当前位置:首页>文档>专题25椭圆(七大题型模拟精练核心素养分析方法归纳)-(新高考专用)专题25椭圆(七大题型模拟精练)(解析版)_02高考数学_2025年新高考资料_一轮复习

专题25椭圆(七大题型模拟精练核心素养分析方法归纳)-(新高考专用)专题25椭圆(七大题型模拟精练)(解析版)_02高考数学_2025年新高考资料_一轮复习

  • 2026-05-01 12:34:40 2026-04-13 04:38:51

文档预览

专题25椭圆(七大题型模拟精练核心素养分析方法归纳)-(新高考专用)专题25椭圆(七大题型模拟精练)(解析版)_02高考数学_2025年新高考资料_一轮复习
专题25椭圆(七大题型模拟精练核心素养分析方法归纳)-(新高考专用)专题25椭圆(七大题型模拟精练)(解析版)_02高考数学_2025年新高考资料_一轮复习
专题25椭圆(七大题型模拟精练核心素养分析方法归纳)-(新高考专用)专题25椭圆(七大题型模拟精练)(解析版)_02高考数学_2025年新高考资料_一轮复习
专题25椭圆(七大题型模拟精练核心素养分析方法归纳)-(新高考专用)专题25椭圆(七大题型模拟精练)(解析版)_02高考数学_2025年新高考资料_一轮复习
专题25椭圆(七大题型模拟精练核心素养分析方法归纳)-(新高考专用)专题25椭圆(七大题型模拟精练)(解析版)_02高考数学_2025年新高考资料_一轮复习
专题25椭圆(七大题型模拟精练核心素养分析方法归纳)-(新高考专用)专题25椭圆(七大题型模拟精练)(解析版)_02高考数学_2025年新高考资料_一轮复习
专题25椭圆(七大题型模拟精练核心素养分析方法归纳)-(新高考专用)专题25椭圆(七大题型模拟精练)(解析版)_02高考数学_2025年新高考资料_一轮复习
专题25椭圆(七大题型模拟精练核心素养分析方法归纳)-(新高考专用)专题25椭圆(七大题型模拟精练)(解析版)_02高考数学_2025年新高考资料_一轮复习
专题25椭圆(七大题型模拟精练核心素养分析方法归纳)-(新高考专用)专题25椭圆(七大题型模拟精练)(解析版)_02高考数学_2025年新高考资料_一轮复习
专题25椭圆(七大题型模拟精练核心素养分析方法归纳)-(新高考专用)专题25椭圆(七大题型模拟精练)(解析版)_02高考数学_2025年新高考资料_一轮复习
专题25椭圆(七大题型模拟精练核心素养分析方法归纳)-(新高考专用)专题25椭圆(七大题型模拟精练)(解析版)_02高考数学_2025年新高考资料_一轮复习
专题25椭圆(七大题型模拟精练核心素养分析方法归纳)-(新高考专用)专题25椭圆(七大题型模拟精练)(解析版)_02高考数学_2025年新高考资料_一轮复习
专题25椭圆(七大题型模拟精练核心素养分析方法归纳)-(新高考专用)专题25椭圆(七大题型模拟精练)(解析版)_02高考数学_2025年新高考资料_一轮复习
专题25椭圆(七大题型模拟精练核心素养分析方法归纳)-(新高考专用)专题25椭圆(七大题型模拟精练)(解析版)_02高考数学_2025年新高考资料_一轮复习
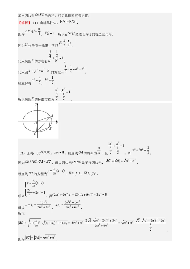
专题25椭圆(七大题型模拟精练核心素养分析方法归纳)-(新高考专用)专题25椭圆(七大题型模拟精练)(解析版)_02高考数学_2025年新高考资料_一轮复习
专题25椭圆(七大题型模拟精练核心素养分析方法归纳)-(新高考专用)专题25椭圆(七大题型模拟精练)(解析版)_02高考数学_2025年新高考资料_一轮复习
专题25椭圆(七大题型模拟精练核心素养分析方法归纳)-(新高考专用)专题25椭圆(七大题型模拟精练)(解析版)_02高考数学_2025年新高考资料_一轮复习
专题25椭圆(七大题型模拟精练核心素养分析方法归纳)-(新高考专用)专题25椭圆(七大题型模拟精练)(解析版)_02高考数学_2025年新高考资料_一轮复习
专题25椭圆(七大题型模拟精练核心素养分析方法归纳)-(新高考专用)专题25椭圆(七大题型模拟精练)(解析版)_02高考数学_2025年新高考资料_一轮复习
专题25椭圆(七大题型模拟精练核心素养分析方法归纳)-(新高考专用)专题25椭圆(七大题型模拟精练)(解析版)_02高考数学_2025年新高考资料_一轮复习
专题25椭圆(七大题型模拟精练核心素养分析方法归纳)-(新高考专用)专题25椭圆(七大题型模拟精练)(解析版)_02高考数学_2025年新高考资料_一轮复习
专题25椭圆(七大题型模拟精练核心素养分析方法归纳)-(新高考专用)专题25椭圆(七大题型模拟精练)(解析版)_02高考数学_2025年新高考资料_一轮复习
专题25椭圆(七大题型模拟精练核心素养分析方法归纳)-(新高考专用)专题25椭圆(七大题型模拟精练)(解析版)_02高考数学_2025年新高考资料_一轮复习
专题25椭圆(七大题型模拟精练核心素养分析方法归纳)-(新高考专用)专题25椭圆(七大题型模拟精练)(解析版)_02高考数学_2025年新高考资料_一轮复习
专题25椭圆(七大题型模拟精练核心素养分析方法归纳)-(新高考专用)专题25椭圆(七大题型模拟精练)(解析版)_02高考数学_2025年新高考资料_一轮复习
专题25椭圆(七大题型模拟精练核心素养分析方法归纳)-(新高考专用)专题25椭圆(七大题型模拟精练)(解析版)_02高考数学_2025年新高考资料_一轮复习
专题25椭圆(七大题型模拟精练核心素养分析方法归纳)-(新高考专用)专题25椭圆(七大题型模拟精练)(解析版)_02高考数学_2025年新高考资料_一轮复习
专题25椭圆(七大题型模拟精练核心素养分析方法归纳)-(新高考专用)专题25椭圆(七大题型模拟精练)(解析版)_02高考数学_2025年新高考资料_一轮复习
专题25椭圆(七大题型模拟精练核心素养分析方法归纳)-(新高考专用)专题25椭圆(七大题型模拟精练)(解析版)_02高考数学_2025年新高考资料_一轮复习
