当前位置:首页>文档>专题16统计与统计案例16.2统计案例题型归纳讲义-2022届高三数学一轮复习(原卷版)_02高考数学_新高考复习资料_2022年新高考资料

专题16统计与统计案例16.2统计案例题型归纳讲义-2022届高三数学一轮复习(原卷版)_02高考数学_新高考复习资料_2022年新高考资料

  • 2026-04-12 06:29:56 2026-04-12 06:29:15

文档预览

专题16统计与统计案例16.2统计案例题型归纳讲义-2022届高三数学一轮复习(原卷版)_02高考数学_新高考复习资料_2022年新高考资料
专题16统计与统计案例16.2统计案例题型归纳讲义-2022届高三数学一轮复习(原卷版)_02高考数学_新高考复习资料_2022年新高考资料
专题16统计与统计案例16.2统计案例题型归纳讲义-2022届高三数学一轮复习(原卷版)_02高考数学_新高考复习资料_2022年新高考资料
专题16统计与统计案例16.2统计案例题型归纳讲义-2022届高三数学一轮复习(原卷版)_02高考数学_新高考复习资料_2022年新高考资料
专题16统计与统计案例16.2统计案例题型归纳讲义-2022届高三数学一轮复习(原卷版)_02高考数学_新高考复习资料_2022年新高考资料
专题16统计与统计案例16.2统计案例题型归纳讲义-2022届高三数学一轮复习(原卷版)_02高考数学_新高考复习资料_2022年新高考资料
专题16统计与统计案例16.2统计案例题型归纳讲义-2022届高三数学一轮复习(原卷版)_02高考数学_新高考复习资料_2022年新高考资料
专题16统计与统计案例16.2统计案例题型归纳讲义-2022届高三数学一轮复习(原卷版)_02高考数学_新高考复习资料_2022年新高考资料
专题16统计与统计案例16.2统计案例题型归纳讲义-2022届高三数学一轮复习(原卷版)_02高考数学_新高考复习资料_2022年新高考资料
专题16统计与统计案例16.2统计案例题型归纳讲义-2022届高三数学一轮复习(原卷版)_02高考数学_新高考复习资料_2022年新高考资料
专题16统计与统计案例16.2统计案例题型归纳讲义-2022届高三数学一轮复习(原卷版)_02高考数学_新高考复习资料_2022年新高考资料
专题16统计与统计案例16.2统计案例题型归纳讲义-2022届高三数学一轮复习(原卷版)_02高考数学_新高考复习资料_2022年新高考资料
专题16统计与统计案例16.2统计案例题型归纳讲义-2022届高三数学一轮复习(原卷版)_02高考数学_新高考复习资料_2022年新高考资料

文档信息

文档格式
docx
文档大小
0.461 MB
文档页数
13 页
上传时间
2026-04-12 06:29:15

文档内容

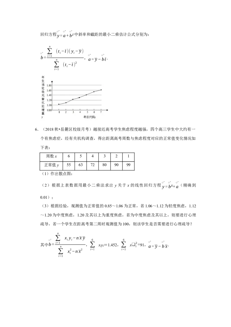
专题十六 《统计与统计案例》讲义 16.2 统计案例 题型一 . 一元线性回归模型 1.某车间为了规划生产进度提高生产效率,记录了不同时段生产零件个数x(百个)与相 应加工总时长y(小时)的几组对应数据,根据表中提供的数据,求出y关于x的线性 ^ 回归方程为y=0.7x+0.05,则下列结论错误的是( ) x 2 3 4 5 y 1.5 2 m 3.5 A.加工总时长与生产零件数呈正相关 B.该回归直线一定过点(3.5,2.5) C.零件个数每增加1百个,相应加工总时长约增加0.7小时 D.m的值是2.85 2.为了研究某班学生的脚长x(单位:厘米)和身高y(单位:厘米)的关系,从该班随 机抽取10名学生,根据测量数据的散点图可以看出y与x之间有线性相关关系,设其回 10 10 ̂(cid:3) ̂(cid:3) ̂(cid:3) ̂(cid:3) 归直线方程为 y=bx+a .