当前位置:首页>文档>精品解析:2023年宁夏回族自治区中考数学真题(原卷版)_new_北师大初中数学_9下-北师大版初中数学_05习题试卷_6中考真题_2023各地中考真题

精品解析:2023年宁夏回族自治区中考数学真题(原卷版)_new_北师大初中数学_9下-北师大版初中数学_05习题试卷_6中考真题_2023各地中考真题

  • 2026-04-15 06:15:50 2026-04-15 06:04:41

文档预览

精品解析:2023年宁夏回族自治区中考数学真题(原卷版)_new_北师大初中数学_9下-北师大版初中数学_05习题试卷_6中考真题_2023各地中考真题
精品解析:2023年宁夏回族自治区中考数学真题(原卷版)_new_北师大初中数学_9下-北师大版初中数学_05习题试卷_6中考真题_2023各地中考真题
精品解析:2023年宁夏回族自治区中考数学真题(原卷版)_new_北师大初中数学_9下-北师大版初中数学_05习题试卷_6中考真题_2023各地中考真题
精品解析:2023年宁夏回族自治区中考数学真题(原卷版)_new_北师大初中数学_9下-北师大版初中数学_05习题试卷_6中考真题_2023各地中考真题
精品解析:2023年宁夏回族自治区中考数学真题(原卷版)_new_北师大初中数学_9下-北师大版初中数学_05习题试卷_6中考真题_2023各地中考真题
精品解析:2023年宁夏回族自治区中考数学真题(原卷版)_new_北师大初中数学_9下-北师大版初中数学_05习题试卷_6中考真题_2023各地中考真题
精品解析:2023年宁夏回族自治区中考数学真题(原卷版)_new_北师大初中数学_9下-北师大版初中数学_05习题试卷_6中考真题_2023各地中考真题
精品解析:2023年宁夏回族自治区中考数学真题(原卷版)_new_北师大初中数学_9下-北师大版初中数学_05习题试卷_6中考真题_2023各地中考真题
精品解析:2023年宁夏回族自治区中考数学真题(原卷版)_new_北师大初中数学_9下-北师大版初中数学_05习题试卷_6中考真题_2023各地中考真题
精品解析:2023年宁夏回族自治区中考数学真题(原卷版)_new_北师大初中数学_9下-北师大版初中数学_05习题试卷_6中考真题_2023各地中考真题
精品解析:2023年宁夏回族自治区中考数学真题(原卷版)_new_北师大初中数学_9下-北师大版初中数学_05习题试卷_6中考真题_2023各地中考真题
精品解析:2023年宁夏回族自治区中考数学真题(原卷版)_new_北师大初中数学_9下-北师大版初中数学_05习题试卷_6中考真题_2023各地中考真题
精品解析:2023年宁夏回族自治区中考数学真题(原卷版)_new_北师大初中数学_9下-北师大版初中数学_05习题试卷_6中考真题_2023各地中考真题
精品解析:2023年宁夏回族自治区中考数学真题(原卷版)_new_北师大初中数学_9下-北师大版初中数学_05习题试卷_6中考真题_2023各地中考真题