专题25椭圆(七大题型模拟精练核心素养分析方法归纳)-(新高考专用)专题25椭圆(七大题型模拟精练)(解析版)_02高考数学_2025年新高考资料_一轮复习
专题25椭圆(七大题型模拟精练核心素养分析方法归纳)-(新高考专用)专题25椭圆(七大题型模拟精练)(解析版)_02高考数学_2025年新高考资料_一轮复习
专题25椭圆(七大题型模拟精练核心素养分析方法归纳)-(新高考专用)专题25椭圆(七大题型模拟精练)(解析版)_02高考数学_2025年新高考资料_一轮复习
专题25椭圆(七大题型模拟精练核心素养分析方法归纳)-(新高考专用)专题25椭圆(七大题型模拟精练)(解析版)_02高考数学_2025年新高考资料_一轮复习
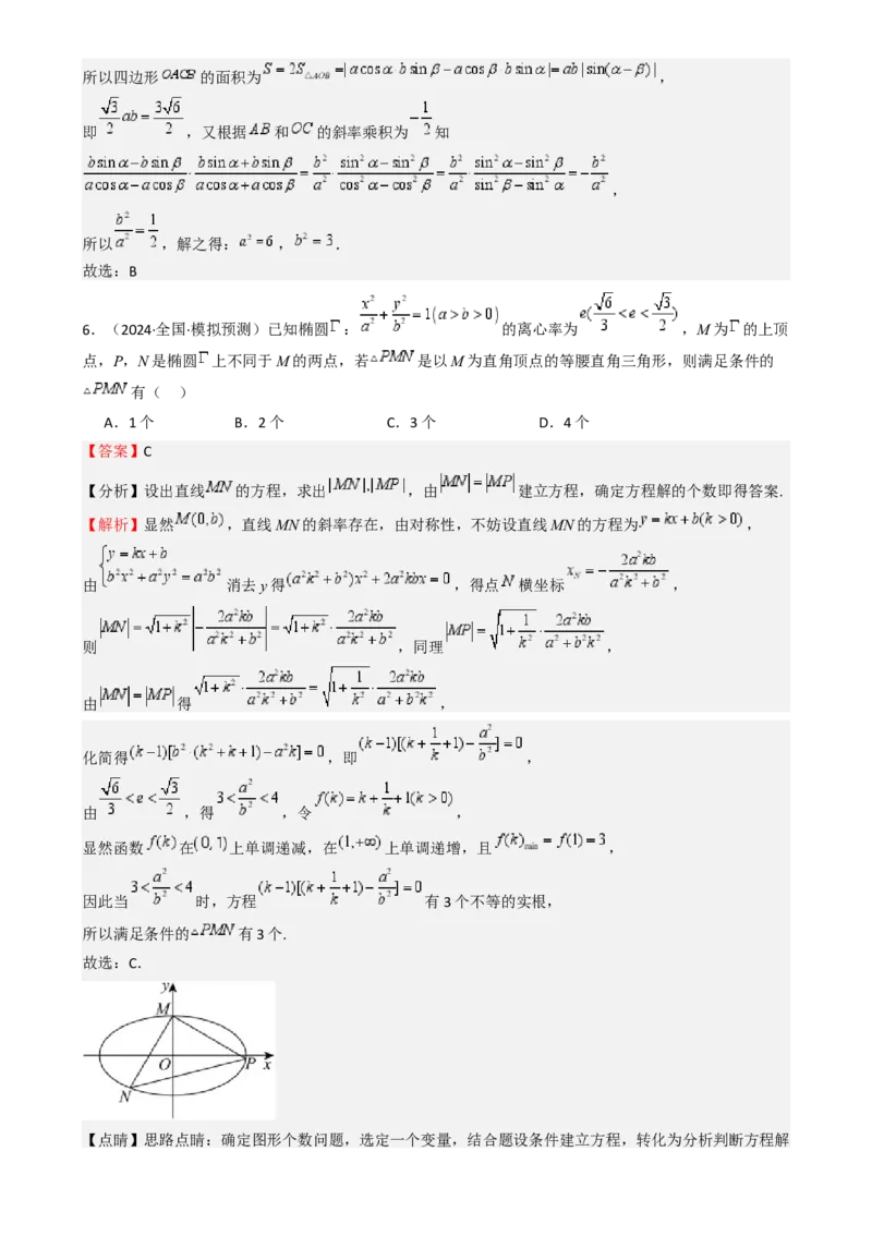
专题25椭圆(七大题型模拟精练核心素养分析方法归纳)-(新高考专用)专题25椭圆(七大题型模拟精练)(解析版)_02高考数学_2025年新高考资料_一轮复习
专题25椭圆(七大题型模拟精练核心素养分析方法归纳)-(新高考专用)专题25椭圆(七大题型模拟精练)(解析版)_02高考数学_2025年新高考资料_一轮复习
专题25椭圆(七大题型模拟精练核心素养分析方法归纳)-(新高考专用)专题25椭圆(七大题型模拟精练)(解析版)_02高考数学_2025年新高考资料_一轮复习
专题25椭圆(七大题型模拟精练核心素养分析方法归纳)-(新高考专用)专题25椭圆(七大题型模拟精练)(解析版)_02高考数学_2025年新高考资料_一轮复习
专题25椭圆(七大题型模拟精练核心素养分析方法归纳)-(新高考专用)专题25椭圆(七大题型模拟精练)(解析版)_02高考数学_2025年新高考资料_一轮复习
专题25椭圆(七大题型模拟精练核心素养分析方法归纳)-(新高考专用)专题25椭圆(七大题型模拟精练)(解析版)_02高考数学_2025年新高考资料_一轮复习
专题25椭圆(七大题型模拟精练核心素养分析方法归纳)-(新高考专用)专题25椭圆(七大题型模拟精练)(解析版)_02高考数学_2025年新高考资料_一轮复习
专题25椭圆(七大题型模拟精练核心素养分析方法归纳)-(新高考专用)专题25椭圆(七大题型模拟精练)(解析版)_02高考数学_2025年新高考资料_一轮复习
专题25椭圆(七大题型模拟精练核心素养分析方法归纳)-(新高考专用)专题25椭圆(七大题型模拟精练)(解析版)_02高考数学_2025年新高考资料_一轮复习
专题25椭圆(七大题型模拟精练核心素养分析方法归纳)-(新高考专用)专题25椭圆(七大题型模拟精练)(解析版)_02高考数学_2025年新高考资料_一轮复习
专题25椭圆(七大题型模拟精练核心素养分析方法归纳)-(新高考专用)专题25椭圆(七大题型模拟精练)(解析版)_02高考数学_2025年新高考资料_一轮复习
专题25椭圆(七大题型模拟精练核心素养分析方法归纳)-(新高考专用)专题25椭圆(七大题型模拟精练)(解析版)_02高考数学_2025年新高考资料_一轮复习
专题25椭圆(七大题型模拟精练核心素养分析方法归纳)-(新高考专用)专题25椭圆(七大题型模拟精练)(解析版)_02高考数学_2025年新高考资料_一轮复习
专题25椭圆(七大题型模拟精练核心素养分析方法归纳)-(新高考专用)专题25椭圆(七大题型模拟精练)(解析版)_02高考数学_2025年新高考资料_一轮复习
专题25椭圆(七大题型模拟精练核心素养分析方法归纳)-(新高考专用)专题25椭圆(七大题型模拟精练)(解析版)_02高考数学_2025年新高考资料_一轮复习
专题25椭圆(七大题型模拟精练核心素养分析方法归纳)-(新高考专用)专题25椭圆(七大题型模拟精练)(解析版)_02高考数学_2025年新高考资料_一轮复习

文档信息

文档格式
docx
文档大小
1.320 MB
文档页数
45 页
上传时间
2026-04-13 04:38:51

文档内容

专题 25 椭圆(七大题型+模拟精练) 目录: 01 椭圆的定义 02 椭圆的标准方程 03 椭圆的焦点、焦距、离心率等 04 直线与椭圆 05 焦点弦、弦长问题 06 中点弦问题 07 椭圆的综合应用 01 椭圆的定义 1.已知 是椭圆 : 上一点, , 分别为 的左、右焦点,则 ( ) A.8 B.6 C.4 D.3 【答案】A 【分析】直接根据椭圆的定义可求得答案. 【解析】由椭圆的定义可知, . 故选:A. 2.已知 分别是椭圆 的左、右焦点, 为 上一点,若 ,则 ( ) A.2 B.3 C.5 D.6 【答案】C 【分析】根据椭圆的定义可得 ,求解即可. 【解析】由椭圆 ,可得 ,所以 , 因为 分别是椭圆 的左、右焦点, 为 上一点, 所以 ,又 ,所以 . 故选:C. 3.已知 、 ,动点 满足 ,则点 的轨迹是 ( ) A.椭圆 B.圆 C.直线 D.线段 【答案】D 【分析】 由已知可得出 ,分析可得结果. 【解析】因为 、 ,动点 满足 , 所以点 的轨迹为线段 .故选:D. 4.已知点 为椭圆 上一点, 为该椭圆的两个焦点,若 ,则 ( ) A.1 B.5 C.7 D.13 【答案】B 【分析】根据椭圆的定义直接计算即可. 【解析】因为椭圆方程为 , 所以 ,又 所以 , 故 , 故选: . 5.已知点 , 分别是椭圆 的左、右焦点,点P在此椭圆上,则 的周长等于( ) A.16 B.20 C.18 D.14 【答案】A 【分析】 根据给定的椭圆方程,求出长轴长及焦距即可. 【解析】椭圆 的长半轴长 ,短半轴长 ,半焦距 , 由椭圆定义知 ,焦距 , 所以 的周长等于 . 故选:A 02 椭圆的标准方程 6.已知椭圆的中心在原点,以坐标轴为对称轴,且经过两点 , ,则椭圆的标准方程 为 . 【答案】 【分析】可设椭圆方程,再利用待定系数法来求解即可. 