已知∑ x i =225,∑ y i =1600,b=4.该班某学生的 i=1 i=1 脚长为23,据此估计其身高为( ) A.160 B.162 C.166 D.170 3.(2020•新课标Ⅰ)某校一个课外学习小组为研究某作物种子的发芽率y和温度x(单位: ℃)的关系,在20个不同的温度条件下进行种子发芽实验,由实验数据(x,y)(i= i i 1,2,…,20)得到下面的散点图: 由此散点图,在10℃至40℃之间,下面四个回归方程类型中最适宜作为发芽率y和温度 x的回归方程类型的是( ) A.y=a+bx B.y=a+bx2 C.y=a+bex D.y=a+blnx4.(2018•新课标Ⅱ)如图是某地区2000年至2016年环境基础设施投资额y(单位:亿 元)的折线图. 为了预测该地区2018年的环境基础设施投资额,建立了y与时间变量t的两个线性回归 模型.根据2000年至2016年的数据(时间变量t的值依次为1,2,…,17)建立模型 ̂(cid:3) ①: y=−30.4+13.5t;根据 2010 年至 2016 年的数据(时间变量 t 的值依次为 1, ̂(cid:3) 2,…,7)建立模型②: y=99+17.5t. (1)分别利用这两个模型,求该地区2018年的环境基础设施投资额的预测值; (2)你认为用哪个模型得到的预测值更可靠?并说明理由. 5.(2016•新课标Ⅲ)如图是我国2008年至2014年生活垃圾无害化处理量(单位:亿 吨)的折线图. 注:年份代码1﹣7分别对应年份2008﹣2014. (Ⅰ)由折线图看出,可用线性回归模型拟合y与t的关系,请用相关系数加以证明; (Ⅱ)建立y关于t的回归方程(系数精确到0.01),预测2016年我国生活垃圾无害化 处理量. 附注: 7 7 √ 7 参考数据:∑ y i =9.32,∑ t i y i =40.17, ∑ (y i −y) 2=0.55,√7≈2.646. i=1 i=1 i=1 n ∑ (t −t)(y −y) i i = i=1 参考公式:相关系数r , √ n n ∑ (t −t) 2∑ (y −y) 2 i i i=1 i=1̂(cid:3) ̂(cid:3) ̂(cid:3) 回归方程 y=a+bt中斜率和截距的最小二乘估计公式分别为: n ∑ (t −t)(y −y) ̂(cid:3) i i b= i=1 n , ̂ a (cid:3) = y− ̂ b (cid:3) t . ∑ (t −t) 2 i i=1 6.(2018秋•岳麓区校级月考)越接近高考学生焦虑程度越强,四个高三学生中大约有一 个有焦虑症,经有关机构调查,得出距离高考周数与焦虑程度对应的正常值变化情况如 下表: 周数x 6 5 4 3 2 1 正常值y 55 63 72 80 90 99 (1)作出散点图: ̂(cid:3) ̂(cid:3) ̂(cid:3) (2)根据上表数据用最小二乘法求出 y 关于 x 的线性回归方程 y=bx+a (精确到 0.01); (3)根据经验,观测值为正常值的0.85~1.06为正常,若1.06~1.12为轻度焦虑,1.12 ~1.20为中度焦虑,1.20及其以上为重度焦虑,若为中度焦虑及其以上,则要进行心理 疏导,若一个学生在距高考第二周时观测值为100,则该学生是否需要进行心理疏导? n ∑ x y −nx y ̂(cid:3) i i 6 6 其中b= i=1 n ,∑ x i y i =1.452,∑ x❑ i 2=91, ̂ a (cid:3) = y− ̂ b (cid:3) x . ∑ x2−nx2 i=1 i=1 i i=17.