当前位置:首页>文档>专题16统计与统计案例16.2统计案例题型归纳讲义-2022届高三数学一轮复习(解析版)_02高考数学_新高考复习资料_2022年新高考资料

专题16统计与统计案例16.2统计案例题型归纳讲义-2022届高三数学一轮复习(解析版)_02高考数学_新高考复习资料_2022年新高考资料

  • 2026-05-06 02:39:43 2026-04-12 06:29:47

文档预览

专题16统计与统计案例16.2统计案例题型归纳讲义-2022届高三数学一轮复习(解析版)_02高考数学_新高考复习资料_2022年新高考资料
专题16统计与统计案例16.2统计案例题型归纳讲义-2022届高三数学一轮复习(解析版)_02高考数学_新高考复习资料_2022年新高考资料
专题16统计与统计案例16.2统计案例题型归纳讲义-2022届高三数学一轮复习(解析版)_02高考数学_新高考复习资料_2022年新高考资料
专题16统计与统计案例16.2统计案例题型归纳讲义-2022届高三数学一轮复习(解析版)_02高考数学_新高考复习资料_2022年新高考资料
专题16统计与统计案例16.2统计案例题型归纳讲义-2022届高三数学一轮复习(解析版)_02高考数学_新高考复习资料_2022年新高考资料
专题16统计与统计案例16.2统计案例题型归纳讲义-2022届高三数学一轮复习(解析版)_02高考数学_新高考复习资料_2022年新高考资料
专题16统计与统计案例16.2统计案例题型归纳讲义-2022届高三数学一轮复习(解析版)_02高考数学_新高考复习资料_2022年新高考资料
专题16统计与统计案例16.2统计案例题型归纳讲义-2022届高三数学一轮复习(解析版)_02高考数学_新高考复习资料_2022年新高考资料
专题16统计与统计案例16.2统计案例题型归纳讲义-2022届高三数学一轮复习(解析版)_02高考数学_新高考复习资料_2022年新高考资料
专题16统计与统计案例16.2统计案例题型归纳讲义-2022届高三数学一轮复习(解析版)_02高考数学_新高考复习资料_2022年新高考资料
专题16统计与统计案例16.2统计案例题型归纳讲义-2022届高三数学一轮复习(解析版)_02高考数学_新高考复习资料_2022年新高考资料
专题16统计与统计案例16.2统计案例题型归纳讲义-2022届高三数学一轮复习(解析版)_02高考数学_新高考复习资料_2022年新高考资料
专题16统计与统计案例16.2统计案例题型归纳讲义-2022届高三数学一轮复习(解析版)_02高考数学_新高考复习资料_2022年新高考资料
专题16统计与统计案例16.2统计案例题型归纳讲义-2022届高三数学一轮复习(解析版)_02高考数学_新高考复习资料_2022年新高考资料
专题16统计与统计案例16.2统计案例题型归纳讲义-2022届高三数学一轮复习(解析版)_02高考数学_新高考复习资料_2022年新高考资料
专题16统计与统计案例16.2统计案例题型归纳讲义-2022届高三数学一轮复习(解析版)_02高考数学_新高考复习资料_2022年新高考资料
专题16统计与统计案例16.2统计案例题型归纳讲义-2022届高三数学一轮复习(解析版)_02高考数学_新高考复习资料_2022年新高考资料
专题16统计与统计案例16.2统计案例题型归纳讲义-2022届高三数学一轮复习(解析版)_02高考数学_新高考复习资料_2022年新高考资料
专题16统计与统计案例16.2统计案例题型归纳讲义-2022届高三数学一轮复习(解析版)_02高考数学_新高考复习资料_2022年新高考资料
专题16统计与统计案例16.2统计案例题型归纳讲义-2022届高三数学一轮复习(解析版)_02高考数学_新高考复习资料_2022年新高考资料
专题16统计与统计案例16.2统计案例题型归纳讲义-2022届高三数学一轮复习(解析版)_02高考数学_新高考复习资料_2022年新高考资料
专题16统计与统计案例16.2统计案例题型归纳讲义-2022届高三数学一轮复习(解析版)_02高考数学_新高考复习资料_2022年新高考资料
专题16统计与统计案例16.2统计案例题型归纳讲义-2022届高三数学一轮复习(解析版)_02高考数学_新高考复习资料_2022年新高考资料
专题16统计与统计案例16.2统计案例题型归纳讲义-2022届高三数学一轮复习(解析版)_02高考数学_新高考复习资料_2022年新高考资料
专题16统计与统计案例16.2统计案例题型归纳讲义-2022届高三数学一轮复习(解析版)_02高考数学_新高考复习资料_2022年新高考资料
专题16统计与统计案例16.2统计案例题型归纳讲义-2022届高三数学一轮复习(解析版)_02高考数学_新高考复习资料_2022年新高考资料
专题16统计与统计案例16.2统计案例题型归纳讲义-2022届高三数学一轮复习(解析版)_02高考数学_新高考复习资料_2022年新高考资料

文档信息

文档格式
docx
文档大小
0.488 MB
文档页数
23 页
上传时间
2026-04-12 06:29:47

文档内容

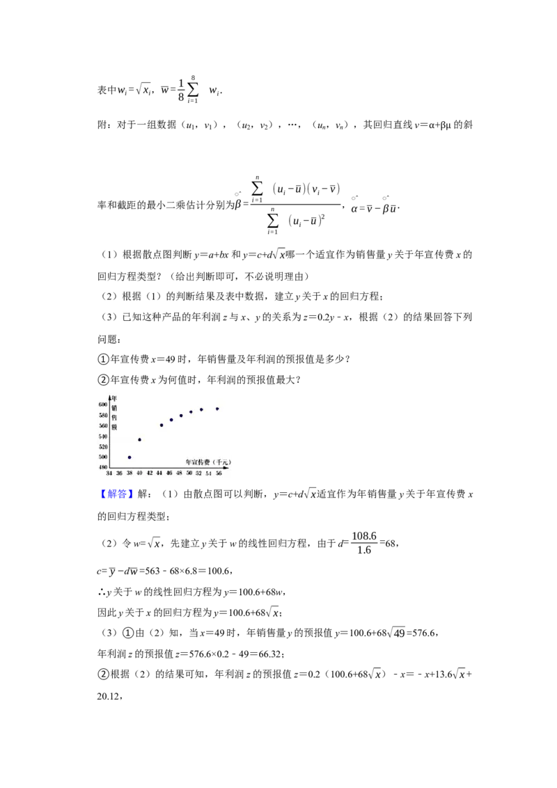