【解析】根据题意,可设椭圆的标准方程为 , 代入两点得: ,解得: , 所以椭圆的标准方程为 ,故答案为: . 7.若抛物线 的焦点是椭圆 的一个顶点,则 的值为 【答案】8 【分析】分别求出抛物线的焦点和椭圆的右顶点坐标,得 ,即可求解. 【解析】因为抛物线 ( )的焦点为 , 且椭圆 的右顶点为 , 由题意可得: ,解得 . 故答案为:8. 8.若 为椭圆 上一点, , 为 的两个焦点,且 ,则 . 【答案】 【分析】根据椭圆的定义得到 ,再由平方差公式求出 ,即可求出 . 【解析】对于椭圆 ,则 ,所以 , 所以 ①, 又 ,即 , 所以 ②, 由①②解得 . 故答案为: 9.已知 为椭圆 的两焦点,P为椭圆C上一点,若 的最大值为3,且焦距 为2,则椭圆C的方程为 【答案】 【分析】根据椭圆的性质,即可列式求解. 【解析】设椭圆C的焦距为2c,由题意知 ,从而 又因为 的最大值为 ,所以 ,解得 ,则 , 从而椭圆C的方程为故答案为: 10.经过椭圆M: 的左焦点和上顶点的直线记为l.若椭圆M的中心到直线l的距离等 于2,且短轴长是焦距的2倍,则椭圆M的方程为 . 【答案】 【分析】根据直线的截距式方程,结合点到直线距离公式进行求解即可. 【解析】因为经过椭圆M: 的左焦点和上顶点的直线记为l, 所以直线l的方程可设为 , 因为圆M的中心到直线l的距离等于2, 所以 , 因为短轴长是焦距的2倍,所以 , 因此有 , 所以椭圆M的方程为 , 故答案为: 11.设 为椭圆 的两个焦点, 为 上一点且在第二象限.若 为等腰三角形, 则点 的坐标为 . 【答案】 【分析】 先根据方程求 ,由题意分析可得 ,列方程求解即可. 【解析】由题意可知: , 设 , 因为 为 上一点且在第二象限,则 , , 又因为 为等腰三角形,且 ,则 ,即 ,解得 , 所以点 的坐标为 . 故答案为: , 12.已知F为椭圆 的右焦点,P为C上的一点,若 ,则点P的坐标为 . 【答案】 【分析】设出点P的坐标,由两点间的距离公式及点在椭圆上,即求. 【解析】由题意, ,设 ,则 , 解得 ,即 . 故答案为: . 03 椭圆的焦点、焦距、离心率等 13.已知椭圆 的左、右焦点为 ,右顶点为 为 上一动点(不与左、右 顶点重合),设 的周长为 ,若 ,则 的离心率为 . 【答案】 【分析】根据已知条件列方程,求得 与 的关系式,从而求得双曲线的离心率. 【解析】依题意, ,则 , 所以离心率 . 故答案为:14.已知椭圆C的左焦点为F,右顶点为A,上顶点为B,若 为等腰三角形,则C的离心率为 . 【答案】 【分析】利用椭圆的性质计算即可. 【解析】不妨设椭圆的长轴、短轴、焦距分别为 , 则 ,且根据椭圆的性质易知 , 所以 , 显然若 为等腰三角形,则只能有 , 即 , 则 . 故答案为: 15.已知椭圆 的上顶点为 ,左焦点为 ,线段 的中垂线与 交于 两点,则 的周长为 . 【答案】 【分析】设椭圆的右焦点为 ,连接 , , ,依题意可得 为等边三角形,从而得到直 线 过 ,再根据线段垂直平分线的性质及椭圆的定义计算可得. 【解析】设椭圆的右焦点为 ,连接 , , , 依题意可得长半轴长 ,半焦距 ,且 , 所以 为等边三角形,则直线 过 , 所以,即 的周长为 . 故答案为: 16.已知椭圆 的左、右焦点分别为 为 上一动点,则 的取值范围是 . 【答案】 【分析】先根据椭圆 、 、 之间的关系,求出 ,再根据椭圆的定义,把 换成 , 最后根据 ,代入即可. 【解析】设椭圆 的半焦距为 ,则 , , 因为 ,即 , 所以 ,即 . 故答案为: . 17.已知 分别为椭圆 的左、右焦点, 为椭圆上一点且 ,则 的面积为 . 【答案】 【分析】根据椭圆的定义求得 三边长,根据三角形面积公式求解即可. 【解析】由椭圆 可知 , 故 ,结合 , 可得 ,而 , 故 为等腰三角形,其面积为 .故答案为: . 18.已知椭圆 的两个焦点 , ,点 在椭圆上,且 ,则 . 【答案】40 【分析】根据余弦定理,结合椭圆定义即可求解. 【解析】由题意可得 , 在 中, ,由余弦定理, 得 , 得 , 得 , 所以 . 故答案为:40. 19.已知椭圆 的左、右焦点分别为 ,上顶点为 ,过 作 的垂线,与 轴交于点 ,若 ,则椭圆 的离心率为 . 【答案】 /0.5 【分析】设 , ,得到直线 的方程为 ,解得 ,再利用勾股定理即可求 解. 【解析】设 , , ,则直线 的斜率为 ,直线 的斜率为 , 直线 的方程为 , 令 ,得 ,即 , 因为 ,所以 , 即 ,解得 . 故答案为: 20.已知椭圆 : 的离心率为 ,F是椭圆C的右焦点,P为椭圆C上任意一点, 的最大值为 .设点 ,则 的最小值为 . 【答案】 / 【分析】首先根据题目条件求出 和 ,然后根据椭圆定义进行转换,求出 的最小值. 【解析】设椭圆C的半焦距为c,由题意,得 , ,所以 , . 设椭圆C的左焦点为 ,则 , 所以 . 故答案为: . 21.已知椭圆 : 的左、右焦点分别为 , ,长轴长为 ,过点 且斜率为 的直线与椭圆 交于点 ,且 ,则 = . 【答案】 或 【分析】本题先是利用直线的斜率求出 ,再由 以及椭圆定义求出 的长, 最后利用余弦定理即可求得结果. 【解析】直线 的斜率为 , , ; 又 ,设 , ,又 , ; 在 中,由余弦定理得 , 整理得 ,解得 或 .当 时, ; 当 时, . 故答案为: 或 . 22.已知直线 : 与椭圆 : 有公共点,则 的取值范围是( ) A. B. C. D. 【答案】B 【分析】联立直线与椭圆的方程,令判别式大于0求解即可. 【解析】将直线 的方程与椭圆 的方程联立,得 ,消去 得 ①, 因为直线 与椭圆 有公共点,所以方程①有实数根,则 ,得 . 故选:B. 04 直线与椭圆 23.直线l: 与椭圆C: 的位置关系是( ) A.相交 B.相切 C.相离 D.不能确定 【答案】A 【分析】判断出直线过定点,且定点在椭圆内可得答案. 