(2020秋•昌江区校级期中)某公司为确定下一年度投入某种产品的宣传费,需了解年 宣传费x(单位:千元)对年销售量y(单位:t)和年利润z(单位:千元)的影响,对 近8年的年宣传费x 和年销售量y(i=1,2,…,8)数据作了初步处理,得到如图的 i i 散点图及一些统计量的值. x y w 8 8 8 8 ∑ (x−x) ∑ (w−w)2 ∑ (x−x) ∑ (w−w) i i i i i=1 i=1 i=1 i=1 2 (y−y) (y−y) i i 46.6 563 6.8 289.8 1.6 1469 108.8 8 表中 , 1 . w =√x w= ∑ w i i 8 i i=1 附:对于一组数据(u ,v ),(u ,v ),…,(u ,v ),其回归直线v= + 的斜 1 1 2 2 n n α βμ n ∑ (u −u)(v −v) ̂(cid:3) i i 率和截距的最小二乘估计分别为 β= i=1 ,̂(cid:3) ̂(cid:3) . α=v−βu n ∑ (u −u) 2 i i=1 (1)根据散点图判断y=a+bx和y=c+d√x哪一个适宜作为销售量y关于年宣传费x的 回归方程类型?(给出判断即可,不必说明理由) (2)根据(1)的判断结果及表中数据,建立y关于x的回归方程; (3)已知这种产品的年利润z与x、y的关系为z=0.2y﹣x,根据(2)的结果回答下列 问题: ①年宣传费x=49时,年销售量及年利润的预报值是多少? ②年宣传费x为何值时,年利润的预报值最大?题型二 . 独立性检验 1.某医疗研究所为了检验新开发的流感疫苗对甲型Hln1流感的预防作用,把1000名注射 了疫苗的人与另外1000名未注射疫苗的人的半年的感冒记录作比较,提出假设 H : 0 “这种疫苗不能起到预防甲型Hln1流感的作用”,并计算出P(Χ2≥6.635)≈0.01,则 下列说法正确的是( ) A.这种疫苗能起到预防甲型Hln1流感的有效率为1% B.若某人未使用该疫苗,则他在半年中有99%的可能性得甲型Hln1 C.有1%的把握认为“这种疫苗能起到预防甲型Hln1流感的作用” D.有99%的把握认为“这种疫苗能起到预防甲型Hln1流感的作用” 2.通过随机询问200名性别不同的大学生是否爱好踢毽子运动,计算得到统计量 K2的观 测值k≈4.892,参照附表,得到的正确结论是( ) P(K2≥k) 0.10 0.05 0.025 k 2.706 3.841 5.024 A.有97.5%以上的把握认为“爱好该项运动与性别有关” B.有97.5%以上的把握认为“爱好该项运动与性别无关” C.在犯错误的概率不超过5%的前提下,认为“爱好该项运动与性别有关” D.在犯错误的概率不超过5%的前提下,认为“爱好该项运动与性别无关” 3.某大学为了解学生对学校食堂服务的满意度,随机调查了50名男生和50名女生,每位 学生对食堂的服务给出满意或不满意的评价,得到如下所示的列联表.经计算 K2的观 测值k≈4.762,则可以推断出( ) 满意 不满意 男 30 20 女 40 10P 0.100 0.050 0.010 (k2≥k ) k 2.706 3.841 6.635 3 A.该学校男生对食堂服务满意的概率的估计值为 5 B.调研结果显示,该学校男生比女生对食堂服务更满意 C.有95%的把握认为男、女生对该食堂服务的评价有差异 D.有99%的把握认为男、女生对该食堂服务的评价有差异 4.海水养殖场进行某水产品的新、旧网箱养殖方法的产量对比,收获时各随机抽取了 100 个网箱,测量各箱水产品的产量(单位:kg),其频率分布直方图如图: (1)设两种养殖方法的箱产量相互独立,记 A表示事件“旧养殖法的箱产量低于 50kg,新养殖法的箱产量不低于50kg”,估计A的概率; (2)填写下面列联表,并根据列联表判断是否有99%的把握认为箱产量与养殖方法有 关: 箱产量<50kg 箱产量≥50kg 旧养殖法 新养殖法 (3)根据箱产量的频率分布直方图,求新养殖法箱产量的中位数的估计值(精确到 0.01). 