当 时, ,取 且 , , 假设 ,令 可得 ,且 , 当 时, ,与题设矛盾,假设不成立,则 ,即数列 是递增数列. 所以,“ 是递增数列” “存在正整数 ,当 时, ”. 所以,“ 是递增数列”是“存在正整数 ,当 时, ”的充分必要条件. 3.(2020年浙江省高考数学试题)已知等差数列{an}的前n项和Sn,公差d≠0, .记b =S , 1 2 bn+ =S2n+ –S n, ,下列等式不可能成立的是( ) 1 2 2 A.2a =a +a B.2b =b +b C. D. 4 2 6 4 2 6 【答案】D 【分析】根据题意可得, ,而 ,即可表示出题中 , 再结合等差数列的性质即可判断各等式是否成立. 【详解】对于A,因为数列 为等差数列,所以根据等差数列的下标和性质,由 可得, ,A正确; 对于B,由题意可知, , , ∴ , , , . ∴ , . 根据等差数列的下标和性质,由 可得 ,B 资料收集整理【淘宝店铺:向阳百分百】 31正确; 对于C, , 当 时, ,C正确; 对于D, , , . 当 时, ,∴ 即 ; 当 时, ,∴ 即 ,所以 ,D不正确. 【点睛】本题主要考查等差数列的性质应用,属于基础题. 4.设等差数列 的前n项和为 ,若 , ,则 ( ) A.28 B.32 C.16 D.24 【答案】B 【分析】由等差数列 前n项和的性质,可得 , , , 成等差数列,结合题干数 据,可得解 【详解】由等差数列 前n项和的性质, 可得 , , , 成等差数列, ∴ ,解得 . ∴ 2,6,10, 成等差数列, 可得 ,解得 . 5.两个等差数列 和 的前 项和分别为 、 ,且 ,则 等于( ) A. B. C. D. 【答案】A 【分析】根据给定条件,利用等差数列前n项和公式结合等差数列性质计算作答. 【详解】两个等差数列 和 的前 项和分别为 、 ,且 , 所以 . 【点睛】本题主要考查等差数列的通项公式与求和公式的应用,意在考查灵活应用所学知识解答问题的能 资料收集整理【淘宝店铺:向阳百分百】 32力,属于中档题. 6.(2023年云南适应性月考卷数学试题)已知 为等差数列, 为 的前 项和. 若 , 则当 取最大值时, 的值为( ) A. B.4 C. D. 【答案】C 【分析】根据等差数列的前 项和公式及等差数列下角标的性质即可求解. 【详解】因为 ,所以 ,又 ,所以 ,所 以 ,则 . 1.(2021年北京市高考数学试题)已知 是各项均为整数的递增数列,且 ,若 , 则 的最大值为( ) A.9 B.10 C.11 D.12 【答案】C 【分析】使数列首项、递增幅度均最小,结合等差数列的通项及求和公式求得 可能的最大值,然后构造 数列满足条件,即得到 的最大值. 【详解】若要使 尽可能的大,则 ,递增幅度要尽可能小, 不妨设数列 是首项为3,公差为1的等差数列,其前 项和为 , 则 , , 所以 . 对于 , , 取数列 各项为 , , 则 , 所以 的最大值为11. 2.已知 是等差数列 的前n项和,若a=﹣2018, ,则S 等于( ) 1 2020 A.﹣4040 B.﹣2020 C.2020 D.4040 【答案】C 【分析】根据等差数列前n项和的性质,结合等差数列的通项公式进行求解即可. 资料收集整理【淘宝店铺:向阳百分百】 33【详解】∵ 是等差数列 的前n项和,∴数列{ }是等差数列. ∵ , , ∴数列 的公差 ,首项为 , ∴ , ∴ . 3.(2023年广东省二模数学试题)设等差数列 的前n项和为 ,若 , ,则 ( ) A.0 B. C. D. 【答案】C 【分析】由等差数列 的前 项和的性质可得: , , 也成等差数列,即可得出. 【详解】由等差数列 的前 项和的性质可得: , , 也成等差数列, , ,解得 . 4.设等差数列 , 的前n项和分别是 , ,若 ,则 ( ) A. B. C. D. 【答案】B 【分析】利用 求解. 【详解】解:因为等差数列 , 的前n项和分别是 , 所以 . 5.已知等差数列 的前 项和为 ,并且 , ,若 对 恒成立,则正整数 的值 为( ) A.4 B.5 C.6 D.7 【答案】C 资料收集整理【淘宝店铺:向阳百分百】 34【分析】由等差数列的前 项和公式和等差数列的性质可得 ,所以等差数列 的前6项为正 数,从第7项起为负数,由此即可求出正整数 的值. 【详解】由题意可得 , 所以 , 又 ,所以 , 又 可得 , 所以等差数列 的前6项为正数,从第7项起为负数, 所以 , 所以 . 考点 八 、 等差数列的实际应用 1.(2022年全国新高考II卷数学试题)图1是中国古代建筑中的举架结构, 是桁,相邻 桁的水平距离称为步,垂直距离称为举,图2是某古代建筑屋顶截面的示意图.其中 是 举, 是相等的步,相邻桁的举步之比分别为 .已知 成公差为0.1的等差数列,且直线 的斜率为0.725,则 ( ) A.0.75 B.0.8 C.0.85 D.0.9 【答案】D 【分析】设 ,则可得关于 的方程,求出其解后可得正确的选项. 【详解】设 ,则 , 资料收集整理【淘宝店铺:向阳百分百】 35依题意,有 ,且 , 所以 ,故 . 2.(2020年全国统一高考数学试卷(理科)(新课标Ⅱ))北京天坛的圜丘坛为古代祭天的场所,分上、 中、下三层,上层中心有一块圆形石板(称为天心石),环绕天心石砌9块扇面形石板构成第一环,向外每 环依次增加9块,下一层的第一环比上一层的最后一环多9块,向外每环依次也增加9块,已知每层环数 相同,且下层比中层多729块,则三层共有扇面形石板(不含天心石)( ) A.3699块 B.3474块 C.3402块 D.3339块 【答案】C 【分析】第 环天石心块数为 ,第一层共有 环,则 是以9为首项,9为公差的等差数列, 设 为 的前 项和,由题意可得 ,解方程即可得到 ,进一步得到 . 【详解】设第 环天石心块数为 ,第一层共有 环, 则 是以9为首项,9为公差的等差数列, , 设 为 的前 项和,则第一层、第二层、第三层的块数分 别为 ,因为下层比中层多729块, 所以 , 即 即 ,解得 , 所以 . 【点晴】本题主要考查等差数列前 项和有关的计算问题,考查学生数学运算能力,是一道容易题. 3.(2021年北京市高考数学试题)《中国共产党党旗党徽制作和使用的若干规定》指出,中国共产党党 旗为旗面缀有金黄色党徽图案的红旗,通用规格有五种.这五种规格党旗的长 (单位:cm)成等差 数列,对应的宽为 (单位: cm),且长与宽之比都相等,已知 , , ,则 ( 资料收集整理【淘宝店铺:向阳百分百】 36) A.64 B.96 C.128 D.160 【答案】C 【分析】设等差数列 公差为 ,求得 ,得到 ,结合党旗长与宽之比都相等和 , 列出方程,即可求解. 【详解】由题意,五种规格党旗的长 (单位:cm)成等差数列,设公差为 , 因为 , ,可得 , 可得 , 又由长与宽之比都相等,且 ,可得 ,所以 . 4.(2023年湖北省调研数学试题)“中国剩余定理”又称“孙子定理”,1852年英国来华传教士伟烈亚 力将《孙子算经》中“物不知数”问题的解法传至欧洲.1874年英国数学家马西森指出此法符合1801年由 高斯得出的关于同余式解法的一般性定理,因而西方称之为“中国剩余定理”,“中国剩余定理”讲的是 一个关于同余的问题.现有这样一个问题:将正整数中能被3除余1且被2除余1的数按由小到大的顺序 排成一列,构成数列 ,则 ( ) A.55 B.49 C.43 D.37 【答案】A 【分析】由条件写出通项公式,即可求解. 【详解】正整数中既能被3除余1且被2除余1的数,即被6除余1,那么 ,有 . 1.中国古代的武成王庙是专门祭祀姜太公以及历代良臣名将的庙宇,这类庙宇的顶部构造颇有讲究.如图 是某武成王庙顶部的剖面直观图,其中 , , ,且数列 是第二项为 的等差数列.