【解析】将直线l: 变形为l: , 由 得 ,于是直线l过定点 , 而 ,于是点 在椭圆C: 内部, 因此直线l: 与椭圆C: 相交. 故选:A. 24.已知直线 与椭圆 恒有公共点,则实数m的取值范围( ) A. B.C. D. 【答案】C 【分析】根据直线 所过定点以及方程 表示椭圆来求得 的取值范围. 【解析】直线 过定点 , 所以 ,解得 ①. 由于方程 表示椭圆,所以 且 ②. 由①②得 的取值范围是 . 故选:C 25.若直线 和圆 没有交点,则过点 的直线与椭圆 的交点个 数为( ) A.0个 B.至多有一个 C.1个 D.2个 【答案】D 【分析】根据题意得到 ,求得点 是以原点为圆心, 为半径的圆及其内部的点,根据 圆 内切于椭圆,得到点 是椭圆内的点,即可求解. 【解析】因为直线 和圆 没有交点, 可得 ,即 , 所以点 是以原点为圆心, 为半径的圆及其内部的点, 又因为椭圆 ,可得 , 所以圆 内切于椭圆,即点 是椭圆 内的点, 所以点 的一条直线与椭圆的公共点的个数为 . 故选:D. 05 焦点弦、弦长问题 26.椭圆 的焦点为 、 ,点 在椭圆上且 轴,则 到直线 的距离为( ) A. B.3 C. D. 【答案】A 【分析】先求出 、 的坐标,再由 轴,可求出 ,再由勾股定理可求出 ,然后利用等 面积法可求得结果.【解析】由 ,得 , 所以 , 所以 , , 当 时, ,解得 , 因为 轴,所以 , 所以 , 设 到直线 的距离为 , 因为 ,所以 , 解得 , 故选:A 27.已知椭圆 的左、右顶点分别是 是坐标原点, 在椭圆 上,且 ,则 的面积是( ) A. B.4 C. D.8 【答案】A 【分析】设出点 ,利用条件直接求出点 纵坐标的绝对值,又易知 ,从而可求出结果. 【解析】设 ,因点 在椭圆上,且 ,则有 ,消去 ,得到 ,所以 , 又 ,故 的面积是 . 故选:A.28.已知斜率为1的直线 过椭圆 的右焦点,交椭圆于 两点,则弦 的长为( ) A. B. C. D. 【答案】C 【分析】根据题意求得直线l的方程,设 ,联立直线与椭圆的方程,利用韦达定理求得 ,再利用弦长公式即可得出答案. 【解析】解:由椭圆 得, ,所以 , 所以右焦点坐标为 ,则直线 的方程为 , 设 , 联立 ,消y得, , 则 , 所以 . 即弦 长为 . 故选:C. 29.过椭圆 的一个焦点 作弦 ,若 , ,则 的数值为 ( ) A. B. C. D.与弦 斜率有关 【答案】B 【分析】不妨设 为椭圆的右焦点, , ,利用椭圆的右焦半径公式 , , 联立直线与椭圆方程,结合韦达定理,将式子化简整理可得. 【解析】令 ,设 , , 当直线 的斜率不存在时,直线 的方程为 , 由 ,解得 ,则 ,所以 ; 当直线 的斜率存在时,设直线 的方程为 ,由 ,整理得: , 所以 , , 又 , ,所以 , 综上, . 故选:B. 30.已知F1 ,F2 分别是椭圆 的左,右焦点,点A,B是椭圆C上异于长轴端点的两点,且 满足 ,则下列结论错误的是( ) A. ABF2 的周长为定值 B.AB的长度最小值为2 C.若△ AB AF2 ,则 D.λ的取值范围是 【答案】D ⊥ 【分析】根据椭圆的定义结合椭圆焦点弦的几何意义,可判断A,B两个选项,再设直线 的方程与椭圆 方程联立.利用韦达定理求解参数 的值或取值范围,即可判断CD选项. 【解析】因为 ,所以 , , 三点共线, 周长 是定值, 所以A正确. △ 根据椭圆的性质知,当 时,此时经过焦点的弦最短,故 ,所以B正确. (证明如下:设 , , , , . 联立 ,整理得 ,即 , , , 由于 ,所以 ,当且仅当 时, 取最小值2,此时 ), 因为 , 在上下顶点处,不妨设 ,则 ,联立得 . 解得 或 , , ,所以C正确.设 , , , , . 联立 ,整理得 . 即 , , , 当 时, .当 时, , 所以 ,所以D错误. 故选:D. 06 中点弦问题 31.已知过椭圆 左焦点F且与长轴垂直的弦长为 ,过点 且斜率为-1的 直线与 相交于 两点,若 恰好是 的中点,则椭圆 上一点 到 的距离的最大值为( ) A.6 B. C. D. 【答案】D 【分析】由过椭圆左焦点F且与长轴垂直的弦长为 ,可得 ;由过点 且斜率为-1的直 线与 相交于 两点,且 恰好是 的中点,可得 .综上可得 ,后可得答案. 【解析】由题可得 ,其中 ,且 . 又由椭圆对称性可知,在 正上方且位于椭圆上的点到F距离为 ,即此点坐标为 . 将其代入椭圆方程有: ,又 ,可知 ; 设 ,因过点 且斜率为-1的直线与 相交于 两点,且 恰好是 的中点,则 . 又A,B两点在椭圆上,则 . 两式相减得: 又 ,得 . 又 ,则 ,又 ,且 ,则 . 故椭圆方程为: , .设 ,其中 . 则 . .因 , 有 ,当且仅当 ,即M为椭圆右顶点时取等号. 则椭圆 上一点 到 的距离的最大值为 . 故选:D 32.已知椭圆 , 是椭圆 的一条弦 的中点,点 在直线 上,则椭圆的离心率为( ) A. B. C. D. 【答案】C 【分析】根据给定条件,求出直线 的方程,与椭圆 的方程联立结合韦达定理求出 的关系计算即 得. 【解析】依题意,直线 的斜率 ,直线 的方程为 ,即 , 由 消去 并整理得: , 则 ,即 ,设 ,则 ,而弦 的中点为 ,即 , 于是 ,解得 ,此时 所以椭圆 的离心率 . 故选:C 33.不与坐标轴垂直的直线 过点 , ,椭圆 上存在两点 关于 对称,线段 的中点 的坐标为 .若 ,则 的离心率为( ) A. B. C. D. 【答案】C 【分析】根据点差法求出 ,再结合 进行计算得出结果. 【解析】设 为坐标原点,在椭圆 中,设 ,则 , 所以 , 因为 关于 对称,所以 ,所以 , 由线段 的中点 的坐标为 ,得出 . 所以 , 又 , ,即 , ∴ 又 , ,所以所求离心率为 . 故选:C. ∴ 34.