附: P(K2≥k) 0.050 0.010 0.001 k 3.841 6.635 10.828 K2 n(ad−bc) 2 . = (a+b)(c+d)(a+c)(b+d) 5.某工厂为提高生产效率,开展技术创新活动,提出了完成某项生产任务的两种新的生产方式.为比较两种生产方式的效率,选取40名工人,将他们随机分成两组,每组20人. 第一组工人用第一种生产方式,第二组工人用第二种生产方式.根据工人完成生产任务 的工作时间(单位:min)绘制了如下茎叶图: (1)根据茎叶图判断哪种生产方式的效率更高?并说明理由; (2)求40名工人完成生产任务所需时间的中位数m,并将完成生产任务所需时间超过 m和不超过m的工人数填入下面的列联表: 超过m 不超过m 第一种生产方式 第二种生产方式 (3)根据(2)中的列联表,能否有99%的把握认为两种生产方式的效率有差异? 附:K2 n(ad−bc) 2 , = (a+b)(c+d)(a+c)(b+d) P(K2≥k) 0.050 0.010 0.001 k 3.841 6.635 10.828 6.韩国民意调查机构“盖洛普韩国”2016年11月公布的民调结果显示,受“闺蜜门”时 间影响,韩国总统朴槿惠的民意支持率持续下跌,在所调查的1000个对象中,年龄在 [20,30)的群体有200人,支持率为0%,年龄在[30,40)和[40,50)的群体中,支 持率均为3%;年龄在[50,60)和[60,70)的群体中,支持率分别为6%和13%,若在 调查的对象中,除[20,30)的群体外,其余各年龄层的人数分布情况如频率分布直方 图所示,其中最后三组的频数构成公差为100的等差数列. (1)依频率分布直方图求出图中各年龄层的人数 (2)请依上述支持率完成下表: 年龄分布 [30,40)和[40, [50,60)和[60, 合计 50) 70) 是否支持 支持 不支持 合计根据表中的数据,能否在犯错误的概率不超过0.001的前提下认为年龄与支持率有关? 附表: P(K2≥k) 0.15 0.10 0.05 0.025 0.010 0.005 0.001 k 2.072 2.706 3.841 5.024 6.635 7.879 10.828 (参考公式:K2 n(ad−bc) 2 ,其中n=a+b+c+d 参考数据:125×33= = (a+b)(c+d)(a+c)(b+d) 15×275,125×97=25×485) 题型三 . 统计案例综合 1.“绿水青山就是金山银山”,“建设美丽中国”已成为新时代中国特色社会主义生态文 明建设的重要内容,某班在一次研学旅行活动中,为了解某苗圃基地的柏树幼苗生长情 况,在这些树苗中随机抽取了120株测量高度(单位:cm),经统计,树苗的高度均在 区间[19,31]内,将其按[19,21),[21,23),[23,25),[25,27),[27,29), [29,31]分成6组,制成如图所示的频率分布直方图.据当地柏树苗生长规律,高度不 低于27cm的为优质树苗. (1)求图中a的值; (2)已知所抽取的这120株树苗来自于A,B两个试验区,部分数据如下列联表: 试验区 试验区 合计 优质树苗 20 非优质树苗 60 合计 将列联表补充完整,并判断是否有99.9%的把握认为优质树苗与A,B两个试验区有关 系,并说明理由; (3)用样本估计总体,若从这批树苗中随机抽取4株,其中优质树苗的株数为X,求X 的分布列和数学期望EX.附:参考公式与参考数据:K2 n(ad−bc) 2 ,其中n=a+b+c+d. = (a+b)(c+d)(a+c)(b+d) P 0.010 0.005 0.001 (K2≥k ) 0 k 6.635 7.879 10.828 0 2.2021年6月17日9时22分,我国酒泉卫星发射中心用长征2F遥十二运载火箭,成功 将神舟十二号载人飞船送入预定轨道,顺利将聂海胜、刘伯明、汤洪波3名航天员送入 太空,发射取得圆满成功,这标志着中国人首次进入自己的空间站.