专题十六 《统计与统计案例》讲义 16.2 统计案例 题型一 . 一元线性回归模型 1.某车间为了规划生产进度提高生产效率,记录了不同时段生产零件个数x(百个)与相 应加工总时长y(小时)的几组对应数据,根据表中提供的数据,求出y关于x的线性 ^ 回归方程为y=0.7x+0.05,则下列结论错误的是( ) x 2 3 4 5 y 1.5 2 m 3.5 A.加工总时长与生产零件数呈正相关 B.该回归直线一定过点(3.5,2.5) C.零件个数每增加1百个,相应加工总时长约增加0.7小时 D.m的值是2.85 ^ 【解答】解:由题意,线性回归方程为y=0.7x+0.05, 对于A:∵b=0.7>0,∴加工总时长与生产零件数呈正相关; 对于B:当x=3.5时,可得y=0.7×3.5+0.05=2.5,即该回归直线一定过点(3.5,2.5) 对于C:由b=0.7,∴零件个数每增加1百个,相应加工总时长约增加0.7小时, 2+3+4+5 1.5+2+m+3.5 对于D:回归方程过平均中心,x= =3.5,y= =2.5. 4 4 解得:m=3 故选:D. 2.为了研究某班学生的脚长x(单位:厘米)和身高y(单位:厘米)的关系,从该班随 机抽取10名学生,根据测量数据的散点图可以看出y与x之间有线性相关关系,设其回 10 10 ̂(cid:5) ̂(cid:5) ̂(cid:5) ̂(cid:5) 归直线方程为 y=bx+a .已知∑ x i =225,∑ y i =1600,b=4.该班某学生的 i=1 i=1 脚长为23,据此估计其身高为( ) A.160 B.162 C.166 D.170 10 10 ̂(cid:5) 【解答】解:因为∑ x =225,∑ y =1600,b=4, i i i=1 i=1225 1600 则x= =22.5,y= =160, 10 10 ̂(cid:5) ̂(cid:5) 所以 a= y−bx=160−4×22.5=70 , ̂(cid:5) 所以线性回归方程为 y=4x+70, ̂(cid:5) 当x=23时, y=4×23+70=162, 所以该班某学生的脚长为23,估计其身高为162厘米. 故选:B. 3.(2020•新课标Ⅰ)某校一个课外学习小组为研究某作物种子的发芽率y和温度x(单位: ℃)的关系,在20个不同的温度条件下进行种子发芽实验,由实验数据(x,y)(i= i i 1,2,…,20)得到下面的散点图: 由此散点图,在10℃至40℃之间,下面四个回归方程类型中最适宜作为发芽率y和温度 x的回归方程类型的是( ) A.y=a+bx B.y=a+bx2 C.y=a+bex D.y=a+blnx 【解答】解:由散点图可知,在10℃至40℃之间,发芽率y和温度x所对应的点(x, y)在一段对数函数的曲线附近, 结合选项可知,y=a+blnx可作为发芽率y和温度x的回归方程类型. 故选:D. 4.(2018•新课标Ⅱ)如图是某地区2000年至2016年环境基础设施投资额y(单位:亿 元)的折线图.为了预测该地区2018年的环境基础设施投资额,建立了y与时间变量t的两个线性回归 模型.根据2000年至2016年的数据(时间变量t的值依次为1,2,…,17)建立模型 ̂(cid:5) ①: y=−30.4+13.5t;根据 2010 年至 2016 年的数据(时间变量 t 的值依次为 1, ̂(cid:5) 2,…,7)建立模型②: y=99+17.5t. (1)分别利用这两个模型,求该地区2018年的环境基础设施投资额的预测值; (2)你认为用哪个模型得到的预测值更可靠?并说明理由. ̂(cid:5) 【解答】解:(1)根据模型①: y=− 30.4+13.5t, ̂(cid:5) 计算t=19时, y=−30.4+13.5×19=226.1; 利用这个模型,求出该地区2018年的环境基础设施投资额的预测值是226.1亿元; ̂(cid:5) 根据模型②: y=99+17.5t, ̂(cid:5) 计算t=9时, y=99+17.5×9=256.5; 利用这个模型,求该地区2018年的环境基础设施投资额的预测值是256.5亿元; (2)解法1:模型②得到的预测值更可靠,因为从总体数据看,该地区从2000年到 2016年的环境基础设施投资额是逐年上升的,从2000年到2009年间递增的幅度较小些, 从2010年到2016年间递增的幅度较大些,所以利用模型②的预测值更可靠些. 解法2,模型②对应的7个点分布宽度小于模型①对应的17个点的分布宽度,则|r |>| 2 r |,所以模型②较好; 1 解法3,选择与2018邻近的三个年份(2014,2015,2016)计算模型②对应的残差绝 对值之和=2.5+5+1.5=9,模型①对应的残差绝对值之和=12+23.5+21=56.5;且9<56.5,所以模型②较好; 所以利用模型②的预测值更可靠些. 5.(2016•新课标Ⅲ)如图是我国2008年至2014年生活垃圾无害化处理量(单位:亿 吨)的折线图. 注:年份代码1﹣7分别对应年份2008﹣2014. (Ⅰ)由折线图看出,可用线性回归模型拟合y与t的关系,请用相关系数加以证明; (Ⅱ)建立y关于t的回归方程(系数精确到0.01),预测2016年我国生活垃圾无害化 处理量. 