若以 为坐标原点,以 , 分别为 , 轴正方向建 立平面直角坐标系,则直线 的斜率为( ) 资料收集整理【淘宝店铺:向阳百分百】 37A.0.4 B.0.45 C.0.5 D.0.55 【答案】A 【分析】根据数列 是第二项为 的等差数列可得 ,令 ,则根据题干 可得: ,再根据等差数列的性质即可求解. 【详解】由题意可知: ,令 , ,因为 , 所以 , 因为数列 是第二项为 的等差数列, 设公差为 ,则 ,因为 ,所以 , 同理 则直线 的斜率 . 2.《周髀算经》中有这样一个问题:从冬至日起,依次小寒、大寒、立春、雨水、惊蛰、春分、清明、 谷雨、立夏、小满、芒种这十二个节气其日影长依次成等差数列,冬至、立春、春分日影长之和为31.5尺, 前九个节气日影长之和为85.5尺,则芒种日影长为( ) A.1.5尺 B.2.5尺 C.3.5尺 D.4.5尺 【答案】B 【分析】利用等差数列通项公式和前 项和公式列方程组,求出首项和公差,由此能求出结果. 【详解】解:设数列为 ,首项为 ,公差为 , 则 , , 解得 , , 芒种日影长为 . 3.(2023年河北省教学质量检测数学试题)中国古代许多著名数学家对推导高阶等差数列的求和公式很 感兴趣,创造并发展了名为“垛积术”的算法,展现了聪明才智.南宋数学家杨辉在《详解九章算法》和 《算法通变本末》中,所讨论的二阶等差数列与一般等差数列不同,前后两项之差并不相等,但是后项减 资料收集整理【淘宝店铺:向阳百分百】 38前项之差组成的新数列是等差数列.现有一个“堆垛”,共50层,第一层2个小球,第二层5个小球,第 三层10个小球,第四层17个小球,...,按此规律,则第50层小球的个数为( ) A.2400 B.2401 C.2500 D.2501 【答案】D 【分析】依据等差数列的定义与求和公式,累加法计算即可. 【详解】不妨设第 层小球个数为 ,由题意, , ……,即各层小球之差成以3为首 项,2为公差的等差数列.所以 . 故有 ,累加可得: , 故 . 考点 九 、 等比数列的基本量的计算 1.(2023年全国高考甲卷数学(理)试题)设等比数列 的各项均为正数,前n项和 ,若 , ,则 ( ) A. B. C.15 D.40 【答案】C 【分析】根据题意列出关于 的方程,计算出 ,即可求出 . 【详解】由题知 , 即 ,即 ,即 . 由题知 ,所以 . 所以 . 2.(2023年新高考天津数学高考真题)已知 为等比数列, 为数列 的前 项和, , 则 的值为( ) A.3 B.18 C.54 D.152 【答案】C 资料收集整理【淘宝店铺:向阳百分百】 39【分析】由题意对所给的递推关系式进行赋值,得到关于首项、公比的方程组,求解方程组确定首项和公 比的值,然后结合等比数列通项公式即可求得 的值. 【详解】由题意可得:当 时, ,即 , ①当 时, ,即 , ②联立①②可得 ,则 . 3.(2022年全国高考乙卷数学(理)试题)已知等比数列 的前3项和为168, ,则 ( ) A.14 B.12 C.6 D.3 【答案】D 【分析】设等比数列 的公比为 ,易得 ,根据题意求出首项与公比,再根据等比数列的通 项即可得解. 【详解】解:设等比数列 的公比为 , 若 ,则 ,与题意矛盾, 所以 , 则 ,解得 , 所以 . 4.(2020年全国统一高考数学试卷(文科)(新课标Ⅰ))设 是等比数列,且 , ,则 ( ) A.12 B.24 C.30 D.32 【答案】D 【分析】根据已知条件求得 的值,再由 可求得结果. 【详解】设等比数列 的公比为 ,则 , , 因此, . 【点睛】本题主要考查等比数列基本量的计算,属于基础题. 资料收集整理【淘宝店铺:向阳百分百】 401.(2021年全国高考甲卷数学(文)试题)记 为等比数列 的前n项和.若 , ,则 ( ) A.7 B.8 C.9 D.10 【答案】A 【分析】根据题目条件可得 , , 成等比数列,从而求出 ,进一步求出答案. 【详解】∵ 为等比数列 的前n项和, ∴ , , 成等比数列 ∴ , ∴ , ∴ . 2.(2014年全国普通高等学校招生统一考试文科数学(全国Ⅱ卷))等差数列 的公差是2,若 成等比数列,则 的前 项和 ( ) A. B. C. D. 【答案】A 【详解】试题分析:由已知得, ,又因为 是公差为2的等差数列,故 , ,解得 ,所以 ,故 . 【考点】1、等差数列通项公式;2、等比中项;3、等差数列前n项和. 3.(2019年全国统一高考数学试卷(文科)(新课标Ⅲ))已知各项均为正数的等比数列 的前4项 和为15,且 ,则 ( ) A.16 B.8 C.4 D.2 【答案】C 【解析】利用方程思想列出关于 的方程组,求出 ,再利用通项公式即可求得 的值. 【详解】设正数的等比数列{an}的公比为 ,则 , 解得 , . 【点睛】本题利用方程思想求解数列的基本量,熟练应用公式是解题的关键. 4.(2020年全国统一高考数学试卷(文科)(新课标Ⅱ))记Sn为等比数列{an}的前n项和.若a – 5 资料收集整理【淘宝店铺:向阳百分百】 41a =12,a –a =24,则 =( ) 3 6 4 A.2n–1 B.2–21–n C.2–2n–1 D.21–n–1 【答案】B 【分析】根据等比数列的通项公式,可以得到方程组,解方程组求出首项和公比,最后利用等比数列的通 项公式和前 项和公式进行求解即可. 【详解】设等比数列的公比为 , 由 可得: , 所以 , 因此 . 【点睛】本题考查了等比数列的通项公式的基本量计算,考查了等比数列前 项和公式的应用,考查了数 学运算能力. 考点 十 、 判断等比数列 1.(2020年全国统一高考数学试卷(理科)(新课标Ⅱ))数列 中, ,对任意 ,若 ,则 ( ) A.2 B.3 C.4 D.5 【答案】C 【分析】取 ,可得出数列 是等比数列,求得数列 的通项公式,利用等比数列求和公式可得出 关于 的等式,由 可求得 的值. 【详解】在等式 中,令 ,可得 , , 所以,数列 是以 为首项,以 为公比的等比数列,则 , , ,则 ,解得 . 【点睛】本题考查利用等比数列求和求参数的值,解答的关键就是求出数列的通项公式,考查计算能力, 资料收集整理【淘宝店铺:向阳百分百】 42属于中等题. 2.(2023年河南省联考数学(文科)试题)已知数列 满足 ,且 , 则 ( ) A. B. C. D. 【答案】C 【分析】对所给式子化简、变形,构造新数列,通过等比数列的定义求出新数列的通项公式,再用累加法 求出 ,进而得到数列 的通项公式,即可得到答案. 【详解】因为 ,由递推知, ,所以 , 则 ,有 , 所以数列 是以 为首项, 为公比的等比数列, 则 ,所以 则 ,所以 . 【点睛】利用递推数列求通项公式,在理论上和实践中均有较高的价值。比较复杂的递推公式求通项公式 一般需用构造法构造来求,构造法求数列通项公式一般而言包括:取倒数,取对数,待定系数法等,其中待 定系数法较为常见. 一、倒数变换法,适用于 ( 为常数) 二、取对数运算 三、待定系数法 1、构造等差数列法 2、构造等比数列法 ①定义构造法。利用等比数列的定义 通过变换,构造等比数列的方法. ② ( 为常数)型递推式可构造为形如 的等比数列. ③ ( 为常数,下同)型递推式,可构造为形如 的等比数列. 资料收集整理【淘宝店铺:向阳百分百】 43四、函数构造法 对于某些比较复杂的递推式,通过分析结构,联想到与该递推式结构相同或相近的公式、函数,再构造 “桥函数”来求出所给的递推数列的通项公式的方法. 3.已知数列 的前 项和为 ,则 ( ) A. B. C. D. 【答案】D 【分析】根据给定条件,结合 变形,构造数列,再求数列通项即可求解作答. 【详解】因为 ,则 ,于是得 , 因此数列 是公差为1的等差数列,首项 ,则 ,所以 . 4.