已知椭圆 的离心率为 ,过点 的直线与椭圆C交于A,B两点,且 满足 ,若M为直线AB上任意一点,O为坐标原点,则 的最小值为( ) A.1 B. C.2 D. 【答案】B 【分析】根据离心率求椭圆方程,由已知得 为线段 中点,根据弦中点求直线斜率并写出直线方程,最后由点线距离公式求 最小值. 【解析】由题设, ,即 ,可得 , 过 的直线与椭圆C交A,B且满足 ,则 为线段 中点, 所以 , ,又 , , 则 ,即 , 所以 ,故直线 为 ,即 , 所以 最小值为 . 故选:B 35.椭圆 ,M,N是椭圆上关于原点对称的两动点,P为椭圆上任意一点,直线 , 的斜 率分别为 , ,则 的最小值为( ) A. B. C. D. 【答案】A 【分析】设出 的坐标,求得 的关系式,利用基本不等式求得正确答案. 【解析】设 , 则 , 两式相减并化简得 , 而 ,所以 , 所以 , 当且仅当 时等号成立. 故选:A 36.已如椭圆 的左,右两焦点分别是 ,其中 ,直线 与椭圆交于A,B两点.则下列说法中正确的有( ) A.若 ,则B.若 的中点为M,则 C. 的最小值为 D. ,则椭圆的离心率的取值范围是 【答案】B 【分析】依题意,l过椭圆的左焦点,作图,逐项分析即可. 【解析】 依题意,l过 ,作上图, 对于A,由椭圆的定义知: ,错误; 对于B,联立方程 ,得 , 由韦达定理得: , 所以 ,正确; 对于C,显然,当 轴时, 最短,此时 , 但由于k是存在的, 不会垂直于x轴,不存在最小值,错误; 对于D,设 ,则有 , ,即A点在以原点为圆心,2c为半径的圆上, 因此,原题等价于 有解,解得 ,则必有 , 即 ,即 ,错误; 故选:B. 07 椭圆的综合应用 37.已知椭圆 的右焦点为 ,且该椭圆过点 ,直线l交椭圆E于A,B两点. (1)求椭圆E的方程; (2)若AB的中点坐标为 ,求直线l的方程; (3)若直线l方程为 ,过A、B作直线 的垂线,垂足分别为P、Q,点R为线段 PQ的中点,求证:四边形ARQF为梯形. 【答案】(1) (2) (3)证明见解析 【分析】(1)根据已知条件求得 ,从而求得椭圆 的方程. (2)利用点差法求得直线 的斜率,进而求得直线 的方程. (3)联立直线 的方程和椭圆 的方程,化简写出根与系数关系,计算 ,以及AF与RQ,从 而判断出四边形ARQF为梯形. 【解析】(1)由题得 , 将 代入 得: , 椭圆E的方程为 . (2)设 ,则 , 且 , 两式相减得: ,可得 , l方程为 ,即 . (3)由 得: ,且 ,, , ∴ 又直线 的斜率存在,AF与RQ不平行, 四边形ARQF为梯形. ∴ 【点睛】关键点点睛:根据已知条件求得 , 和 是两个未知参数,要求出两个参数的值,需要两个 已知条件,如本题中“椭圆的右焦点以及椭圆所过点”两个已知条件,再结合 即可求得 , 从而求得椭圆的标准方程. 38.已知椭圆 ,直线 与椭圆 相交于 两点, 为线段 的中点. (1)设直线 的斜率为 ,已知 ,求证: ; (2)直线 不与坐标轴重合且经过 的左焦点 ,直线 与椭圆 相交于 两点,且 ,求直线 的方程. 【答案】(1)证明见解析 (2) 【分析】(1)利用点差法表示直线 和直线 的斜率关系,再利用点 在椭圆内,建立不等式,即 可求解; (2)首先设直线 的方程,与椭圆方程联立,利用韦达定理表示弦长 ,以及点 的坐标,并得到 直线 的方程,并求解弦长 ,根据条件得到 代入公式,即可求解. 【解析】(1)设 , 由 ,得 ,变形得 , 即 ,故 ,又 ,解得 ,故 . (2)由题意,直线 不与 轴重合,设直线 的方程为 ,联立 ,得 , , 设 ,则 , 可得 . , 则弦 的中点 的坐标为 , 故 的方程为 .联立 ,得 , 由对称性,不妨设 ,则 ,其中 . 可得 . 由题意 , 且 , 故 ,即 代入 ,得 , 解得 ,故直线 的方程为 . 【点睛】关键点点睛:本题第二问的关键是将条件等式转化为 ,从而利用韦达定 理表示弦长 和 . 39.已知椭圆 的焦距为2,不经过坐标原点 且斜率为1的直线 与 交于P,Q两 点, 为线段PQ的中点,直线 的斜率为 . (1)求椭圆 的方程; (2)设 ,直线PB与 的另一个交点为 ,直线QB与 的另一个交点为 ,其中 , 均不为椭 圆 的顶点,证明:直线MN过定点. 【答案】(1) (2)证明见解析 【分析】(1)根据焦距求出 ,再设 , , ,利用点差法得到 ,即 ,从而求出 、 ,即可得解; (2)设直线 的方程为 , , ,表示直线 的方程,联立直线与椭圆方 程,消元求出 ,即可求出 点坐标,同理得到 点坐标,根据 的斜率为 得到 ,即可求 出直线 过定点坐标. 【解析】(1)由椭圆 的焦距为 得, ,则 . 设 , , ,则 , , 两式作差得, , 所以 ,即 , 所以 ,所以 , 所以 ,则 ,解得 , . 故椭圆 的方程为 . (2)由题意可知直线 的斜率存在,设直线 的方程为 , , ,则 ,直线 的方程为 , 将其代入 得, ,显然 , 则 ,所以 , 将 代入直线 的方程,解得 , 所以 ,同理得 , 所以 ,得 , 即 , 整理得 ,所以 , 因此直线 的方程为 ,令 ,即 ,则 , 所以直线 过定点 . 【点睛】方法点睛:求解直线过定点问题常用方法如下: (1)“特殊探路,一般证明”:即先通过特殊情况确定定点,再转化为有方向、有目的的一般性证明; (2)“一般推理,特殊求解”:即设出定点坐标,根据题设条件选择参数,建立一个直线系或曲线的方 程,再根据参数的任意性得到一个关于定点坐标的方程组,以这个方程组的解为坐标的点即为所求点; (3)求证直线过定点 ,常利用直线的点斜式方程 或截距式 来证明. 一、单选题 1.(2024·陕西西安·模拟预测)若椭圆 的长轴长为 ,则 ( ) A. B. C. D.【答案】B 【分析】根据椭圆方程确定焦点位置,求出 值,依题得到 的值,利用二倍角公式计算即得 的值. 