附注: 7 7 √ 7 参考数据:∑ y i =9.32,∑ t i y i =40.17, ∑ (y i −y) 2=0.55,√7≈2.646. i=1 i=1 i=1 n ∑ (t −t)(y −y) i i = i=1 参考公式:相关系数r , √ n n ∑ (t −t) 2∑ (y −y) 2 i i i=1 i=1 ̂(cid:5) ̂(cid:5) ̂(cid:5) 回归方程 y=a+bt中斜率和截距的最小二乘估计公式分别为: n ∑ (t −t)(y −y) ̂(cid:5) i i b= i=1 n , ̂ a (cid:5) = y− ̂ b (cid:5) t . ∑ (t −t) 2 i i=1 【解答】解:(1)由折线图看出,y与t之间存在较强的正相关关系,理由如下: ∵ r7 7 ∑ (t −t)(y −y) ∑ t y −7t y i i i i 40.17−4×9.32 2.89 = i=1 = i=1 ≈ ≈ ≈ √ 7 7 √ 7 7 2√7⋅0.55 2.9106 ∑ (t −t) 2∑ (y −y) 2 ∑ (t −t) 2∑ (y −y) 2 i i i i i=1 i=1 i=1 i=1 0.99, ∵0.99>0.75, 故y与t之间存在较强的正相关关系; n 7 ∑ (t −t)(y −y) ∑ t y −7t y ̂(cid:5) i i i i 2.89 (2)b= i=1 = i=1 ≈ ≈0.10, n 7 28 ∑ (t −t) 2 ∑ t2−7t2 i i i=1 i=1 ̂(cid:5) ̂(cid:5) a= y−bt≈ 1.33﹣0.10×4≈0.93, ̂(cid:5) ∴y关于t的回归方程 y=0.10t+0.93, 2016年对应的t值为9, ̂(cid:5) 故 y=0.10×9+0.93=1.83, 预测2016年我国生活垃圾无害化处理量为1.83亿吨. 6.(2018秋•岳麓区校级月考)越接近高考学生焦虑程度越强,四个高三学生中大约有一 个有焦虑症,经有关机构调查,得出距离高考周数与焦虑程度对应的正常值变化情况如 下表: 周数x 6 5 4 3 2 1 正常值y 55 63 72 80 90 99 (1)作出散点图: ̂(cid:5) ̂(cid:5) ̂(cid:5) (2)根据上表数据用最小二乘法求出 y 关于 x 的线性回归方程 y=bx+a (精确到 0.01); (3)根据经验,观测值为正常值的0.85~1.06为正常,若1.06~1.12为轻度焦虑,1.12 ~1.20为中度焦虑,1.20及其以上为重度焦虑,若为中度焦虑及其以上,则要进行心理 疏导,若一个学生在距高考第二周时观测值为100,则该学生是否需要进行心理疏导?n ∑ x y −nx y ̂(cid:5) i i 6 6 其中b= i=1 n ,∑ x i y i =1.452,∑ x❑ i 2=91, ̂ a (cid:5) = y− ̂ b (cid:5) x . ∑ x2−nx2 i=1 i=1 i i=1 【解答】解:(1) 1 (2)x= (6+5+4+3+2+1)=3.5, 6 1 y= (55+63+72+80+90+99)=76.5,x y=267.75, 6 ̂(cid:5) 1452−6×267.75 ̂(cid:5) b= ≈−8.83, a=76.5+8.83×3.5≈107.41, 91−6×3.52 ∴线性回归方程为y=﹣8.83x+107.41; 100 (3)x=2时,y=﹣8.83×2+107.41≈89.74,∵ ≈1.11<1.12,为轻度焦虑,故该 89.74 学生不需要进行心理疏导. 7.(2020秋•昌江区校级期中)某公司为确定下一年度投入某种产品的宣传费,需了解年 宣传费x(单位:千元)对年销售量y(单位:t)和年利润z(单位:千元)的影响,对 近8年的年宣传费x 和年销售量y(i=1,2,…,8)数据作了初步处理,得到如图的 i i 散点图及一些统计量的值. x y w 8 8 8 8 ∑ (x−x)2 ∑ (w−w)2 ∑ (x−x)(y ∑ (w−w) i i i i i i=1 i=1 i=1 i=1 −y) (y−y) i 46.6 563 6.8 289.8 1.6 1469 108.88 1 表中w =√x,w= ∑ w. i i 8 i i=1 附:对于一组数据(u ,v ),(u ,v ),…,(u ,v ),其回归直线v= + 的斜 1 1 2 2 n n α βμ n ∑ (u −u)(v −v) ̂(cid:5) i i 率和截距的最小二乘估计分别为β= i=1 n , ̂ α (cid:5) =v− ̂ β (cid:5) u . ∑ (u −u) 2 i i=1 (1)根据散点图判断y=a+bx和y=c+d√x哪一个适宜作为销售量y关于年宣传费x的 回归方程类型?(给出判断即可,不必说明理由) (2)根据(1)的判断结果及表中数据,建立y关于x的回归方程; (3)已知这种产品的年利润z与x、y的关系为z=0.2y﹣x,根据(2)的结果回答下列 问题: ①年宣传费x=49时,年销售量及年利润的预报值是多少? ②年宣传费x为何值时,年利润的预报值最大? 【解答】解:(1)由散点图可以判断,y=c+d√x适宜作为年销售量y关于年宣传费x 的回归方程类型; 108.6 (2)令w=√x,先建立y关于w的线性回归方程,由于d= =68, 1.6 c= y−dw=563﹣68×6.8=100.6, ∴y关于w的线性回归方程为y=100.6+68w, 因此y关于x的回归方程为y=100.6+68√x; (3)①由(2)知,当x=49时,年销售量y的预报值y=100.6+68√49=576.6, 年利润z的预报值z=576.6×0.2﹣49=66.32; ②根据(2)的结果可知,年利润z的预报值z=0.2(100.6+68√x)﹣x=﹣x+13.6√x+ 20.12,13.6 当√x= = 6.8时,即x=46.24时年利润的预报值最大. 