(2023年贵州省教学质量监测数学试题)已知数列 的前 项和 ( 为常数),则“ 为等比数列”是“ ”的( ) A.充分不必要条件 B.必要不充分条件 C.充要条件 D.既不充分也不必要条件 【答案】C 【分析】根据等比数列的定义结合充分条件和必要条件的定义分析判断. 【详解】因为数列 的前 项和 ( 为常数), 所以当 时, , 当 时, , 若数列 为等比数列,则 ,解得 , 当 时, ,满足 ,此时数列 是以6为首项,3为公比的等比数列, 所以“ 为等比数列”是“ ”的充要条件. 1.(2018年全国普通高等学校招生统一考试理科数学(新课标I卷))记 为数列 的前 项和,若 ,则 . 【答案】 【分析】首先根据题中所给的 ,类比着写出 ,两式相减,整理得到 ,从 而确定出数列 为等比数列,再令 ,结合 的关系,求得 ,之后应用等比数列的求和公 资料收集整理【淘宝店铺:向阳百分百】 44式求得 的值. 【详解】根据 ,可得 , 两式相减得 ,即 , 当 时, ,解得 , 所以数列 是以-1为首项,以2为公比的等比数列, 所以 . 点睛:该题考查的是有关数列的求和问题,在求解的过程中,需要先利用题中的条件,类比着往后写一个 式子,之后两式相减,得到相邻两项之间的关系,从而确定出该数列是等比数列,之后令 ,求得数列 的首项,最后应用等比数列的求和公式求解即可,只要明确对既有项又有和的式子的变形方向即可得结果. 2.(2024届湖北省摸底考试数学试题)设等比数列 的前 项和为 ,已知 , ,则 ( ) A.80 B.160 C.121 D.242 【答案】D 【分析】由 ,得 ( ),两式相减可求了公比 ,再将 代入 中化简可求出 ,从而可求出 . 【详解】由 ,得 ( ), 所以 ,得 , 所以等比数列 的公比为 , 所以由 ,得 , 所以 ,解得 , 所以 . 3.(2023年辽宁省模拟考试数学试题)已知数列 ,则“ ”是“ 为等比数列” 的( ) A.充分不必要条件 B.必要不充分条件 C.充要条件 D.既不充分也不必要条件 【答案】B 【分析】根据等比数列的性质进行充分性与必要性判断即可. 【详解】若 为等比数列,则 一定成立;若 ,则 不一定为等比数列, 比如 资料收集整理【淘宝店铺:向阳百分百】 45所以“ ”是“ 为等比数列”的必要不充分条件. 4.(2023年上海市模拟数学试题)若严格递增数列 满足 ,则首项 的取值范围是 ( ) A. B. C. D. 【答案】A 【分析】由数列 的单调性可得出 或 ,推导出数列 为等比数列,确定该数列的 公比,可求得 ,然后就 或 恒成立进行讨论,综合可得出 的取值 范围. 【详解】因为数列 为单调递增数列,由 , 解得 或 , 因为 ,且 , 所以,数列 是公比为 的等比数列,故 , 解得 . 若 恒成立,可得 , 即 ,即 , 因为不等式 不可能恒成立,舍去; 若 ,可得 , 即 ,即 ,解得 , 资料收集整理【淘宝店铺:向阳百分百】 46因此,首项 的取值范围是 . 5.(2023年广东省模拟数学试题)已知等比数列 的前 项和为 ,且 ,则 ( ) A. B. C. D. 【答案】C 【分析】利用 与 的关系求出数列 的通项公式,利用等比数列的定义可得出关于 的等式,解之即 可. 【详解】当 时, , 当 时, , 故当 时, , 因为数列 为等比数列,易知该数列的公比为 ,则 ,即 , 解得 . 考点 十一 、 等比数列的性质 1.(2014年全国普通高等学校招生统一考试理科数学(北京卷))设 是公比为 的等比数列,则“ ”是“ 为递增数列”的( ) A.充分而不必要条件 B.必要而不充分条件 C.充分必要条件 D.既不充分也不必要条件 【答案】D 【详解】试题分析:当 时, 不是递增数列;当 且 时, 是递增数列, 但是 不成立,所以选D. 考点:等比数列 2.(2022年北京市高考数学试题)已知数列 各项均为正数,其前n项和 满足 . 给出下列四个结论: ① 的第2项小于3; ② 为等比数列; ③ 为递减数列; ④ 中存在小于 的项. 其中所有正确结论的序号是 . 【答案】①③④ 资料收集整理【淘宝店铺:向阳百分百】 47【分析】推导出 ,求出 、 的值,可判断①;利用反证法可判断②④;利用数列单调性的 定义可判断③. 【详解】由题意可知, , , 当 时, ,可得 ; 当 时,由 可得 ,两式作差可得 , 所以, ,则 ,整理可得 , 因为 ,解得 ,①对; 假设数列 为等比数列,设其公比为 ,则 ,即 , 所以, ,可得 ,解得 ,不合乎题意, 故数列 不是等比数列,②错; 当 时, ,可得 ,所以,数列 为递减数列,③对; 假设对任意的 , ,则 , 所以, ,与假设矛盾,假设不成立,④对. 【点睛】关键点点睛:本题在推断②④的正误时,利用正面推理较为复杂时,可采用反证法来进行推导. 3.(2023年贵州省模拟数学试题)已知等比数列 的前n项和为 .若 ,则 ( ) A.13 B.16 C.9 D.12 【答案】A 【分析】根据等比数列的性质,可得 仍成等比数列,得到 ,即可求解. 【详解】设 ,则 , 因为 为等比数列,根据等比数列的性质, 可得 仍成等比数列. 因为 ,所以 ,所以 ,故 . 资料收集整理【淘宝店铺:向阳百分百】 481.(2023年北京市模拟数学试题)已知 是等比数列,则“ , ”是“ 为递增数列” 的( ) A.充分而不必要条件 B.必要而不充分条件 C.充分必要条件 D.既不充分也不必要条件 【答案】C 【分析】利用等比数列的通项公式,分类讨论 与 ,结合公比 的取值情况判断得充分性成立, 再利用递增数列的定义判断必要性成立,从而得解. 【详解】因为 是等比数列,设公比为 ,则 , 当 , 时, ,即 , 若 ,则 或 , 注意到,当 时, ,与假设矛盾,舍去, 故 ,此时 ,则 为递增数列; 若 ,则 , 注意到,当 时, ,与假设矛盾,舍去, 故 ,此时 ,则 为递增数列; 综上:当 , 时, 为递增数列,即充分性成立; 当 为递增数列时, ,即 , 成立,即必要性成立; 所以“ , ”是“ 为递增数列”的充分必要条件. 2.已知等比数列 的公比为q,则“ ”是“ 为递减数列”的( ) A.充分不必要条件 B.必要不充分条件 C.充要条件 D.既不充分也不必要条件 【答案】D 【分析】举例即可说明,充分条件性以及必要条件均不成立,即可得出答案. 【详解】取 , ,此时数列前几项为 ,显然该数列不是递减数列, 故由“ ”不能推出“ 为递减数列”; 取数列 , 显然有 ,即 , 所以, 为递减数列,但 , 资料收集整理【淘宝店铺:向阳百分百】 49故由“ 为递减数列”也不能推出“ ”. 故“ ”是“ 为递减数列”的既不充分也不必要条件. 3.(2023年上海市模拟数学试题)已知数列 满足: ,若对任意的 ,都有 恒成立,则实数 的取值范围为 . 【答案】 【分析】由条件求数列 的通项公式,结合条件讨论 的奇偶,列不等式求 的取值范围. 【详解】因为当 时, , , 所以数列 为首项为 ,公比为 的等比数列,所以 , 所以不等式 ,可化为 , 当 为正奇数时, ,由已知 , 当 为正偶数时, ,由已知 , 所以 的取值范围为 . 4.(2023年河南省模拟数学试题)记等比数列 的前 项和为 ,若 ,则 ( ) A.6 B.7 C.9 D.10 【答案】D 【分析】根据 推出 ,再根据等比数列的求和公式可求出结果. 【详解】设公比为 , 若 ,则 不合题意,故 .所以 ,所以 , 所以 . 考点 十二 、 等比数列的实际应用 资料收集整理【淘宝店铺:向阳百分百】 501.(2018年全国普通高等学校招生统一考试文科数学(北京卷))“十二平均律” 是通用的音律体系, 明代朱载堉最早用数学方法计算出半音比例,为这个理论的发展做出了重要贡献.十二平均律将一个纯八度 音程分成十二份,依次得到十三个单音,从第二个单音起,每一个单音的频率与它的前一个单音的频率的 比都等于 .