某公司负责生产的 A型材料是神舟十二号的重要零件,该材料应用前景十分广泛.该公司为了将A型材料 更好地投入商用,拟对A型材料进行应用改造、根据市场调研与模拟,得到应用改造投 入x(亿元)与产品的直接收益y(亿元)的数据统计如表: 序号 1 2 3 4 5 6 7 8 9 10 11 12 x 2 3 4 6 8 10 13 21 22 23 24 25 y 15 22 27 40 48 54 60 68.5 68 67.5 66 65 当0<x≤17时,建立了 y与x的两个回归模型:模型①:̂(cid:3) 4.1x+10.9,模型②: y= ̂(cid:3) 14.4;当x>17时,确定y与x满足的线性回归方程为̂(cid:3) ̂(cid:3) . y=21.3√x− y=−0.7x+a (1)根据下列表格中的数据,比较当0<x≤17时模型①,②的相关指数R2的大小, 并选择拟合精度更高、更可靠的模型,预测对 A型材料进行应用改造的投入为17亿元 时的直接收益; 回归模型 模型① 模型② 回归方程 ̂(cid:3) ̂(cid:3) y=4.1x+10.9 y=21.3√x− 14.4 7 ̂(cid:3) 79.13 20.2 ∑ (y −y ) 2 i i i=1(2)为鼓励科技创新,当应用改造的投入不少于20亿元时,国家给予公司补贴5亿元, 以回归方程为预测依据,根据(1)中选择的拟合精度更高更可靠的模型,比较投入17 亿元与20亿元时公司收益(直接收益+国家补贴)的大小. n ̂(cid:3) ∑ (y −y❑) 2 i i 附:刻画回归效果的指数R2=1 − i=1 ,且当R2越大时,回归方程的拟合 n ∑ (y −y) 2 i i=1 效果越好.√17≈4.1. 用最小二乘法求线性同归方程̂(cid:3) ̂(cid:3) ̂(cid:3) 的截距:̂(cid:3) ̂(cid:3) . y=bx+a a= y−bx 3.中国茶文化博大精深,已知茶水的口感与茶叶类型以及水温有关.经验表明,某种绿茶 用85℃的水泡制,再等到茶水温度降至60℃时饮用,可以产生最佳口感.某学习研究 小组通过测量,得到了下面表格中的数据(室温是20℃). 泡制时间x/min 0 1 2 3 4 水温y/℃ 85 79 74 71 65 ln(y﹣20) 4.2 4.1 4.0 3.9 3.8 (1)小组成员根据上面表格中的数据绘制散点图,并根据散点图分布情况,考虑到茶 水温度降到室温(即20℃)就不能再降的事实,决定选择函数模型y=kcx+20(x≥0) 来刻画. ①令z=ln(y﹣20),求出z关于x的线性回归方程; ②利用①的结论,求出y=kcx+20(x≥0,c>0)中的k与c. (2)你认为该品种绿茶用85℃的水大约泡制多久后饮用,可以产生最佳口感? 400 参考数据:log 0.6≈4.8,e−0.1≈0.9,e4.2≈66.7, ≈0.6. 0.9 667 n ∑ (x −x)(z −z) ̂(cid:3) i i 参考公式:̂(cid:3) ̂(cid:3) x ̂(cid:3) , b= i=1 ,̂(cid:3) ̂(cid:3) . z=b +a n a=z−bx ∑ (x −x) 2 i i=1 课后作业 . 统计案例 1.下列说法正确的是( ) A.在统计学中,回归分析是检验两个分类变量是否有关系的一种统计方法B.线性回归方程对应的直线̂(cid:3) ̂(cid:3) ̂(cid:3) 至少经过其样本数据点(x ,y ),(x , 1 1 2 y=bx+a y 2 ),⋯,(x n ,y n )中的一个点 C.