2 声明:试题解析著作权属所有,未经书面同意,不得复制发布 题型二 . 独立性检验 1.某医疗研究所为了检验新开发的流感疫苗对甲型Hln1流感的预防作用,把1000名注射 了疫苗的人与另外1000名未注射疫苗的人的半年的感冒记录作比较,提出假设 H : 0 “这种疫苗不能起到预防甲型Hln1流感的作用”,并计算出P(Χ2≥6.635)≈0.01,则 下列说法正确的是( ) A.这种疫苗能起到预防甲型Hln1流感的有效率为1% B.若某人未使用该疫苗,则他在半年中有99%的可能性得甲型Hln1 C.有1%的把握认为“这种疫苗能起到预防甲型Hln1流感的作用” D.有99%的把握认为“这种疫苗能起到预防甲型Hln1流感的作用” 【解答】解:∵并计算出P(Χ2≥6.635)≈0.01, 这说明假设不合理的程度约为99%, 即这种疫苗不能起到预防甲型Hln1流感的作用不合理的程度约为99%, ∴有99%的把握认为“这种疫苗能起到预防甲型Hln1流感的作用” 故选:D. 2.通过随机询问200名性别不同的大学生是否爱好踢毽子运动,计算得到统计量 K2的观 测值k≈4.892,参照附表,得到的正确结论是( ) P(K2≥k) 0.10 0.05 0.025 k 2.706 3.841 5.024 A.有97.5%以上的把握认为“爱好该项运动与性别有关” B.有97.5%以上的把握认为“爱好该项运动与性别无关” C.在犯错误的概率不超过5%的前提下,认为“爱好该项运动与性别有关” D.在犯错误的概率不超过5%的前提下,认为“爱好该项运动与性别无关” 【解答】解:∵计算得到统计量值K2的观测值k≈4.892>3.841, 参照题目中的数值表,得到正确的结论是: 在犯错误的概率不超过5%的前提下,认为“爱好该运动与性别有关”. 故选:C. 3.某大学为了解学生对学校食堂服务的满意度,随机调查了50名男生和50名女生,每位 学生对食堂的服务给出满意或不满意的评价,得到如下所示的列联表.经计算 K2的观 测值k≈4.762,则可以推断出( )满意 不满意 男 30 20 女 40 10 P 0.100 0.050 0.010 (k2≥k ) k 2.706 3.841 6.635 3 A.该学校男生对食堂服务满意的概率的估计值为 5 B.调研结果显示,该学校男生比女生对食堂服务更满意 C.有95%的把握认为男、女生对该食堂服务的评价有差异 D.有99%的把握认为男、女生对该食堂服务的评价有差异 4 3 【解答】解:由统计表格知:女生对食堂的满意率为: ;男生对食堂的满意率为 ; 5 5 3 故A,该学校男生对食堂服务满意的概率的估计值为 ,A正确; 5 对于B,应为该校女生比男生对食堂服务更满意;B错误; 由题意算得,k2=4.762>3.841,参照附表,可得: 有95%的把握认为男、女生对该食堂服务的评价有差异; 故C正确,D错误. 故选:AC. 4.海水养殖场进行某水产品的新、旧网箱养殖方法的产量对比,收获时各随机抽取了 100 个网箱,测量各箱水产品的产量(单位:kg),其频率分布直方图如图: (1)设两种养殖方法的箱产量相互独立,记 A表示事件“旧养殖法的箱产量低于 50kg,新养殖法的箱产量不低于50kg”,估计A的概率; (2)填写下面列联表,并根据列联表判断是否有99%的把握认为箱产量与养殖方法有 关:箱产量<50kg 箱产量≥50kg 旧养殖法 新养殖法 (3)根据箱产量的频率分布直方图,求新养殖法箱产量的中位数的估计值(精确到 0.01). 附: P(K2≥k) 0.050 0.010 0.001 k 3.841 6.635 10.828 n(ad−bc) 2 K2= . (a+b)(c+d)(a+c)(b+d) 【解答】解:(1)记B表示事件“旧养殖法的箱产量低于50kg”,C表示事件“新养 殖法的箱产量不低于50kg”, 由P(A)=P(BC)=P(B)P(C), 则旧养殖法的箱产量低于50kg:(0.012+0.014+0.024+0.034+0.040)×5=0.62, 故P(B)的估计值0.62, 新养殖法的箱产量不低于50kg:(0.068+0.046+0.010+0.008)×5=0.66, 故P(C)的估计值为, 则事件A的概率估计值为P(A)=P(B)P(C)=0.62×0.66=0.4092; ∴A发生的概率为0.4092; (2)2×2列联表: 箱产量<50kg 箱产量≥50kg 总计 旧养殖法 62 38 100 新养殖法 34 66 100 总计 96 104 200 200(62×66−38×34) 2 则K2= ≈15.705, 100×100×96×104 由15.705>6.635, ∴有99%的把握认为箱产量与养殖方法有关; (3)由新养殖法的箱产量频率分布直方图中,箱产量低于50kg的直方图的面积: (0.004+0.020+0.044)×5=0.34, 箱产量低于55kg的直方图面积为:(0.004+0.020+0.044+0.068)×5=0.68>0.5,0.5−0.34 故新养殖法产量的中位数的估计值为:50+ ≈52.35(kg), 0.068 新养殖法箱产量的中位数的估计值52.35(kg). 