若第一个单音的频率为f,则第八个单音的频率为 A. B. C. D. 【答案】D 【详解】分析:根据等比数列的定义可知每一个单音的频率成等比数列,利用等比数列的相关性质可解. 详解:因为每一个单音与前一个单音频率比为 ,所以 , 又 ,则 点睛:此题考查等比数列的实际应用,解决本题的关键是能够判断单音成等比数列. 等比数列的判断方法 主要有如下两种: (1)定义法,若 ( )或 ( ), 数列 是等比数列; (2)等比中项公式法,若数列 中, 且 ( ),则数列 是等比数列. 2.(2017年全国普通高等学校招生统一考试理科数学(新课标1卷))几位大学生响应国家的创业号召, 开发了一款应用软件.为激发大家学习数学的兴趣,他们推出了“解数学题获取软件激活码”的活动.这款 软件的激活码为下面数学问题的答案:已知数列1,1,2,1,2,4,1,2,4,8,1,2,4,8,16,…, 其中第一项是20,接下来的两项是20,21,再接下来的三项是20,21,22,依此类推.求满足如下条件的最 小整数N:N>100且该数列的前N项和为2的整数幂.那么该款软件的激活码是 A.440 B.330 C.220 D.110 【答案】A 【详解】由题意得,数列如下: 则该数列的前 项和为 资料收集整理【淘宝店铺:向阳百分百】 51, 要使 ,有 ,此时 ,所以 是第 组等比数列 的部分和,设 , 所以 ,则 ,此时 , 所以对应满足条件的最小整数 ,故选A. 点睛:本题非常巧妙地将实际问题和数列融合在一起,首先需要读懂题目所表达的具体含义,以及观察所给 定数列的特征,进而判断出该数列的通项和求和.另外,本题的难点在于数列里面套数列,第一个数列的和 又作为下一个数列的通项,而且最后几项并不能放在一个数列中,需要进行判断. 3.(2017年全国普通高等学校招生统一考试理科数学(新课标2卷))我国古代数学名著《算法统宗》 中有如下问题:“远望巍巍塔七层,红光点点倍加增,共灯三百八十一,请问尖头几盏灯?”意思是:一 座7层塔共挂了381盏灯,且相邻两层中的下一层灯数是上一层灯数的2倍,则塔的顶层共有灯 A.1盏 B.3盏 C.5盏 D.9盏 【答案】B 【详解】设塔顶的 盏灯,由题意 是公比为2的等比数列,∴ =381, 解得a1=3. 4.(2023年西藏质量检测数学(理)试题)分形的数学之美,是以简单的基本图形,凝聚扩散,重复累 加,以迭代的方式而形成的美丽的图案.自然界中存在着许多令人震撼的天然分形图案,如鹦鹉螺的壳、蕨 类植物的叶子、孔雀的羽毛、菠萝等.如图所示,为正方形经过多次自相似迭代形成的分形图形,且相邻的 两个正方形的对应边所成的角为15°.若从外往里最大的正方形边长为9,则第3个正方形的边长为( ) A.4 B. C.6 D. 【答案】C 【分析】设第 个正方形的边长为 ,根据分形特点可得 是以9为首项, 为公比的等比数列,从 而可得第3个正方形的边长. 【详解】解:设第 个正方形的边长为 ,则由已知可得 , 资料收集整理【淘宝店铺:向阳百分百】 52∴ , ∴ 是以9为首项, 为公比的等比数列,∴ . 1.(2023年广西教学质量监测数学试题)小华分期付款购买了一款5000元的手机,每期付款金额相同, 每期为一月,购买后每月付款一次,共付6次,购买手机时不需付款,从下个月这天开始付款.已知月利率 为 ,按复利计算,则小华每期付款金额约为( )(参考数据: , , ) A.764元 B.875元 C.883元 D.1050元 【答案】C 【分析】设小华每期付款金额为 元,第 期付款后欠款为 元,根据已知条件,依次写 出 , , , , ,结合 及等比数列的前 项和公式即可求解. 【详解】设小华每期付款金额为 元,第 期付款后欠款为 元, 则 , , , , 因为 ,所以 , 即 , 所以小华每期付款金额约为883元. 2.(2023年四川省模拟理科数学试题)已知函数 , ,若方程 有三个不同 的实数根,且三个根从小到大依次成等比数列,则实数 的值可能是( ) A. B. C. D. 【答案】A 【分析】根据等比中项以及余弦函数的对称性列式求得 ,进而可得结果. 资料收集整理【淘宝店铺:向阳百分百】 53【详解】 如图,设方程 的三个不同的实数根从小到大依次为 , , 则 ,解得 , 所以 . 3.(2023年重庆市模拟数学试题)斐波那切是意大利13世纪的数学家,其传世名作为《算盘书》,书中 有一个著名的问题:一个人经过七道门进人果园,摘了若干苹果.他离开果园时,给第一个守门人一半加 1个;给第二个守门人,是余下的一半加1个;对其他五个守门人,也如此这般,最后他带着1个苹果离 开果园.请问:当初他一共摘了( ) A.1522 B.762 C.382 D.192 【答案】C 【分析】设给第 个守门人之前余下 个苹果( ),进而可得递推公式,再构造数列求解即可. 【详解】设给第 个守门人之前余下 个苹果( ),由题意得 , , ∴ , ,∴ ,∴ . 4.(2023年辽宁省模拟数学试题)中国古代著作《张丘建算经》有这样一个问题:“今有马行转迟,次 日减半疾.七日行七百里”,意思是说有一匹马行走的速度逐渐减慢.每天行走的里程是前一天的一半,七 天一共行走了700里路,则该马第六天走的里程数约为( ) A.5.51 B.11.02 C.22.05 D.44.09 【答案】B 【分析】根据题意,得到数列 是公比为 的等比数列,利用等比数列的求和公式,求得首项 ,进而求得该马第六天行走的里程数为 的值,即可求解. 【详解】设该马第 天行走的里程数为 , 由题意可知,数列 是公比为 的等比数列, 资料收集整理【淘宝店铺:向阳百分百】 54所以,该马七天所走的路程为 ,解得 , 所以,该马第六天行走的里程数为 . 5.(2023年辽宁省模拟数学试题)康托(Cantor)是十九世纪末二十世纪初德国伟大的数学家,他创立 的集合论奠定了现代数学的基础.著名的“康托三分集”是数学理性思维的产物,具有典型的分形特征, 其操作过程如下:将闭区间[0,1]均分为三段,去掉中间的区间段 ,当记为第一次操作;再将剩 下的两个区间 分别均分为三段,并各自去掉中间的区间段,记为第二次操作:…,如此这样, 每次在上一次操作的基础上,将剩下的各个区间分别均分为三段,同样各自去掉中间的区间段.操作过程 不断地进行下去,以至无穷,剩下的区间集合即是“康托三分集”.若使“康托三分集”的各区间长度之 和小于 ,则需要操作的次数n的最小值为( )(参考数据: ) A.6 B.8 C.10 D.12 【答案】B 【分析】根据题意找到每次去掉区间长度的规律,利用等比数列的前 项和公式求出进行 次操作后去掉 的区间总长度,再列出不等式,利用对数的运算律求解. 【详解】第一次操作去掉区间长度为 ; 第二次操作去掉两个区间长度为 的区间,长度之和为 ; 第三次操作去掉四个区间长度为 的区间,长度之和为 ; 第 次操作去掉 个区间长度为 的区间,长度之和为 ; 于是进行 次操作后去掉的区间总长度为 , 所以 ,即 ,所以 , 所以需要操作的次数n的最小值为8. 资料收集整理【淘宝店铺:向阳百分百】 55考点 十三 、 斐波那契数列 1.意大利著名数学家斐波那契在研究兔子的繁殖问题时,发现有这样的一列数:1,1,2,3,5, 8,…,该数列的特点是前两个数均为1,从第三个数起,每一个数都等于它前面两个数的和.人们把这样 的一列数所组成的数列 称为“斐波那契数列”,数列 的前 项和为 ,则下列结论错误的是 ( ) A. B. C. D. 【答案】D 【分析】对于A,由定义可以列举数列前8项,求和即可; 对于B, ,依次递推累加即可; 对于C, ,依次递推累加即可; 对于D,根据定义判定 即可. 【详解】对A: ,故选项A正确; 对B:∵ ,∴ ,故 选项B正确; 对C:同上 ∵ ,∴ , ∴ ,故选项C正确; 对D: . 2.