在残差图中,残差点分布的带状区域的宽度越狭窄,其模型拟合的精度越高 D.在回归分析中,相关指数R2为0.95的模型比相关指数R2为0.78的模型拟合的效果 差 2.为了调查患胃病是否与生活不规律有关,在患胃病与生活不规律这两个分类变量的计算 中,下列说法正确的是( ) A.k越大,“患胃病与生活不规律没有关系”的可信程度越大. B.k越大,“患胃病与生活不规律有关系”的可信程度越小. C.若计算得K2≈3.918,经查临界值表知P(K2≥3.841)≈0.05,则在100个生活不规 律的人中必有95人患胃病. D.从统计量中得知有95%的把握认为患胃病与生活不规律有关,是指有5%的可能性 使得推断出现错误. 3.对某中学的高中女生体重y(单位:kg)与身高x(单位:cm)进行线性回归分析,根 据样本数据(x,y)(i=1,2,3,……,12),计算得到相关系数r=0.9962,用最 i i 小二乘法近似得到回归直线方程为̂(cid:3) 0.85x﹣85.71,则以下结论中正确的是( ) y= A.x与y正相关 B.x与y具有较强的线性相关关系,得到的回归直线方程有价值 C.若该中学某高中女生身高增加1cm,则其体重约增加0.85kg D.若该中学某高中女生身高为160cm,则可断定其体重为50.29kg 4.为研究女高中生身高与体重之间的关系,一调查机构从某中学中随机选取 8名女高中生, 其身高x(cm)和体重y(kg)数据如表所示: 编号 1 2 3 4 5 6 7 8 身高x/cm 164 160 158 172 162 162 174 166 体重y/kg 60 46 43 48 48 50 61 52 该调查机构绘制出该组数据的散点图后分析发现,女高中生的身高与体重之间有较强的 线性相关关系. (1)调查员甲计算得出该组数据的线性回归方程为̂(cid:3) ̂(cid:3) .请你据此预一名身高 y=0.7x+a为176cm的女高中生的体重; (2)调查员乙仔细观察散点图发现,这8名同学中,编号为1和4的两名同学对应的点 与其他同学对应的点偏差太大,于是提出这样的数据应剔除,请你按照这名调查人员的 想法重新计算线性回归方程,并据此预报一名身高为176cm的女高中生的体重; (3)请你分析一下,甲和乙谁的模型得到的预测值更可靠?说明理由. 附:对于一组数据(x ,y ),(x ,y ),(x ,y ),…,(x ,y ),其回归直线 1 1 2 2 3 3 n n n ∑ (x −x)(y −y) ̂(cid:3) i i ̂(cid:3) ̂(cid:3) ̂(cid:3) 的斜率和截距的最小二乘法估计分别为: b= i=1 , y=bx+a n ∑ (x −x) 2 i i=1 ̂(cid:3) ̂(cid:3) . a= y−bx 5.为了解高校学生平均每天使用手机的时间长短是否与性别有关,某调查小组随机抽取了 25名男生、10名女生进行为期一周的跟踪调查,调查结果如表所示: 平均每天使用手机>3小 平均每天使用手机≤3 合计 时 小时 男生 15 10 25 女生 3 7 10 合计 18 17 35 (Ⅰ)根据列联表判断,是否有90%的把握认为学生使用手机的时间长短与性别有关; (Ⅱ)在参与调查的平均每天使用手机不超过3小时的10名男生中,有6人使用国产手 机,从这10名男生中任意选取3人,求这3人中使用国产手机的人数X的分布列和数学 期望. p 0.400 0.250 0.150 0.100 0.050 0.025 (K2≥k ) 0 k 0.708 1.323 2.072 2.706 3.841 5.024 0 参考公式:K2 n(ad−bc) 2 (n=a+b+c+d) = (a+c)(b+d)(a+b)(c+d)