5.某工厂为提高生产效率,开展技术创新活动,提出了完成某项生产任务的两种新的生产 方式.为比较两种生产方式的效率,选取40名工人,将他们随机分成两组,每组20人. 第一组工人用第一种生产方式,第二组工人用第二种生产方式.根据工人完成生产任务 的工作时间(单位:min)绘制了如下茎叶图: (1)根据茎叶图判断哪种生产方式的效率更高?并说明理由; (2)求40名工人完成生产任务所需时间的中位数m,并将完成生产任务所需时间超过 m和不超过m的工人数填入下面的列联表: 超过m 不超过m 第一种生产方式 第二种生产方式 (3)根据(2)中的列联表,能否有99%的把握认为两种生产方式的效率有差异? n(ad−bc) 2 附:K2= , (a+b)(c+d)(a+c)(b+d) P(K2≥k) 0.050 0.010 0.001 k 3.841 6.635 10.828 【解答】解:(1)根据茎叶图中的数据知, 第一种生产方式的工作时间主要集中在72~92之间, 第二种生产方式的工作时间主要集中在65~85之间, 所以第二种生产方式的工作时间较少些,效率更高; (2)这40名工人完成生产任务所需时间按从小到大的顺序排列后, 79+81 排在中间的两个数据是79和81,计算它们的中位数为m= =80; 2 由此填写列联表如下; 超过m 不超过m 总计第一种生产方式 15 5 20 第二种生产方式 5 15 20 总计 20 20 40 (3)根据(2)中的列联表,计算 n(ad−bc) 2 40×(15×15−5×5) 2 K2= = =10>6.635, (a+b)(c+d)(a+c)(b+d) 20×20×20×20 ∴能有99%的把握认为两种生产方式的效率有差异. 6.韩国民意调查机构“盖洛普韩国”2016年11月公布的民调结果显示,受“闺蜜门”时 间影响,韩国总统朴槿惠的民意支持率持续下跌,在所调查的1000个对象中,年龄在 [20,30)的群体有200人,支持率为0%,年龄在[30,40)和[40,50)的群体中,支 持率均为3%;年龄在[50,60)和[60,70)的群体中,支持率分别为6%和13%,若在 调查的对象中,除[20,30)的群体外,其余各年龄层的人数分布情况如频率分布直方 图所示,其中最后三组的频数构成公差为100的等差数列. (1)依频率分布直方图求出图中各年龄层的人数 (2)请依上述支持率完成下表: 年龄分布 [30,40)和[40, [50,60)和[60, 合计 50) 70) 是否支持 支持 1 5 2 5 4 0 不支持 48 5 27 5 76 0 合计 50 0 30 0 80 0 根据表中的数据,能否在犯错误的概率不超过0.001的前提下认为年龄与支持率有关? 附表: P(K2≥k) 0.15 0.10 0.05 0.025 0.010 0.005 0.001 k 2.072 2.706 3.841 5.024 6.635 7.879 10.828 n(ad−bc) 2 (参考公式:K2= ,其中n=a+b+c+d 参考数据:125×33= (a+b)(c+d)(a+c)(b+d) 15×275,125×97=25×485)【解答】解:(1)设年龄在[50,60)的人数为x,则最后三组人数之和为3x, 所以四组总人数为4x=800,得x=200, 则频率分布直方图中,年龄在[30,40)的群体有200人, [40,50)的群体有300人,[50,60)的群体有200人,[60,70)的群体有100人; (2)由题意年龄在[30,40)和[40,50)的支持人数为6+9=15,[50,60)和[60, 70)的人数为12+13=25. 填表如下 年龄 [30,40)和[40, [50,60)和[60, 合计 分布 50) 70) 是否支持 支持 15 25 40 不支持 485 275 760 合计 500 300 800 800×(15×275−25×485) 2 所以K2= ≈11.228>10.828, 40×760×300×500 ∴在犯错误的概率不超过0.001的前提下认为年龄与支持率有关. 题型三 . 统计案例综合 1.“绿水青山就是金山银山”,“建设美丽中国”已成为新时代中国特色社会主义生态文 明建设的重要内容,某班在一次研学旅行活动中,为了解某苗圃基地的柏树幼苗生长情 况,在这些树苗中随机抽取了120株测量高度(单位:cm),经统计,树苗的高度均在 区间[19,31]内,将其按[19,21),[21,23),[23,25),[25,27),[27,29), [29,31]分成6组,制成如图所示的频率分布直方图.据当地柏树苗生长规律,高度不 低于27cm的为优质树苗. (1)求图中a的值; (2)已知所抽取的这120株树苗来自于A,B两个试验区,部分数据如下列联表: 试验区 试验区 合计优质树苗 1 0 20 3 0 非优质树苗 60 3 0 9 0 合计 7 0 5 0 12 0 将列联表补充完整,并判断是否有99.9%的把握认为优质树苗与A,B两个试验区有关 系,并说明理由; (3)用样本估计总体,若从这批树苗中随机抽取4株,其中优质树苗的株数为X,求X 的分布列和数学期望EX. n(ad−bc) 2 附:参考公式与参考数据:K2= ,其中n=a+b+c+d. (a+b)(c+d)(a+c)(b+d) P 0.010 0.005 0.001 (K2≥k ) 0 k 6.635 7.879 10.828 0 【解答】解:(1)根据频率直方图数据,有2(a×2+2a+0.10×2+0.20)=1, 解得a=0.025. (2)根据频率直方图可知,样本中优质树苗棵树有120×(0.10×2+0.025×2)=30, 列联表如下: A试验区 B试验区 合计 优质树苗 10 20 30 非优质树苗 60 30 90 合计 70 50 120 120(10×30−20×60) 2 72 可得K2= = <10.3<10.828, 70×50×30×90 7 所以,没有99.9%的把握认为优质树苗与A,B两个试验区有关系. 