(2023年贵州省模拟数学试题)“斐波那契数列”由十三世纪意大利数学家列昂纳多-斐波那契发现, 因为斐波那契以兔子繁殖为例子而引入,故又称该数列为“兔子数列”.已知数列 为“斐波那契数 列”且满足: , , ,则 ( ) A.12 B.16 C.24 D.39 【答案】C 【分析】根据递推形式,依次求得 和 的值,即可求解. 【详解】 , , , , , , 资料收集整理【淘宝店铺:向阳百分百】 56所以 . 3.(2024届浙江省名校适应性考试数学试题)意大利著名数学家莱昂纳多.斐波那契( Leonardo Fibonacci)在研究兔子繁殖问题时,发现有这样一列数:1,1,2,3,5,8,13,21,34,…,该数列的 特点是:前两个数都是1,从第三个数起,每一个数都等于它的前面两个数的和,人们把这样的一列数称 为“斐波那契数列”.同时,随着 趋于无穷大,其前一项与后一项的比值越来越逼近黄金分割 ,因此又称“黄金分割数列”,记斐波那契数列为 ,则下列结论错误的是( ) A. B. C. D. 【答案】B 【分析】根据数列消项求和判断A,B,C选项,化简合并判断D选项. 【详解】因为 ,所以 ,所以 故A正确; 因为 ,所以 ,即 , 所以 ,而 ,故B错误; ,所以 故C正确; ,故D正确 1.(2023年河南省模拟数学试题)“斐波那契”数列由十三世纪意大利数学家斐波那契发现,该数列满 足递推关系: , .已知数列 为“斐波那契”数列, 为数列 前 项的和,若 ,则 ( ) A. B. C. D. 【答案】D 【分析】根据递推关系求得 . 资料收集整理【淘宝店铺:向阳百分百】 57【详解】 , , ,……,以此类推, . 2.(2023年辽宁省模拟数学试题)若数列 满足 , , ,则称数 列 为斐波那契数列,又称黄金分割数列.在现代物理、准晶体结构、化学等领域,斐波那契数列都有直 接的应用.则下列结论不成立的是( ) A. B. C. D. 【答案】D 【分析】对A,根据递推公式即可判断;对 利用 判断;D利用数列的性质,结合斐波那契 数列的前 项和即可判断;对C,根据递推公式,即可判断. 【详解】对A: , , , 所以 , , , ,故A正确; 对B:由 ,可得 , ,故B正确; 对C: ,可得 , 即有 ,故C正确; 对于 ,故 不正确. 【点睛】关键点点睛:本题考查斐波那契数列的递推公式,以及其偶数项和奇数项的和的求解;处理问题 的关键是通过递推公式,找到相邻项的和与差的关系. 3.“斐波那契数列”由意大利数学家莱昂纳多·斐波那契(Leonardo Fibonacci,约 - )在《算盘全 书》中提出,它在现代物理、准晶体结构、生物、交通、化学等领域都有直接的应用.已知斐波那契数列 满足: , , ,则下列结论不正确的是( ) A. B. C. D. 【答案】B 【分析】根据斐波那契数列递推公式代入检验即可. 资料收集整理【淘宝店铺:向阳百分百】 58【详解】对于A, , 又因为 ,所以 ,故A正确; 对于B, ,故B错误; 对于C, ,故C正确; 对于D, , 又因为 ,所以 ,故D正确; 考点 十四 、 数列在实际情景中的应用 1.(2023年上海模拟数学试题)平面螺旋是以一个固定点开始,向外圈逐渐旋绕而形成的图案,如图 (1).它的画法是这样的:正方形 的边长为4,取正方形 各边的四等分点 作第二个 正方形,然后再取正方形 各边的四等分点 作第三个正方形,以此方法一直循环下去,就 可得到阴影部分图案,设正方形 边长为 ,后续各正方形边长依次为 ;如图(2)阴 影部分,设直角三角形 面积为 ,后续各直角三角形面积依次为 , .则下列判断中不正 确的是( ) A.数列 是以4为首项, 为公比的等比数列 B.从正方形 开始,连续3个正方形的面积之和为32 C.使得不等式 成立的 的最大值为 资料收集整理【淘宝店铺:向阳百分百】 59D.数列 的前 项和 【答案】B 【分析】根据题意可得 ,进而求出 ,结合等比数列定义可判断A;求得 的表达式,即可求出连续3个正方形的面积之和,判断B;求出 的表达式,结合数列的单调性可判断 C;利用等比数列的前 项和公式结合不等式知识判断D. 【详解】对于A,由题意可得 ,且 , 所以 ,而 , 故数列 是以4为首项, 为公比的等比数列,A正确; 对于B,由A的分析可得 , 所以 , 即从正方形 开始,连续3个正方形的面积之和为 ,B错误; 对于C, , 由于指数函数 为 上单调递减函数,故 随 的增大而减小, 且 , 故使得不等式 成立的 的最大值为 ,C正确; 对于D,因为 ,即 为等比数列, 故 ,由于 . 故 ,D正确. 2.(2023年广东省模拟数学试题)古希腊毕达哥拉斯学派的“三角形数”是一列点(或圆球)在等距的 资料收集整理【淘宝店铺:向阳百分百】 60排列下可以形成正三角形的数,如1,3,6,10,15,…,我国宋元时期数学家朱世杰在《四元玉鉴》中 所记载的“垛积术”,其中的“落一形”锥垛就是每层为“三角形数”的三角锥的锥垛(如图所示,顶上 一层1个球,下一层3个球,再下一层6个球…),若一“落一形”三角锥垛有20层,则该锥垛球的总个 数为( ) (参考公式: ) A.1450 B.1490 C.1540 D.1580 【答案】C 【分析】根据已知条件及合情推理中的归纳推理,利用参考公式及等差数列前 项和公式即可求解. 【详解】因为“三角形数”可以写为 所以第 层“三角形数”为 , 所以 层时,垛球的总个数为: , 所以若一“落一形”三角锥垛有20层,则该锥垛球的总个数为 . 1.(2024届山西省学情调研数学试题)分形几何学是数学家伯努瓦•曼德尔布罗在20世纪70年代创立的 一门新的数学学科,它的创立为解决众多传统科学领域的难题提供了全新的思路,按照如图1的分形规律 可得知图2的一个树形图,记图2中第 行黑圈的个数为 ,白圈的个数为 ,若 ,则 ( ) 资料收集整理【淘宝店铺:向阳百分百】 61A.34 B.35 C.88 D.89 【答案】D 【分析】由题可知,每个白圈在下一行产生一个白圈一个黑圈,一个黑圈在下一行产生一个白圈两个黑圈, 从而可得递推式,然后由递推式可求得结果. 【详解】由题可知,每个白圈在下一行产生一个白圈一个黑圈,一个黑圈在下一行产生一个白圈两个黑圈, 所以有 , , 又因为 , , 所以 , , , , , , , , , , , . 2.如图,作一个白色的正三角形,第一次操作为:挖去正三角形的“中心三角形”(即以原三角形各边 中点为顶点的三角形),这样就得到了三个更小的白色三角形;第二次操作为:挖去第一次操作后得到的 所有白色三角形的“中心三角形”;以此类推,第 次操作为:挖去第 次操作后得到的所有白色 三角形的“中心三角形”,得到一系列更小的白色三角形.这些白色三角形构成的图案在“分形几何学” 中被称为“谢宾斯基三角形”,记第 次操作后,“谢宾斯基三角形”所包含的白色小三角形的数目为 , “谢宾斯基三角形”的面积(所有白色小三角形的面积和)为 ,周长(所有白色小三角形的周长和)为 . (1)求数列 的通项公式; (2)若最初的白色正三角形的周长为1,求数列 和 的通项公式. 【答案】(1) ; (2) , 【分析】根据每个图形的变化规律找出白色三角形的个数变化规律,周长,面积的变化情况,归纳得到各 个数列的通项公式. 【详解】(1)依题意,被挖去“中心三角形”后,白色三角形的个数由 个变成 个, 因此每一次操作,白色三角形的个数都会变为操作前的 倍, 资料收集整理【淘宝店铺:向阳百分百】 62即 ,又 ,所以数列 是首项为 公比为 的等比数列, 因此 的通项公式为 . (2)同样地,被挖去“中心三角形”后,因为白色小三角形之间不共边, 所以白色三角形的总周长变为操作前的 倍,总面积则变为操作前的 倍, 即 , . 依题意, , . 所以数列 的通项公式为 , 数列 的通项公式为 . 3.