【解析】由题意,椭圆焦点在 轴上,且 ,则 ,即 , 于是, . 故选:B. 2.(2024·江苏南京·二模)设 分别为椭圆 的左,右焦点, 为椭圆上一点, 直线 与以 为圆心、 为半径的圆切于点 为坐标原点 ,且 ,则椭圆 的离心率为 ( ) A. B. C. D. 【答案】B 【分析】根据直线与圆相切,利用勾股定理可以求出 的长度,进而通过 ,可以得到 的 长度,再次应用勾股定理,求出 的长度,最后根据 为椭圆上一点,运用椭圆的定义,结合椭圆离 心率公式进行求解即可. 【解析】由题意, , , 因为直线 与以 为圆心、 为半径的圆切, 所以 , 因此由勾股定理可知 , 又 ,所以 ,因此 , 由勾股定理可得 , 根据椭圆定义, , . 故选:B3.(2024·青海海西·模拟预测)已知椭圆 的左、右焦点分别为 ,过点 的射线分别与 椭圆 和圆 相交于点 ,过点 作 ,垂足为 为坐标原点,则 ( ) A. B. C.2 D. 【答案】C 【分析】根据题意,得到 ,由椭圆的定义得到 ,则 ,得到 为 的中 点,结合中位线定理,即可求解. 【解析】由椭圆 ,可得 ,则 , 又由圆 可化为 ,可得圆心 ,半径 ,则 , 根据椭圆的定义,可得 ,则 , 因为 ,可得 为 的中点, 又因为 为 的中点,可得 . 故选:C. 4.(2024·浙江绍兴·三模)已知 , 为曲线 : 的焦点,则下列说法错误的是 ( ) A.若 ,则曲线 的离心率 B.若 ,则曲线 的离心率 C.若曲线 上恰有两个不同的点 ,使得 ,则 D.若 ,则曲线 上存在四个不同的点 ,使得 【答案】C 【分析】根据给定的方程,结合椭圆、双曲线的性质逐项分析判断即可得解.【解析】对于A,当 时,曲线 是椭圆,离心率 ,A正确; 对于B,当 时,曲线 是双曲线,离心率 ,B正确; 对于C,当 时,曲线 是椭圆,其短半轴长 ,半焦距 , 显然以线段 为直径的圆恰过这个椭圆短轴端点,即符合条件的 可以是8,C错误; 对于D,当 时,则曲线是焦点在x上的双曲线,则 , 以线段 为直径的圆与双曲线有4个交点,即符合条件的点 有4个,D正确. 故选:C 5.(2023·安徽合肥·三模)已知 为坐标原点,椭圆 : ,平行四边形 的三 个顶点A, , 在椭圆 上,若直线 和 的斜率乘积为 ,四边形 的面积为 ,则椭圆 的方程为( ) A. B. C. D. 【答案】B 【分析】 利用三角换元设 , ,代入椭圆方程可得 ,再根据三角形面 积的向量公式及斜率之积计算即可. 【解析】 先证三角形面积公式的向量形式:在 中, , 则 ,而 设 , ,由题意可知; , 所以 , 将 坐标代入椭圆方程有 , 则所以四边形 的面积为 , 即 ,又根据 和 的斜率乘积为 知 , 所以 ,解之得: , . 故选:B 6.(2024·全国·模拟预测)已知椭圆 : 的离心率为 ,M为 的上顶 点,P,N是椭圆 上不同于M的两点,若 是以M为直角顶点的等腰直角三角形,则满足条件的 有( ) A.1个 B.2个 C.3个 D.4个 【答案】C 【分析】设出直线 的方程,求出 ,由 建立方程,确定方程解的个数即得答案. 【解析】显然 ,直线MN的斜率存在,由对称性,不妨设直线MN的方程为 , 由 消去y得 ,得点 横坐标 , 则 ,同理 , 由 得 , 化简得 ,即 , 由 ,得 ,令 , 显然函数 在 上单调递减,在 上单调递增,且 , 因此当 时,方程 有3个不等的实根, 所以满足条件的 有3个. 故选:C. 【点睛】思路点睛:确定图形个数问题,选定一个变量,结合题设条件建立方程,转化为分析判断方程解的个数作答. 7.(2023·江西九江·二模)青花瓷又称白地青花瓷,常简称青花,中华陶瓷烧制工艺的珍品,是中国瓷 器的主流品种之一,属釉下彩瓷.如图为青花瓷大盘,盘子的边缘有一定的宽度且与桌面水平,可以近似 看成由大小两个椭圆围成.经测量发现两椭圆的长轴长之比与短轴长之比相等.现不慎掉落一根质地均匀的 长筷子在盘面上,恰巧与小椭圆相切,设切点为 ,盘子的中心为 ,筷子与大椭圆的两交点为 、 , 点 关于 的对称点为 .给出下列四个命题: ①两椭圆的焦距长相等; ②两椭圆的离心率相等; ③ ; ④ 与小椭圆相切. 其中正确的个数是( ) A. B. C. D. 【答案】B 【分析】设大、小椭圆的长轴长之比与短轴长之比均为 ,设点 、 、 ,建立平面直角坐标系,利用椭圆的几何性质可判断①②;利用直线与椭圆的位置关系,结合韦达定理 可判断③的正误;取 以及 ,可判断④的正误. 【解析】设大、小椭圆的长轴长之比与短轴长之比均为 , 设点 、 、 , 以椭圆的中心为坐标原点,椭圆的长轴、短轴所在直线分别为 、 轴建立如下图所示的平面直角坐标 系, 设小椭圆的方程为 , 则大椭圆的方程为 , 对于①,大椭圆的焦距长为 ,两椭圆的焦距不相等,①错;对于②,大椭圆的离心率为 ,则两椭圆的离心率相等,②对; 对于③,当直线 与坐标轴垂直时,则点 、 关于坐标轴对称,此时点 为线段 的中点,合乎题 意, 当直线 的斜率存在且不为零时,设直线 的方程为 , 联立 可得 , ,可得 , 此时, , 联立 可得 , 由韦达定理可得 ,即点 为线段 的中点, 综上所述, ,③对; 对于④,当点 的坐标为 时,将 代入 可得 , 不妨取点 、 ,则 , 若 ,则直线 的方程为 ,此时直线 与椭圆不相切,④错. 故选:B. 【点睛】方法点睛:解决中点弦的问题的两种方法: (1)韦达定理法:联立直线与曲线的方程,消去一个未知数,利用一元二次方程根与系数的关系以及中 点坐标公式解决; (2)点差法:设出交点坐标,利用交点在曲线上,坐标满足方程,将交点坐标代入曲线方程,然后作 差,构造出中点坐标和斜率关系求解. 8.(2024·湖南长沙·二模)设椭圆 与双曲线 有相同 的焦距,它们的离心率分别为 , ,椭圆 的焦点为 , , , 在第一象限的交点为 ,若点 在直线 上,且 ,则 的值为( ) A.2 B.3 C. D. 