30 1 (3)用样本估计总体,由题意,这批树苗为优质树苗的概率为 = . 120 4 1 X的可能取值为0,1,2,3,4,由题意知X服从二项分布X~B(4, ), 41 3 ∴P(X=k)=Ck ( ) k ( ) 4−k ,(k=0,1,2,3,4), 4 4 4 3 81 1 3 27 即:P(X=0)=( ) 4= ,P(X=1)=C1 ( )( ) 3= , 4 256 4 4 4 64 1 3 27 1 3 3 P(X=2)=C2 ( ) 2 ( ) 2= ,P(X=3)=C3 ( ) 3 ( )= , 4 4 4 128 4 4 4 64 1 1 P(X=4)=( ) 4= . 4 256 ∴X的分布列为: X 0 1 2 3 4 P 81 27 27 3 1 256 64 128 64 256 1 ∴数学期望为E(X)=4× =1. 4 2.2021年6月17日9时22分,我国酒泉卫星发射中心用长征2F遥十二运载火箭,成功 将神舟十二号载人飞船送入预定轨道,顺利将聂海胜、刘伯明、汤洪波3名航天员送入 太空,发射取得圆满成功,这标志着中国人首次进入自己的空间站.某公司负责生产的 A型材料是神舟十二号的重要零件,该材料应用前景十分广泛.该公司为了将A型材料 更好地投入商用,拟对A型材料进行应用改造、根据市场调研与模拟,得到应用改造投 入x(亿元)与产品的直接收益y(亿元)的数据统计如表: 序号 1 2 3 4 5 6 7 8 9 10 11 12 x 2 3 4 6 8 10 13 21 22 23 24 25 y 15 22 27 40 48 54 60 68.5 68 67.5 66 65 ̂(cid:5) 当0<x≤17时,建立了 y与x的两个回归模型:模型①: y=4.1x+10.9,模型②: ̂(cid:5) ̂(cid:5) ̂(cid:5) y=21.3√x−14.4;当x>17时,确定y与x满足的线性回归方程为 y=−0.7x+a . (1)根据下列表格中的数据,比较当0<x≤17时模型①,②的相关指数R2的大小, 并选择拟合精度更高、更可靠的模型,预测对 A型材料进行应用改造的投入为17亿元 时的直接收益; 回归模型 模型① 模型② 回归方程 ̂(cid:5) ̂(cid:5) y=4.1x+10.9 y=21.3√x− 14.47 ̂(cid:5) 79.13 20.2 ∑ (y −y ) 2 i i i=1 (2)为鼓励科技创新,当应用改造的投入不少于20亿元时,国家给予公司补贴5亿元, 以回归方程为预测依据,根据(1)中选择的拟合精度更高更可靠的模型,比较投入17 亿元与20亿元时公司收益(直接收益+国家补贴)的大小. n ̂(cid:5) ∑ (y −y❑) 2 i i 附:刻画回归效果的指数R2=1− i=1 ,且当R2越大时,回归方程的拟合 n ∑ (y −y) 2 i i=1 效果越好.√17≈4.1. ̂(cid:5) ̂(cid:5) ̂(cid:5) ̂(cid:5) ̂(cid:5) 用最小二乘法求线性同归方程 y=bx+a 的截距: a= y−bx . 15+22+27+40+48+54+60 【解答】解:(1)对于模型①,对应的y= =38, 7 7 所以=∑ (y −y) 2=(15﹣38)2+(22﹣38)2+(27﹣38)2+(40﹣38)2+(48﹣38) i i=1 2+(54﹣38)2+(60﹣38)2=1810, 7 ̂(cid:5) ∑ (y −y) 2 i 79.13 所以相关指数R❑ 2=1− i=1 =1− ≈0.9563, 1 7 1810 ∑ (y −y) 2 i i=1 20.2 同理,模型②的相关指数R❑ 2=1− ≈0.9889, 2 1810 因为0.9889>0.9563, 所以模型②拟合精度更高; 故对型材料进行应用改造的投入为17亿元时的直接收益为=21.3√17−14.4≈72.93; 21+22+23+24+25 ( 2 ) 当 x > 17 时 , 后 五 组 的 x= =23 , 5 68.5+68+67.5+66+65 y= = 67, 5 ̂(cid:5) 由最小二乘法可得 a=67﹣(﹣0.7)×23=83.1, 故当投入20亿元时公司收益(直接收益+国家补贴)的大小为:﹣0.7×20+83.1+5=74.1>72.93, 故投入l7亿元比投入20亿元时收益小. 3.中国茶文化博大精深,已知茶水的口感与茶叶类型以及水温有关.经验表明,某种绿茶 用85℃的水泡制,再等到茶水温度降至60℃时饮用,可以产生最佳口感.某学习研究 小组通过测量,得到了下面表格中的数据(室温是20℃). 