某少数民族的刺绣有着悠久的历史,如图(a)~(d)为她们的刺绣中最简单的四个图案,这些图案都 由小正方形构成,小正方形数量越多,刺绣越漂亮.现按相同的规律刺绣(小正方形摆放的规律相同), 设第n个图形包含 个小正方形.则 ; 的表达式为 . 【答案】 【分析】(1)按照每行的小正方形的个数逐一相加即可; (2)根据已知的 的数值发现规律 ,然后用累加法求解. 【详解】(1)易知 . (2)∵ , , , , ,由以上各式的特点可得 , ∴ , 又 满足上式,所以 . 资料收集整理【淘宝店铺:向阳百分百】 63【基础过关】 1.设等差数列 的前 项和为 ,若 , ,则 ( ) A.63 B.36 C.45 D.27 【答案】C 【分析】根据等差数列的前 项和的性质,列式求解. 【详解】由等差数列的 项和的性质可知, 成等差数列, 即 , , 成等差数列,所以 ,所以 . 即 . 2.(2015年全国普通高等学校招生统一考试文科数学(新课标Ⅱ))设 是等差数列 的前 项和,若 ,则 ( ) A. B. C. D. 【答案】A 【详解】 , . 3.(2013年全国普通高等学校招生统一考试理科数学(新课标1卷))设等差数列 的前n项和为 , 若 ,则 ( ) A.3 B.4 C.5 D.6 资料收集整理【淘宝店铺:向阳百分百】 64【答案】C 【分析】由 又 ,可得公差 ,从而可 得结果. 【详解】 是等差数列, 又 ,∴公差 , . 4.已知数列 、 都是等差数列,设 的前 项和为 , 的前 项和为 .若 ,则 ( ) A. B. C. D. 【答案】A 【分析】由题意利用等差数列的性质、等差数列的前 项和公式,得出结论. 【详解】∵ , ∴ . 5.已知数列 是等差数列, , 是方程 的两根,则数列 的前20项和为( ) A. B. C.15 D.30 【答案】D 【分析】根据韦达定理得到 ,利用等差数列求和公式及等差数列性质进行计算. 【详解】 , 是方程 的两根, 所以 , 又 是等差数列, 所以其前20项和为 . 6.已知数列 是等差数列,数列 是等比数列,若 则 的值是( ) A. B.1 C.2 D.4 【答案】B 【分析】由等差中项及等比中项的性质求解即可. 资料收集整理【淘宝店铺:向阳百分百】 65【详解】由等差中项的性质可得 ,由等比中项的性质可得 ,因此, . 7.设 为等差数列 的前n项和,且满足 , .则当 取得最小值时,n的值为( ) A.3 B.6 C.9 D.12 【答案】B 【分析】设出公差d,由 可得 ,从而得到公差大于0,得到 ,从而得到答案. 【详解】设公差为d,由于 ,即 ,即 , 即 ,由于 ,所以 ,从而可得 ,所以当 取得最小值时,n的值为6 8.(2023年安徽省模拟测试数学试题)设等差数列{ }的前n项和为 ,若 ,则当 取得最大值时, =( ) A.8 B.9 C.10 D.11 【答案】C 【分析】根据条件,利用等差数列的性质可得出 , ,即可求解. 【详解】在等差数列{ }中,由 ,得 , 则 ,又 , ∴ , ,则当 取得最大值时, . 9.《九章算术》是我国秦汉时期一部杰出的数学著作,书中第三章“衰分”有如下问题:“今有大夫、 不更、簪裹、上造、公士,凡五人,共出百钱.欲令高爵出少,以次渐多,问各几何?”意思是:“有大夫、 不更、簪裹、上造、公士(爵位依次变低)5个人共出100钱,按照爵位从高到低每人所出钱数成递增等 差数列,这5个人各出多少钱?”在这个问题中,若不更出17钱,则公士出的钱数为( ) A.10 B.14 C.23 D.26 【答案】D 【分析】设大夫、不更、簪裹、上造、公士所出的钱数依次构成等差数列 ,根据 ,前5项和为 100求解. 【详解】解:设大夫、不更、簪裹、上造、公士所出的钱数依次排成一列,构成数列 . 由题意可知,等差数列 中 ,前5项和为100, 设公差为 ,前 项和为 , 则 ,解得 , 所以 , 所以公士出的钱数为 . 资料收集整理【淘宝店铺:向阳百分百】 6610.(2023年新课标全国Ⅱ卷数学真题)记 为等比数列 的前n项和,若 , ,则 ( ). A.120 B.85 C. D. 【答案】C 【分析】方法一:根据等比数列的前n项和公式求出公比,再根据 的关系即可解出; 方法二:根据等比数列的前n项和的性质求解. 【详解】方法一:设等比数列 的公比为 ,首项为 , 若 ,则 ,与题意不符,所以 ; 若 ,则 ,与题意不符,所以 ; 由 , 可得, , ①, 由①可得, ,解得: , 所以 . 故选:C. 方法二:设等比数列 的公比为 , 因为 , ,所以 ,否则 , 从而, 成等比数列, 所以有, ,解得: 或 , 当 时, ,即为 , 易知, ,即 ; 当 时, , 与 矛盾,舍去. 【点睛】本题主要考查等比数列的前n项和公式的应用,以及整体思想的应用,解题关键是把握 的关 系,从而减少相关量的求解,简化运算. 11.(2015年全国普通高等学校招生统一考试理科数学(新课标Ⅱ))已知等比数列 满足 , ,则 ( ) A. B. C. D. 【答案】B 【详解】由 得 资料收集整理【淘宝店铺:向阳百分百】 67. 12.(2019年全国统一高考数学试卷(理科)(新课标Ⅰ))记Sn为等比数列{an}的前n项和.若 ,则S= . 5 【答案】 . 【分析】本题根据已知条件,列出关于等比数列公比 的方程,应用等比数列的求和公式,计算得到 . 题目的难度不大,注重了基础知识、基本计算能力的考查. 【详解】设等比数列的公比为 ,由已知 ,所以 又 , 所以 所以 . 【点睛】准确计算,是解答此类问题的基本要求.本题由于涉及幂的乘方运算、繁分式分式计算,部分考 生易出现运算错误. 13.(2022年全国新高考II卷数学试题)已知 为等差数列, 是公比为2的等比数列,且 . (1)证明: ; (2)求集合 中元素个数. 【答案】(1)证明见解析;(2) . 【分析】(1)设数列 的公差为 ,根据题意列出方程组即可证出; (2)根据题意化简可得 ,即可解出. 【详解】(1)设数列 的公差为 ,所以, ,即可解得, ,所以 原命题得证. (2)由(1)知, ,所以 ,即 ,亦即 ,解得 ,所以满足等式的解 ,故集合 中的元素个数为 . 14.(2018年全国卷Ⅲ文数高考试题)等比数列 中, . (1)求 的通项公式; (2)记 为 的前 项和.若 ,求 . 资料收集整理【淘宝店铺:向阳百分百】 68【答案】(1) 或 .(2) . 【详解】分析:(1)列出方程,解出q可得;(2)求出前n项和,解方程可得m. 详解:(1)设 的公比为 ,由题设得 . 由已知得 ,解得 (舍去), 或 . 故 或 . (2)若 ,则 .由 得 ,此方程没有正整数解. 若 ,则 .由 得 ,解得 . 综上, . 点睛:本题主要考查等比数列的通项公式和前 项和公式,属于基础题. 15.(2023年山东省模拟数学试题)意大利数学家斐波那契在1202年著的《计算之书》中记载了斐波那 契数列 ,此数列满足: ,且从第三项开始,每一项都是它的前两项的和,即 ,则在该数列的前2023项中,奇数的个数为( ) A.672 B.675 C.1349 D.2022 【答案】C 【分析】根据数列的递推和奇偶周期性即可求解. 【详解】 , 故 , , 故各项奇偶性呈现周期性(奇奇偶),且周期为3, ∵ , 故奇数的个数为 . 【能力提升】、 1.(2023年辽宁省模拟考试数学试题)在数列 中, ,则 的最大值是( ) A. B. C. D. 【答案】D 资料收集整理【淘宝店铺:向阳百分百】 69【分析】 ,利用对勾函数的单调性,可得 ,从而可得答案. 【详解】由题意可得 . 根据对勾函数与复合函数的单调性, 在 上递增,在 上递减, 所以在 中, , 当 时, , ; 当 时, . 因为 ,所以 , 所以 的最大值是 . 2.(2023年辽宁省模拟考试数学试题)已知数列 满足 , .设 ,若对 于任意的 , .