【答案】A 【分析】设椭圆与双曲线相同的焦距为 ,先根据题意得出点P的坐标 ,再将点P分 别代入椭圆和双曲线的方程中,求离心率,即可得解. 【解析】设椭圆与双曲线相同的焦距为 ,则 ,又 ,所以 , 又点P在第一象限,且在直线 上, 所以 ,又点P在椭圆上, 所以 ,即 , 整理得 ,两边同时除以 ,得 , 解得 ,因为 ,所以 , 同理可得点P在双曲线上,所以 ,即 , 解得 , 所以 , 故选:A. 二、多选题 9.(2024·四川·一模)已知椭圆 的左顶点为 ,左、右焦点分别为 ,过点 的直线与 椭圆相交于 两点,则( ) A. B. C.当 不共线时, 的周长为 D.设点 到直线 的距离为 ,则 【答案】BCD 【分析】根据椭圆方程、焦点弦性质和椭圆定义可知ABC正误;设 ,结合两点间距离公式和点在椭圆上可化简求得D正确. 【解析】 对于A,由题意知: , , , ,A错误; 对于B, 为椭圆 的焦点弦, ,B正确; 对于C, , 的周长为 ,C正确; 对于D,作 垂直于直线 ,垂足为 , 设 ,则 , , , , ,D正确. 故选:BCD. 10.(2023·河南·模拟预测)已知椭圆 的上顶点为 ,右顶点为A,左、右 焦点分别为 , .若P为C上与点A,B不重合的动点,直线PA与y轴交于点M,直 线PB与x轴交于点N,则( ) A.C的方程为 B. 面积的最大值为2 C.坐标原点O到直线AB的距离为 D. 【答案】BCD 【分析】先由已知条件待定 ,求出椭圆方程,结合图形运算容易判断选项ABC;D项,设出点 ,分别表示直线 方程,求与坐标轴交点 坐标则可得距离 ,进而可求出乘 积. 【解析】A项,由椭圆上顶点为 得, , 由 知 ,由对称性可得 , 所以 ,即 ,则 , 椭圆方程为 ,故A错误; B项,由A项可知, 为定值, 故当点 到 距离最大时, 面积最大, 即当 为短轴端点时取最大值,最大值为 ,故B正确; C项,在 中, , 设 为斜边 上的高,由 , 可得点 到直线 的距离为 ,故C正确; D项,设 ,由 , 所以直线 方程为 ,令 ,可得 , 直线 方程为 ,令 , . 由点 在椭圆上,则 , , 则 ,故D正确. 故选:BCD.11.(2023·全国·模拟预测)已知椭圆 的离心率为 , 为椭圆的左、右顶点, 为椭圆 的左、右焦点, 是椭圆上异于 的任意一点,过 作直线 的垂线,垂足为 ,直线 交 于点 ,交椭圆于 两点, 的面积最大值为12,则( ) A. △ B.若 ,则 的最大值为 C. 在圆上运动 D. 【答案】ABD 【分析】判断出点 的轨迹即可求出 的面积最大值,进而求出 ;根据椭圆的定义即可求出 △ 的最大值;设出直线 的方程,且点 在椭圆上,即可求出 ,最后联立直 线 的方程即可求得点 的轨迹方程;设出直线 的方程,并与椭圆联立利用韦达定理即可求解 . 【解析】对于选项A,因为 ,所以点 在以 为直径的圆上,所以 边上高为半径 时, 的面积最大值,即 , △ 又因为 ,即 ,所以 ,解得 ,故A正确; 由选项 ,由选项A可知, ,则 ,所以 , ,当 在直线 上时,等号成 立.故 正确; 由选项 ,因为 ,所以设直线 , 直线 ,直线 , 因为椭圆方程为 ,所以 满足 ,所以 ,所以, 联立直线 的方程得 ,解得 , 所以 在直线 上运动,故C错误; 设直线 的方程为 ,设 , 直线和椭圆联立 ,消去 整理得 , , 所以 , , 因为点 在椭圆上,所以 , 所以 ,同理可知 , 所以 , 故选项 正确; 故选: . 【点睛】本题考查考生运算求解能力、推理论证能力、函数与方程的思想、数形结合的思想、化归与转化 的思想. 三、填空题 12.(2024·山东·二模)已知椭圆 的焦点分别是 , ,点 在椭圆上,如果 ,那么点 到 轴的距离是 .【答案】 【分析】设 ,从而根据 可得 ,联立椭圆的方程可解出 的值,从而得 出点 到 轴的距离. 【解析】由椭圆方程得, , ,设 , 则: , ; 由 得: (1); 又点 在椭圆上,可得 (2); (1)(2)联立消去 得, ;即 ; 故点 到 轴的距离是 . 故答案为: . 13.(2024·西藏·模拟预测)已知椭圆 : 的离心率为 ,F是椭圆C的右焦点,P 为椭圆C上任意一点, 的最大值为 .设点 ,则 的最小值为 . 【答案】 / 【分析】首先根据题目条件求出 和 ,然后根据椭圆定义进行转换,求出 的最小值. 【解析】设椭圆C的半焦距为c,由题意,得 , ,所以 , . 设椭圆C的左焦点为 ,则 , 所以 . 故答案为: . 14.(2024·山东淄博·二模)“若点P为椭圆上的一点, 为椭圆的两个焦点,则椭圆在点 处的切线 平分 的外角”,这是椭圆的光学性质之一.已知椭圆 ,点P是椭圆上的点,在点 处 的切线为直线 ,过左焦点 作 的垂线,垂足为 ,设点 的轨迹为曲线 .若 是曲线 上一点, 已知点 ,则 的最小值为 .【答案】 【分析】先由已知椭圆的性质结合椭圆定义可得 轨迹,再利用圆的性质在 轴上找一定点 ,满 足 ,从而将 转化为 最值问题求解可得. 【解析】由椭圆 方程 ,知 . 如图,延长 、 交于点 ,由题意可知 , 又因为 ,则 为 的中点,且 , 所以, , 又因为 为 的中点,则 . 故点 的轨迹 为以 为原点, 为半径的圆,圆的方程为 . 设在 轴上存在定点 ,使得圆上任意一点 ,满足 , 由 ,则 , 化简得 , 又 ,代入得 , ∵ 要使等式恒成立,则 ,即 . 存在定点 ,使圆上任意一点 满足 , ∴ 则 ,当 三点共线( 位于 两侧)时,等号成立. 由 ,则 , 所以 ,当 三点共线( 位于 两侧)时等号成立. 如图,连接 ,线段 与圆 的交点即为取最值时的点 ,此时取到最小值 .故答案为:5. 【点睛】方法点睛:借助阿氏圆探究最值问题:若 为两定点,动点 满足 ,则 时, 动点 的轨迹为直线;当 且 时,动点 的轨迹为圆,此圆称之为阿波罗尼斯圆,也称阿氏圆.