泡制时间x/min 0 1 2 3 4 水温y/℃ 85 79 74 71 65 ln(y﹣20) 4.2 4.1 4.0 3.9 3.8 (1)小组成员根据上面表格中的数据绘制散点图,并根据散点图分布情况,考虑到茶 水温度降到室温(即20℃)就不能再降的事实,决定选择函数模型y=kcx+20(x≥0) 来刻画. ①令z=ln(y﹣20),求出z关于x的线性回归方程; ②利用①的结论,求出y=kcx+20(x≥0,c>0)中的k与c. (2)你认为该品种绿茶用85℃的水大约泡制多久后饮用,可以产生最佳口感? 400 参考数据:log 0.6≈4.8,e−0.1≈0.9,e4.2≈66.7, ≈0.6. 0.9 667 n ∑ (x −x)(z −z) ̂(cid:5) i i 参考公式: ̂ z (cid:5) = ̂ b (cid:5) x+ ̂ a (cid:5) ,b= i=1 n , ̂ a (cid:5) =z− ̂ b (cid:5) x . ∑ (x −x) 2 i i=1 【解答】解:(1)①由已知得出x与z的关系,如下表: 泡制时间x/min 0 1 2 3 4 z 4.2 4.1 4.0 3.9 3.8 设 线 性 回 归 方 程 ̂ z (cid:5) = ̂ b (cid:5) x+ ̂ a (cid:5) , 由 题 意 得 x= 0+1+2+3+4 =2, 5 4.2+4.1+4.0+3.9+3.8 z= =4, 5 5 ∴ , ∑ (x −x)(z −z)=(−2)×0.2+(−1)×0.1+1×(−0.1)+2×(−0.2)=−1 i i i=15 , ∑ (x −x) 2=(−2) 2+(−1) 2+12+22=10 i i=1 5 ∑ (x −x)(z −z) ̂(cid:5) i i −1 则b= i=1 5 = 10 =−0.1,(4分) ̂ a (cid:5) =z− ̂ b (cid:5) x=4+0.1×2=4.2 , ∑ (x −x) 2 i i=1 ̂(cid:5) 则z关于x的线性回归方程为 z=−0.1x+4.2 . ②由y=kcx+20(x≥0),得y﹣20=kcx(x≥0), 两边取对数得,ln(y﹣20)=lnk+xlnc,(7分) 利用①的结论得:lnc=﹣0.1,lnk=4.2, ∴c=e﹣0.1≈0.9,k=e4.2≈66.7. (2)由(1)得,y=66.7×0.9x+20(x≥0), 令y=60,得x=log 0.6≈4.8. 0.9 ∴该品种绿茶用85℃的水泡制4.8min后饮用,口感最佳. 声明:试题解析著作权属所有,未经书面同意,不得复制发布 日期:2021/12/12 20:47:40;用户:15942715433;邮箱:15942715433;学号:32355067 课后作业 . 统计案例 1.下列说法正确的是( ) A.在统计学中,回归分析是检验两个分类变量是否有关系的一种统计方法 ̂(cid:5) ̂(cid:5) ̂(cid:5) B.线性回归方程对应的直线 y=bx+a 至少经过其样本数据点(x 1 ,y 1 ),(x 2 , y 2 ),⋯,(x n ,y n )中的一个点 C.在残差图中,残差点分布的带状区域的宽度越狭窄,其模型拟合的精度越高 D.在回归分析中,相关指数R2为0.95的模型比相关指数R2为0.78的模型拟合的效果 差 【解答】解:对于A:在统计学中,独立性检测是检验两个分类变量是否有关系的一种 统计方法,故A错误; ̂(cid:5) ̂(cid:5) ̂(cid:5) 对于B:线性回归方程对应的直线 y=bx+a 可能不经过其样本数据点(x 1 ,y 1 ), (x 2 ,y 2 ),⋯,(x n ,y n )中的一个点,故B错误; 对于C:在残差图中,残差点分布的带状区域的宽度越狭窄,其模型拟合的精度越高, 故C正确;对于D:在回归分析中,相关指数R2为0.95的模型比相关指数R2为0.78的模型拟合的 效果好,故D错误. 故选:C. 2.为了调查患胃病是否与生活不规律有关,在患胃病与生活不规律这两个分类变量的计算 中,下列说法正确的是( ) A.k越大,“患胃病与生活不规律没有关系”的可信程度越大. B.k越大,“患胃病与生活不规律有关系”的可信程度越小. C.若计算得K2≈3.918,经查临界值表知P(K2≥3.841)≈0.05,则在100个生活不规 律的人中必有95人患胃病. D.从统计量中得知有95%的把握认为患胃病与生活不规律有关,是指有5%的可能性 使得推断出现错误. 【解答】解:在独立性检验中,k越大,“患胃病与生活不规律有关系”的可信程度越 大,所以A错误、B错误; 计算得K2≈3.918时,经查临界值表知P(K2≥3.841)≈0.05,不是指在100个生活不 规律的人中必有95人患胃病,所以C错误; 从统计量中得知有95%的把握认为患胃病与生活不规律有关,是指有5%的可能性使得 推断出现错误,所以D正确. 故选:D. 3.对某中学的高中女生体重y(单位:kg)与身高x(单位:cm)进行线性回归分析,根 据样本数据(x,y)(i=1,2,3,……,12),计算得到相关系数r=0.9962,用最 i i ̂(cid:5) 小二乘法近似得到回归直线方程为 y=0.85x﹣85.71,则以下结论中正确的是( ) A.x与y正相关 B.x与y具有较强的线性相关关系,得到的回归直线方程有价值 C.若该中学某高中女生身高增加1cm,则其体重约增加0.85kg D.