恒成立,则实数 的取值范围是( ) A. B. C. D. 【答案】A 【分析】根据给定条件,求出数列 , 的通项,再求出数列 的最大项作答. 【详解】由数列 满足 , ,得 是首项为1,公比为 的等比数列, , 于是 , , 当 ,时 ,当且仅当 时取等号,当 时, , 因此当 时,数列 单调递增,当 时,数列 单调递减, 则当 或 时, ,而任意的 , 恒成立,则 , 所以实数 的取值范围是 . 【点睛】关键点睛:涉及求数列最大项问题,探讨数列的单调性是解题的关键,可以借助作差或作商的方 法判断单调性作答. 资料收集整理【淘宝店铺:向阳百分百】 703.设等差数列 的公差为d,若 ,则“ ”是“ ( )”的( ) A.充分不必要条件 B.必要不充分条件 C.充要条件 D.既不充分也不必要条件 【答案】C 【分析】利用指数函数的单调性、数列增减性的定义以及等差数列的定义,结合充分、必要性定义判断即 可. 【详解】充分性:若 ,则 ,即 ,∴ ,即 ,所以充分性成立; 必要性:若 ,即 ,∴ ,则 ,必要性成立.因此,“ ”是“ ”的充要条件. 4.设等差数列 的公差为d,其前n项和为 ,且 , ,则使得 的正整数n的最 小值为( ) A.16 B.17 C.18 D.19 【答案】D 【分析】根据等差数列的性质及已知分别判断 、 、 的符号即可. 【详解】由 ,得 , 因为 是等差数列,所以 , , , , , , 所以 , 使得 的正整数n的最小值为 . 5.(2023届湖南省部分市大联考数学试题)已知等比数列 的公比的平方不为 ,则“ 是 等比数列”是“ 是等差数列”的( ) A.充分不必要条件 B.必要不充分条件 C.充要条件 D.既不充分也不必要条件 【答案】C 【分析】利用等差数列和等比数列的递推关系进行证明即可. 【详解】设等比数列 的公比为 ,若 是等比数列,则 为常数,由 资料收集整理【淘宝店铺:向阳百分百】 71为常数,所以 是等差数列; 若 是等差数列,设 的公差为 ,则 为常数,所以 是等比数列. 综上,“ 是等比数列”是“ 是等差数列”的充要条件. 6.首项为正数,公差不为0的等差数列 ,其前n项和为 .现有下列4个命题 ①若 ,则 ; ②若 ,则使 的最大的n为15; ③若 , ,则 中 最大; ④若 ,则 . 其中正确的命题的个数是( ) A.1个 B.2个 C.3个 D.4个 【答案】B 【分析】利用等差数列的求和公式以及等差数列的性质判断选项的正误即可. 【详解】①中若 ,则 ,那么 .故①不正确: ②中若 ,则 ,又因为 ,所以前8项为正,从第9项开始为 负,因为 ,所以使 的最大的n为15,故②正确: ③中若 , ,则 , ,则 中 最大. 故③正确 ④中若 ,则 ,而 ,不能判断 正负情况,故④不正确 7.(2023年陕西省一模理科数学试题)已知等差数列 满足 ,则下列命题:① 是递减数列;②使 成立的 的最大值是9;③当 时, 取得最大值;④ ,其中正确的 是( ) A.①② B.①③ C.①④ D.①②③ 【答案】D 【分析】设出公差为 ,列出方程组,求出首项和公差,根据 判断①正确, 写出 ,解不等式求出 成立的 的最大值是9,②正确; 根据 与 ,得到当 时, 取得最大值,③正确; 资料收集整理【淘宝店铺:向阳百分百】 72利用通项公式 求出 的值,得到④错误. 【详解】设等差数列 的公差为 , 故 ,解得: , 由于 ,故 是递减数列,①正确; ,令 , 解得: ,且 , 故使 成立的 的最大值是9,②正确; , 当 时, ,当 时, , 故当 时, 取得最大值,③正确; ,④错误. 8.(2020年全国统一高考数学试卷(文科)(新课标Ⅲ))设等比数列 满足 , . (1)求 的通项公式; (2)记 为数列 的前n项和.若 ,求m. 【答案】(1) ;(2) . 【分析】(1)设等比数列 的公比为 ,根据题意,列出方程组,求得首项和公比,进而求得通项公式; (2)由(1)求出 的通项公式,利用等差数列求和公式求得 ,根据已知列出关于 的等量关系 式,求得结果. 【详解】(1)设等比数列 的公比为 , 根据题意,有 ,解得 , 所以 ; (2)令 , 所以 , 根据 ,可得 , 整理得 ,因为 ,所以 , 【点睛】本题考查等比数列通项公式基本量的计算,以及等差数列求和公式的应用,考查计算求解能力, 属于基础题目. 资料收集整理【淘宝店铺:向阳百分百】 739.(2019年全国统一高考数学试卷(理科)(新课标Ⅱ))已知数列 和 满足 , , , . (1)证明: 是等比数列, 是等差数列; (2)求 和 的通项公式. 【答案】(1)见解析;(2) , . 【分析】(1)可通过题意中的 以及 对两式进行相加和相减即可推导 出数列 是等比数列以及数列 是等差数列; (2)可通过(1)中的结果推导出数列 以及数列 的通项公式,然后利用数列 以及数 列 的通项公式即可得出结果. 【详解】(1)由题意可知 , , , , 所以 ,即 , 所以数列 是首项为 、公比为 的等比数列, , 因为 , 所以 ,数列 是首项 、公差为 的等差数列, . (2)由(1)可知, , , 所以 , . 【点睛】本题考查了数列的相关性质,主要考查了等差数列以及等比数列的相关证明,证明数列是等差数 列或者等比数列一定要结合等差数列或者等比数列的定义,考查推理能力,考查化归与转化思想,是中档 题. 10.已知数列 中, ,且满足 (1)求数列 的通项公式; (2)记 ,若数列 为递增数列,求 的取值范围. 【答案】(1) ;(2) 【分析】(1)根据题意分析可得数列 是各项均为1的常数列,进而可得结果; 资料收集整理【淘宝店铺:向阳百分百】 74(2)根据数列单调性分析可得 对任意 恒成立,参变分离可得 ,根据恒成立问题结合数列单调性运算求解. 【详解】(1)因为 ,则 , 且 ,所以数列 是各项均为1的常数列, 则 ,可得 , 所以数列 的通项公式 . (2)由(1)可得: , 则 , 若数列 为递增数列,则 对任意 恒成立, 可得 , 令 ,则 对任意 恒成立, 可知数列 为递增数列,则 , 所以 ,即 的取值范围为 . 【真题感知】 1.(2023年高考全国甲卷数学(文)真题)记 为等比数列 的前 项和.若 ,则 的公 比为 . 【答案】 【分析】先分析 ,再由等比数列的前 项和公式和平方差公式化简即可求出公比 . 【详解】若 , 则由 得 ,则 ,不合题意. 资料收集整理【淘宝店铺:向阳百分百】 75所以 . 当 时,因为 , 所以 , 即 ,即 ,即 , 解得 . 2.(2023年高考全国乙卷数学(理)真题)已知 为等比数列, , ,则 . 【答案】 【分析】根据等比数列公式对 化简得 ,联立 求出 ,最后得 . 【详解】设 的公比为 ,则 ,显然 , 则 ,即 ,则 ,因为 ,则 , 则 ,则 ,则 . 3.(2023年北京高考数学真题)已知数列 满足 ,则( ) A.当 时, 为递减数列,且存在常数 ,使得 恒成立 B.当 时, 为递增数列,且存在常数 ,使得 恒成立 C.当 时, 为递减数列,且存在常数 ,使得 恒成立 D.当 时, 为递增数列,且存在常数 ,使得 恒成立 【答案】B 【分析】法1:利用数列归纳法可判断ACD正误,利用递推可判断数列的性质,故可判断B的正误. 法2:构造 ,利用导数求得 的正负情况,再利用数学归纳法判断得各选项 所 在区间,从而判断 的单调性;对于A,构造 ,判断得 , 进而取 推得 不恒成立;对于B,证明 所在区间同时证得后续结论;对于C,记 ,取 推得 不恒成立;对于D,构造 ,判断得 ,进而取 推得 不恒成立. 资料收集整理【淘宝店铺:向阳百分百】 76【详解】法1:因为 ,故 , 对于A ,若 ,可用数学归纳法证明: 即 , 证明:当 时, ,此时不等关系 成立; 设当 时, 成立, 则 ,故 成立, 由数学归纳法可得 成立. 