文档信息

文档格式
docx
文档大小
0.622 MB
文档页数
10 页
上传时间
2026-04-15 06:04:41

文档内容

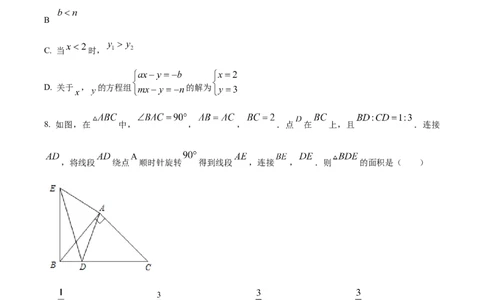
宁夏回族自治区 2023 年初中学业水平考试数学试题 注意事项: 1.本试卷满分120分,考试时间120分钟. 2.答卷前,考生务必将自己的姓名、准考证号填写在答题卡上规定位置,认真核对条形码上 的姓名、准考证号,并将条形码粘贴在指定位置上. 3.回答选择题时,选出每小题答案后,用铅笔把答题卡上对应题目的答案标号涂黑.如需改 动,用橡皮擦干净后,再选涂其他答案标号.回答非选择题时,将答案写在答题卡上,写在 本试卷上无效. 4.考试结束后,将本试卷和答题卡一并交回. 一、选择题(本题共8小题,每小题3分,共24分.在每小题给出的四个选项中只有一个是 符合题目要求的) 1. 的绝对值是( ) A. B. C. D. 2. 下面是由七巧板拼成的图形(只考虑外形,忽略内部轮廓),其中轴对称图形是( ) A. B. C. D. 3. 下列计算正确的是( ) A. B. C. D. 4. 劳动委员统计了某周全班同学的家庭劳动次数 (单位:次),按劳动次数分为 4组: , , , ,绘制成如图所示的频数分布直方图.从中任选一名同学,则该同学这周家庭劳动次数不足6次的概率是( ) A. B. C. D. 5. 估计 的值应在( ) A. 和4之间 B. 4和 之间 . C 和5之间 D. 5和 之间 6. 将一副直角三角板和一把宽度为2cm的直尺按如图方式摆放:先把 和 角的顶点及它们的直角边 重合,再将此直角边垂直于直尺的上沿,重合的顶点落在直尺下沿上,这两个三角板的斜边分别交直尺上 沿于 , 两点,则 的长是( ) A. B. C. 2 D. 7. 在同一平面直角坐标系中,一次函数 与 的图象如图所示,则下列 结论错误的是( )A. 随 的增大而增大 . B C. 当 时, D. 关于 , 的方程组 的解为 8. 如图,在 中, , , .点 在 上,且 .连接 ,将线段 绕点 顺时针旋转 得到线段 ,连接 , .则 的面积是( ) A. B. C. D. 二、填空题(本题共8小题,每小题3分,共24分) 9. 计算: ________. 10. 如图,在边长为2的正方形 中,点 在 上,连接 , .则图中阴影部分的面积是________. 11. 方程 有两个相等的实数根,则 的值为________. 12. 如图,在标有数字1,2,3,4的四宫格里任选两个小方格,则所选方格中数字之和为4的概率是 ________. 13. 如图,四边形 内接于 ,延长 至点 ,已知 ,那么 ________ . 14. 如图,点 , , 在数轴上,点 表示的数是 ,点 是 的中点,线段 ,则点 表 示的数是________. 15. 如图是某种杆秤.在秤杆的点 处固定提纽,点 处挂秤盘,点 为0刻度点.当秤盘不放物品时,提起提纽,秤砣所挂位置移动到点 ,秤杆处于平衡.秤盘放入 克物品后移动秤砣,当秤砣所挂位置与 提扭的距离为 毫米时秤杆处于平衡.测得 与 的几组对应数据如下表: /克 0 2 4 6 10 1 /毫米 10 18 22 30 4 由表中数据的规律可知,当 克时, ________毫米. 16. 如图是由边长为1的小正方形组成的 网格,点 , , , , , , 均在格点上.下列 结论: ①点 与点 关于点 中心对称; ②连接 , , ,则 平分 ; ③连接 ,则点 , 到线段 的距离相等. 其中正确结论的序号是________. 三、解答题(本题共10小题,其中17~22题每小题6分,23、24题每小题8分,25、26题每 小题10分,共72分) 17. 计算: 18. 解不等式组下面是某同学的部分解答过程,请认真阅读并完成任务: 解:由①得: 第1步 第2步 第3步 第4步 任务一:该同学的解答过程第_______步出现了错误,错误原因是_______,不等式①的正确解集是 _______; 任务二:解不等式②,并写出该不等式组的解集. 19. 如图,已知 , , 分别是 和 上的点, .求证:四边形 是 平行四边形. 20. “人间烟火味,最抚凡人心”,地摊经济、小店经济是就业岗位的重要来源.某经营者购进了 型和 型两种玩具,已知用520元购进 型玩具的数量比用175元购进 型玩具的数量多30个,且 型玩具单 价是 型玩具单价的 倍. (1)求两种型号玩具的单价各是多少元? 根据题意,甲、乙两名同学分别列出如下方程: 甲: ,解得 ,经检验 是原方程的解. 乙: ,解得 ,经检验 是原方程的解. 则甲所列方程中的 表示_______,乙所列方程中的 表示_______; (2)该经营者准备用1350元以原单价再次购进这两种型号的玩具共200个,则最多可购进 型玩具多少 个?21. 给某气球充满一定质量的气体,在温度不变时,气球内气体的气压 是气体体积 ( )的 反比例函数,其图象如图所示. (1)当气球内的气压超过 时,气球会爆炸.若将气球近似看成一个球体,试估计气球的半径至 少为多少时气球不会爆炸(球体的体积公式 , 取3); (2)请你利用 与 的关系试解释为什么超载的车辆容易爆胎. 的 22. 如图,粮库用传送带传送粮袋,大转动轮 半径为10cm,传送带与水平面成 角.假设传送带与转 动轮之间无滑动,当大转动轮转 时,传送带上点 处的粮袋上升的高度是多少?(传送带厚度忽略 不计) 23. 学校组织七、八年级学生参加了“国家安全知识”测试(满分100分).已知七、八年级各有200人, 现从两个年级分别随机抽取10名学生的测试成绩 (单位:分)进行统计: 七年级 86 94 79 84 71 90 76 83 90 87 八年级 88 76 90 78 87 93 75 87 87 79 整理如下: 中位 年级 平均数 众数 方差 数七年 84 90 级 八年 84 87 级 根据以上信息,回答下列问题: (1)填空: _______, ________. 同学说:“这次测试我得了86分,位于年级中等偏上水平”,由此可判断他是________年级的学生; (2)学校规定测试成绩不低于85分为“优秀”,估计该校这两个年级测试成绩达到“优秀”的学生总人 数; 的 (3)你认为哪个年级 学生掌握国家安全知识的总体水平较好?请给出一条理由. 24. 如图,已知 是 的直径,直线 是 的切线,切点为 , ,垂足为 .连接 . (1)求证: 平分 ; (2)若 , ,求 的半径. 25. 如图,抛物线 与 轴交于 , 两点,与 轴交于点 .已知点 的坐标是 ,抛物线的对称轴是直线 .(1)直接写出点 的坐标; (2)在对称轴上找一点 ,使 的值最小.求点 的坐标和 的最小值; (3)第一象限内的抛物线上有一动点 ,过点 作 轴,垂足为 ,连接 交 于点 . 依题意补全图形,当 的值最大时,求点 的坐标. 26. 综合与实践 问题背景 数学小组发现国旗上五角星的五个角都是顶角为 的等腰三角形,对此三角形产生了极大兴趣并展开探 究. 探究发现 如图1,在 中, , .(1)操作发现:将 折叠,使边 落在边 上,点 的对应点是点 ,折痕交 于点 ,连 接 , ,则 _______ ,设 , ,那么 ______(用含 的式子表示); (2)进一步探究发现: ,这个比值被称为黄金比.在(1)的条件下试证明: ; 拓展应用: 当等腰三角形的底与腰的比等于黄金比时,这个三角形叫黄金三角形.例如,图1中的 是黄金三角 形.如图2,在菱形 中, , .求这个菱形较长对角线的长.