若该中学某高中女生身高为160cm,则可断定其体重为50.29kg 【解答】解:由于线性回归方程中x的系数为0.85>0,因此y与x具有正的线性相关关 系,A正确; 根据样本数据计算得到相关系数r=0.9962接近1,则样本数据与回归直线方程有较强的 相关性,因此B正确; 由线性回归方程中系数的意义可得回归直线的估计值知,x每增加1cm,其体重约增加0.85kg,C正确; 当某女生的身高为160cm时,其体重估计值是50.29kg,而不是具体值,因此D错误. 故选:ABC. 4.为研究女高中生身高与体重之间的关系,一调查机构从某中学中随机选取 8名女高中生, 其身高x(cm)和体重y(kg)数据如表所示: 编号 1 2 3 4 5 6 7 8 身高x/cm 164 160 158 172 162 162 174 166 体重y/kg 60 46 43 48 48 50 61 52 该调查机构绘制出该组数据的散点图后分析发现,女高中生的身高与体重之间有较强的 线性相关关系. ̂(cid:5) ̂(cid:5) (1)调查员甲计算得出该组数据的线性回归方程为 y=0.7x+a .请你据此预一名身高 为176cm的女高中生的体重; (2)调查员乙仔细观察散点图发现,这8名同学中,编号为1和4的两名同学对应的点 与其他同学对应的点偏差太大,于是提出这样的数据应剔除,请你按照这名调查人员的 想法重新计算线性回归方程,并据此预报一名身高为176cm的女高中生的体重; (3)请你分析一下,甲和乙谁的模型得到的预测值更可靠?说明理由. 附:对于一组数据(x ,y ),(x ,y ),(x ,y ),…,(x ,y ),其回归直线 1 1 2 2 3 3 n n n ∑ (x −x)(y −y) ̂(cid:5) i i ̂ y (cid:5) = ̂ b (cid:5) x+ ̂ a (cid:5) 的斜率和截距的最小二乘法估计分别为:b= i=1 n , ∑ (x −x) 2 i i=1 ̂(cid:5) ̂(cid:5) a= y−bx . 【解答】解:(1)经计算x=165,y=51, ̂(cid:5) 于是 a=51−0.7×165=−64.5 , ̂(cid:5) 则该组数据的线性回归方程为 y=0.7x−64.5 , ̂(cid:5) 当x=176时, y=0.7×176−64.5=58.7 ,于是,一名身高为176cm的女高中生的体重58.7; (2)按照调查人员乙的想法,剩下的数据如下表所示: 编号 2 3 5 6 7 8 身高x/cm 160 158 162 164 174 166 体重y/kg 46 43 48 50 61 52 经计算x=164,y=50, 6 ∑ (x −x)(y −y) ̂(cid:5) i i 则b= i=1 6 = 1.1,则 ̂ a (cid:5) =50−1.1×164=−130.4 , ∑ (x −x) 2 i i=1 ̂(cid:5) 则该组数据的线性回归方程为 y=1.1x−130.4 , ̂(cid:5) 当x=176时, y=1.1×176−130.4=63.2 , 于是,一名身高为176cm的女大学生的体重约为63.2kg. (3)乙的模型得到的预测值更可靠, 理由如下,①从散点图可以看出,第一组数据和第四组数据确实偏差较大,为更准确 的刻画变化趋势,有必要把这两组数据除掉; ②从计算结果来看,相对于第七组数据174cm的女大学生体重,甲对身高176的女大 学生的预测值明显偏低,再利用乙同学的回归方程得到的预测值增幅较合理. 5.为了解高校学生平均每天使用手机的时间长短是否与性别有关,某调查小组随机抽取了 25名男生、10名女生进行为期一周的跟踪调查,调查结果如表所示: 平均每天使用手机>3小 平均每天使用手机≤3 合计 时 小时 男生 15 10 25 女生 3 7 10 合计 18 17 35 (Ⅰ)根据列联表判断,是否有90%的把握认为学生使用手机的时间长短与性别有关; (Ⅱ)在参与调查的平均每天使用手机不超过3小时的10名男生中,有6人使用国产手 机,从这10名男生中任意选取3人,求这3人中使用国产手机的人数X的分布列和数学 期望. p 0.400 0.250 0.150 0.100 0.050 0.025(K2≥k ) 0 k 0.708 1.323 2.072 2.706 3.841 5.024 0 n(ad−bc) 2 参考公式:K2= (n=a+b+c+d) (a+c)(b+d)(a+b)(c+d) 【 解 答 】 解 : ( Ⅰ ) 由 列 联 表 得 : k2 n(nd−bc) 2 35×(15×7−10×3) 2 175 = = = ≈2.57, (a+c)(b+d)(a+b)(c+d) 18×17×25×10 68 由于2.57<2.706,所以没有90%的把握认为学生使用手机的时间长短与性别有关. (Ⅱ)X可取值0,1,2,3 C3 1 P(X=0)= 4 = , C3 30 10 C2C1 3 P(X=1)= 4 6= , C3 10 10 C1C2 1 P(X=2)= 4 6= , C3 2 10 C3 1 P(X=3)= 6 = , C3 6 10 所以X的分布列为 X 0 1 2 3 P 1 3 1 1 30 10 2 6 这3人中使用国产手机的人数X的数学期望为 1 3 1 1 9 E(X)=0× +1× +2× +3× = . 30 10 2 6 5 声明:试题解析著作权属所有,未经书面同意,不得复制发布