而 , , ,故 ,故 , 故 为减数列,注意 故 ,结合 , 所以 ,故 ,故 , 若存在常数 ,使得 恒成立,则 , 故 ,故 ,故 恒成立仅对部分 成立, 故A不成立. 对于B,若 可用数学归纳法证明: 即 , 证明:当 时, ,此时不等关系 成立; 设当 时, 成立, 则 ,故 成立即 由数学归纳法可得 成立. 而 , , ,故 ,故 ,故 为增数列, 若 ,则 恒成立,故B正确. 对于C,当 时, 可用数学归纳法证明: 即 , 资料收集整理【淘宝店铺:向阳百分百】 77证明:当 时, ,此时不等关系成立; 设当 时, 成立, 则 ,故 成立即 由数学归纳法可得 成立. 而 ,故 ,故 为减数列, 又 ,结合 可得: ,所以 , 若 ,若存在常数 ,使得 恒成立, 则 恒成立,故 , 的个数有限,矛盾,故C错误. 对于D,当 时, 可用数学归纳法证明: 即 , 证明:当 时, ,此时不等关系成立; 设当 时, 成立, 则 ,故 成立 由数学归纳法可得 成立. 而 ,故 ,故 为增数列, 又 ,结合 可得: ,所以 , 若存在常数 ,使得 恒成立,则 , 故 ,故 ,这与n的个数有限矛盾,故D错误. 法2:因为 , 资料收集整理【淘宝店铺:向阳百分百】 78令 ,则 , 令 ,得 或 ; 令 ,得 ; 所以 在 和 上单调递增,在 上单调递减, 令 ,则 ,即 ,解得 或 或 , 注意到 , , 所以结合 的单调性可知在 和 上 ,在 和 上 , 对于A,因为 ,则 , 当 时, , ,则 , 假设当 时, , 当 时, ,则 , 综上: ,即 , 因为在 上 ,所以 ,则 为递减数列, 因为 , 令 ,则 , 因为 开口向上,对称轴为 , 所以 在 上单调递减,故 , 所以 在 上单调递增,故 , 故 ,即 , 假设存在常数 ,使得 恒成立, 取 ,其中 ,且 , 资料收集整理【淘宝店铺:向阳百分百】 79因为 ,所以 , 上式相加得, , 则 ,与 恒成立矛盾,故A错误; 对于B,因为 , 当 时, , , 假设当 时, , 当 时,因为 ,所以 ,则 , 所以 , 又当 时, ,即 , 假设当 时, , 当 时,因为 ,所以 ,则 , 所以 , 综上: , 因为在 上 ,所以 ,所以 为递增数列, 此时,取 ,满足题意,故B正确; 对于C,因为 ,则 , 注意到当 时, , , 猜想当 时, , 当 与 时, 与 满足 , 假设当 时, , 资料收集整理【淘宝店铺:向阳百分百】 80当 时,所以 , 综上: , 易知 ,则 ,故 , 所以 , 因为在 上 ,所以 ,则 为递减数列, 假设存在常数 ,使得 恒成立, 记 ,取 ,其中 , 则 , 故 ,所以 ,即 , 所以 ,故 不恒成立,故C错误; 对于D,因为 , 当 时, ,则 , 假设当 时, , 当 时, ,则 , 综上: , 因为在 上 ,所以 ,所以 为递增数列, 因为 , 令 ,则 , 因为 开口向上,对称轴为 , 所以 在 上单调递增,故 , 所以 , 资料收集整理【淘宝店铺:向阳百分百】 81故 ,即 , 假设存在常数 ,使得 恒成立, 取 ,其中 ,且 , 因为 ,所以 , 上式相加得, , 则 ,与 恒成立矛盾,故D错误. 【点睛】关键点睛:本题解决的关键是根据首项给出与通项性质相关的相应的命题,再根据所得命题结合 放缩法得到通项所满足的不等式关系,从而可判断数列的上界或下界是否成立. 4.(2023年高考全国乙卷数学(理)真题)已知等差数列 的公差为 ,集合 ,若 ,则 ( ) A.-1 B. C.0 D. 【答案】B 【分析】根据给定的等差数列,写出通项公式,再结合余弦型函数的周期及集合只有两个元素分析、推理 作答. 【详解】依题意,等差数列 中, , 显然函数 的周期为3,而 ,即 最多3个不同取值,又 , 则在 中, 或 , 于是有 ,即有 ,解得 , 所以 , . 5.(2023年北京高考数学真题)我国度量衡的发展有着悠久的历史,战国时期就已经出现了类似于砝码 的、用来测量物体质量的“环权”.已知9枚环权的质量(单位:铢)从小到大构成项数为9的数列 , 该数列的前3项成等差数列,后7项成等比数列,且 ,则 ;数列 所有项的和为 . 【答案】48 ;384 【分析】方法一:根据题意结合等差、等比数列的通项公式列式求解 ,进而可求得结果;方法二:根 据等比中项求 ,在结合等差、等比数列的求和公式运算求解. 资料收集整理【淘宝店铺:向阳百分百】 82【详解】方法一:设前3项的公差为 ,后7项公比为 , 则 ,且 ,可得 , 则 ,即 ,可得 , 空1:可得 , 空2: 方法二:空1:因为 为等比数列,则 , 且 ,所以 ; 又因为 ,则 ; 空2:设后7项公比为 ,则 ,解得 , 可得 ,所以 . 6.(2022年全国高考乙卷数学(理)试题)嫦娥二号卫星在完成探月任务后,继续进行深空探测,成为 我国第一颗环绕太阳飞行的人造行星,为研究嫦娥二号绕日周期与地球绕日周期的比值,用到数列 : , , ,…,依此类推,其中 .则( ) A. B. C. D. 【答案】D 【分析】根据 ,再利用数列 与 的关系判断 中各项的大小,即可求解. 【详解】[方法一]:常规解法 因为 , 所以 , ,得到 , 同理 ,可得 , 资料收集整理【淘宝店铺:向阳百分百】 83又因为 , 故 , ; 以此类推,可得 , ,故A错误; ,故B错误; ,得 ,故C错误; ,得 ,故D正确. [方法二]:特值法 不妨设 则 故D正确. 7.(2021年全国高考甲卷数学(理)试题)等比数列 的公比为q,前n项和为 ,设甲: ,乙: 是递增数列,则( ) A.甲是乙的充分条件但不是必要条件 B.甲是乙的必要条件但不是充分条件 C.甲是乙的充要条件 D.甲既不是乙的充分条件也不是乙的必要条件 【答案】B 【分析】当 时,通过举反例说明甲不是乙的充分条件;当 是递增数列时,必有 成立即可说 明 成立,则甲是乙的必要条件,即可选出答案. 【详解】由题,当数列为 时,满足 , 但是 不是递增数列,所以甲不是乙的充分条件. 若 是递增数列,则必有 成立,若 不成立,则会出现一正一负的情况,是矛盾的,则 成立,所以甲是乙的必要条件. 【点睛】在不成立的情况下,我们可以通过举反例说明,但是在成立的情况下,我们必须要给予其证明过 程. 资料收集整理【淘宝店铺:向阳百分百】 848.(2021年浙江省高考数学试题)已知数列 满足 .记数列 的前n项和 为 ,则( ) A. B. C. D. 【答案】A 【分析】显然可知, ,利用倒数法得到 ,再放缩可得 ,由累加法可得 ,进而由 局部放缩可得 ,然后利用累 乘法求得 ,最后根据裂项相消法即可得到 ,从而得解. 【详解】因为 ,所以 , . 由 ,即 根据累加法可得, ,当且仅当 时取等号, , 由累乘法可得 ,当且仅当 时取等号, 由裂项求和法得: 所以 ,即 . 【点睛】本题解题关键是通过倒数法先找到 的不等关系,再由累加法可求得 ,由题 目条件可知要证 小于某数,从而通过局部放缩得到 的不等关系,改变不等式的方向得到 ,最后由裂项相消法求得 . 资料收集整理【淘宝店铺:向阳百分百】 859.(2022年浙江省高考数学试题)已知数列 满足 ,则( ) A. B. C. D. 【答案】B 【分析】先通过递推关系式确定 除去 ,其他项都在 范围内,再利用递推公式变形得到 ,累加可求出 ,得出 ,再利用 ,累加可求出 ,再次放缩可得 出 . 【详解】∵ ,易得 ,依次类推可得 由题意, ,即 , ∴ , 即 , , ,…, , 累加可得 ,即 , ∴ ,即 , , 又 , ∴ , , ,…, , 累加可得 , ∴ , 即 ,∴ ,即 ; 综上: . 资料收集整理【淘宝店铺:向阳百分百】 86【点睛】关键点点睛:解决本题的关键是利用递推关系进行合理变形放缩. 资料收集整理【淘宝店铺:向阳百分百】 87