借 助阿波罗尼斯圆,可以转化动点到定点的距离,化系数 为 ,从而转化为到另一定点的距离进而由几何 性质等求解最值. 四、解答题 15.(2024·广东梅州·二模)已知椭圆C: ( )的离心率为 ,且经过点 . (1)求椭圆C的方程: (2)求椭圆C上的点到直线l: 的距离的最大值. 【答案】(1) (2) 【分析】(1)由椭圆的离心率可得 , 的关系,设椭圆的方程,将点 的坐标代入椭圆的方程,可得 参数 的值,即可得 , 的值,求出椭圆的方程; (2)设与 平行的直线的方程,与椭圆的方程联立,由判别式为0,可得参数的值,进而求出两条 直线的距离,即求出椭圆上的点到直线的最大距离. 【解析】(1)由椭圆的离心率为 ,可得 , 可得 ,设椭圆的方程为: , , 又因为椭圆经过点 ,所以 , 解得 , 所以椭圆的方程为: ; (2)设与直线 平行的直线的方程为 ,联立 ,整理可得: , ,可得 ,则 , 所以直线 到直线 的距离 . 所以椭圆 上的点到直线 的距离的最大值为 . 16.(2024·广东·二模)已知双曲线 的焦点与椭圆 的焦点重合,其渐 近线方程为 . (1)求双曲线 的方程; (2)若 为双曲线 上的两点且不关于原点对称,直线 过 的中点,求直线 的斜率. 【答案】(1) (2)1 【分析】(1)先求出焦点坐标,再根据渐近线方程可求基本量,从而可得双曲线的方程. (2)利用点差法可求直线的斜率,注意检验. 【解析】(1)椭圆 的焦点为 ,故 , 由双曲线的渐近线为 ,故 ,故 , 故双曲线方程为: . (2)设 , 的中点为 , 因为 在直线 ,故 , 而 , ,故 , 故 ,由题设可知 的中点不为原点,故 ,所以 , 故直线 的斜率为 . 此时 , 由 可得 ,整理得到: , 当 即 或 , 即当 或 时,直线 存在且斜率为1. 17.(2024·陕西西安·模拟预测)已知椭圆 的一个焦点与抛物线 的焦点重 合,离心率为 . (1)求椭圆 的方程; (2)过点 作斜率为 的直线交椭圆 于 两点,求弦 中点坐标. 【答案】(1) (2) 【分析】(1)根据抛物线的焦点求出 的值,然后由椭圆的离心率计算 ,再由平方关系得到 ,可写出 椭圆的方程; (2)设 的坐标,点差法计算出坐标之间的关系,再根据中点所在直线可求出点的坐标. 【解析】(1)依题意得: ,即 ,解得 ,解得 椭圆 的方程为 (2)如图所示:设 , 中点为 , 所以 则 又 两点在椭圆 上,可得 , 两式相减可得 ,整理得 ,①. 过点 斜率为 的直线为 . 因为 在直线上,故 ,② 联立①②,解得 所以 中点坐标为 . 18.(2024·江苏苏州·模拟预测) 已知椭圆 与圆 在第一、第 二象限分别交于 Q、P 两点,且满足 (1)求椭圆γ的标准方程; (2)A 是椭圆上的一点,若存在椭圆的弦 BC 使得 ,求证:四边形OABC 的面积为定值. 【答案】(1) (2)证明见解析 【分析】(1)根据椭圆和圆的对称性可得 , ,再代入椭圆和圆的方程中,解方程组求出 和 的值即可; (2)设 , ,易知四边形 是平行四边形,设直线 的方程为 ,将其与椭 圆方程联立,结合韦达定理,弦长公式以及椭圆的方程,推出 ,再利用点到直线的距离公式,表示出四边形 的面积,然后化简即可得定值. 【解析】(1)由对称性知, , 因为 , ,所以 是边长为1的等边三角形, △ 因为 位于第一象限,所以 , , 代入椭圆 的方程有 , 代入圆 的方程有 , 联立解得 , , 所以椭圆 的标准方程为 . (2)证明:设 , ,则直线 的斜率为 ,且 ,即 , 因为 ,所以四边形 是平行四边形, , 设直线 的方程为 , , , , , 联立 ,得 , 所以 , , 所以 , 因为 ,所以 , 整理得 ,即 , 而点 到直线 的距离为 , 所以四边形 的面积 ,为定值. 19.(2023·四川绵阳·三模)在平面直角坐标系 中:①已知点 , 直线 ,动点 满 足到点 的距离与到直线 的距离之比 ;②已知点 分别在 轴, 轴上运动, 且 , 动点 满 ; ③已知圆 的方程为 , 直线 为圆 的切线, 记点 到 直线 的距离分别为 , 动点 满足 . (1)在①,②,③这三个条件中任选一个, 求动点 的轨迹方程; (2)记 (1)中动点 的轨迹为 , 经过点 的直线 交 于 两点, 若线段 的垂直平分 线与 轴相交于点 , 求点 纵坐标的取值范围. 【答案】(1)所选条件见解析, . (2) . 【分析】(1)分别根据选择的条件,设 ,把条件转化为数学表达式,化简得到 与 之间的关系 即为 点的轨迹方程; (2)设 ,当直线 的斜率不存在时, ;当直线 的斜率存在时,设直线 的斜率为 , ,线段 的中点为 ,联立 ,得到 ,线段 的垂直平分线的方程为 ,令 ,得 .代入得,从而求得 的取值范围. 【解析】(1)若选①: 设 ,根据题意, 得 ,整理可得 , 所以动点 的轨迹方程为 . 若选②: 设 ,则 , (I) 因为 ,所以 ,整理, 得 ,代入(I)得: , 所以动点 的轨迹方程为 . 若选③: 设 , 直线 与圆相切于点 ,则 由椭圆的定义, 知点 的轨迹是以 为焦点的椭圆, 所以 , 故 , 所以动点 的轨迹方程为 . (2)设 , 当直线 的斜率不存在时, 当直线 的斜率存在时, 设直线 的斜率为 , 线段 的中点为 , 由 ,得 , 所以 ,线段 的垂直平分线的方程为 , 令 , 得 . 由 ,得 , 由 得 , 所以 , 则 或 , 所以 或 . 综上所述, 点 纵坐标的取值范围是 . 【点睛】方法点睛:(1)根据条件中的点到直线距离,点到点的距离,向量关系及椭圆定义,分别化简 求 得 与 之间的关系,即可求得轨迹方程; (2)设直线方程,联立椭圆方程可以求得参数满足的关系,代入到题干条件,求得直线 的方程,从 而求得 轴上的截距满足的一元二次函数条件,从而求得结果.