当前位置:首页>文档>微专题二倍角公式的应用学案——2023届高考数学一轮《考点·题型·技巧》精讲与精练_02高考数学_通用版(老高考)复习资料_2023年复习资料_一轮复习

微专题二倍角公式的应用学案——2023届高考数学一轮《考点·题型·技巧》精讲与精练_02高考数学_通用版(老高考)复习资料_2023年复习资料_一轮复习

  • 2026-04-15 07:54:22 2026-04-15 07:53:48

文档预览

微专题二倍角公式的应用学案——2023届高考数学一轮《考点·题型·技巧》精讲与精练_02高考数学_通用版(老高考)复习资料_2023年复习资料_一轮复习
微专题二倍角公式的应用学案——2023届高考数学一轮《考点·题型·技巧》精讲与精练_02高考数学_通用版(老高考)复习资料_2023年复习资料_一轮复习
微专题二倍角公式的应用学案——2023届高考数学一轮《考点·题型·技巧》精讲与精练_02高考数学_通用版(老高考)复习资料_2023年复习资料_一轮复习
微专题二倍角公式的应用学案——2023届高考数学一轮《考点·题型·技巧》精讲与精练_02高考数学_通用版(老高考)复习资料_2023年复习资料_一轮复习
微专题二倍角公式的应用学案——2023届高考数学一轮《考点·题型·技巧》精讲与精练_02高考数学_通用版(老高考)复习资料_2023年复习资料_一轮复习
微专题二倍角公式的应用学案——2023届高考数学一轮《考点·题型·技巧》精讲与精练_02高考数学_通用版(老高考)复习资料_2023年复习资料_一轮复习
微专题二倍角公式的应用学案——2023届高考数学一轮《考点·题型·技巧》精讲与精练_02高考数学_通用版(老高考)复习资料_2023年复习资料_一轮复习
微专题二倍角公式的应用学案——2023届高考数学一轮《考点·题型·技巧》精讲与精练_02高考数学_通用版(老高考)复习资料_2023年复习资料_一轮复习
微专题二倍角公式的应用学案——2023届高考数学一轮《考点·题型·技巧》精讲与精练_02高考数学_通用版(老高考)复习资料_2023年复习资料_一轮复习
微专题二倍角公式的应用学案——2023届高考数学一轮《考点·题型·技巧》精讲与精练_02高考数学_通用版(老高考)复习资料_2023年复习资料_一轮复习
微专题二倍角公式的应用学案——2023届高考数学一轮《考点·题型·技巧》精讲与精练_02高考数学_通用版(老高考)复习资料_2023年复习资料_一轮复习
微专题二倍角公式的应用学案——2023届高考数学一轮《考点·题型·技巧》精讲与精练_02高考数学_通用版(老高考)复习资料_2023年复习资料_一轮复习
微专题二倍角公式的应用学案——2023届高考数学一轮《考点·题型·技巧》精讲与精练_02高考数学_通用版(老高考)复习资料_2023年复习资料_一轮复习
微专题二倍角公式的应用学案——2023届高考数学一轮《考点·题型·技巧》精讲与精练_02高考数学_通用版(老高考)复习资料_2023年复习资料_一轮复习
微专题二倍角公式的应用学案——2023届高考数学一轮《考点·题型·技巧》精讲与精练_02高考数学_通用版(老高考)复习资料_2023年复习资料_一轮复习
微专题二倍角公式的应用学案——2023届高考数学一轮《考点·题型·技巧》精讲与精练_02高考数学_通用版(老高考)复习资料_2023年复习资料_一轮复习
微专题二倍角公式的应用学案——2023届高考数学一轮《考点·题型·技巧》精讲与精练_02高考数学_通用版(老高考)复习资料_2023年复习资料_一轮复习
微专题二倍角公式的应用学案——2023届高考数学一轮《考点·题型·技巧》精讲与精练_02高考数学_通用版(老高考)复习资料_2023年复习资料_一轮复习
微专题二倍角公式的应用学案——2023届高考数学一轮《考点·题型·技巧》精讲与精练_02高考数学_通用版(老高考)复习资料_2023年复习资料_一轮复习
微专题二倍角公式的应用学案——2023届高考数学一轮《考点·题型·技巧》精讲与精练_02高考数学_通用版(老高考)复习资料_2023年复习资料_一轮复习
微专题二倍角公式的应用学案——2023届高考数学一轮《考点·题型·技巧》精讲与精练_02高考数学_通用版(老高考)复习资料_2023年复习资料_一轮复习
微专题二倍角公式的应用学案——2023届高考数学一轮《考点·题型·技巧》精讲与精练_02高考数学_通用版(老高考)复习资料_2023年复习资料_一轮复习
微专题二倍角公式的应用学案——2023届高考数学一轮《考点·题型·技巧》精讲与精练_02高考数学_通用版(老高考)复习资料_2023年复习资料_一轮复习
微专题二倍角公式的应用学案——2023届高考数学一轮《考点·题型·技巧》精讲与精练_02高考数学_通用版(老高考)复习资料_2023年复习资料_一轮复习
微专题二倍角公式的应用学案——2023届高考数学一轮《考点·题型·技巧》精讲与精练_02高考数学_通用版(老高考)复习资料_2023年复习资料_一轮复习
微专题二倍角公式的应用学案——2023届高考数学一轮《考点·题型·技巧》精讲与精练_02高考数学_通用版(老高考)复习资料_2023年复习资料_一轮复习
微专题二倍角公式的应用学案——2023届高考数学一轮《考点·题型·技巧》精讲与精练_02高考数学_通用版(老高考)复习资料_2023年复习资料_一轮复习
微专题二倍角公式的应用学案——2023届高考数学一轮《考点·题型·技巧》精讲与精练_02高考数学_通用版(老高考)复习资料_2023年复习资料_一轮复习
微专题二倍角公式的应用学案——2023届高考数学一轮《考点·题型·技巧》精讲与精练_02高考数学_通用版(老高考)复习资料_2023年复习资料_一轮复习
微专题二倍角公式的应用学案——2023届高考数学一轮《考点·题型·技巧》精讲与精练_02高考数学_通用版(老高考)复习资料_2023年复习资料_一轮复习
微专题二倍角公式的应用学案——2023届高考数学一轮《考点·题型·技巧》精讲与精练_02高考数学_通用版(老高考)复习资料_2023年复习资料_一轮复习
微专题二倍角公式的应用学案——2023届高考数学一轮《考点·题型·技巧》精讲与精练_02高考数学_通用版(老高考)复习资料_2023年复习资料_一轮复习

文档信息

文档格式
docx
文档大小
1.158 MB
文档页数
28 页
上传时间
2026-04-15 07:53:48

文档内容

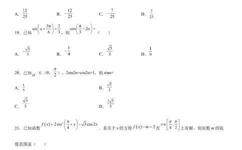
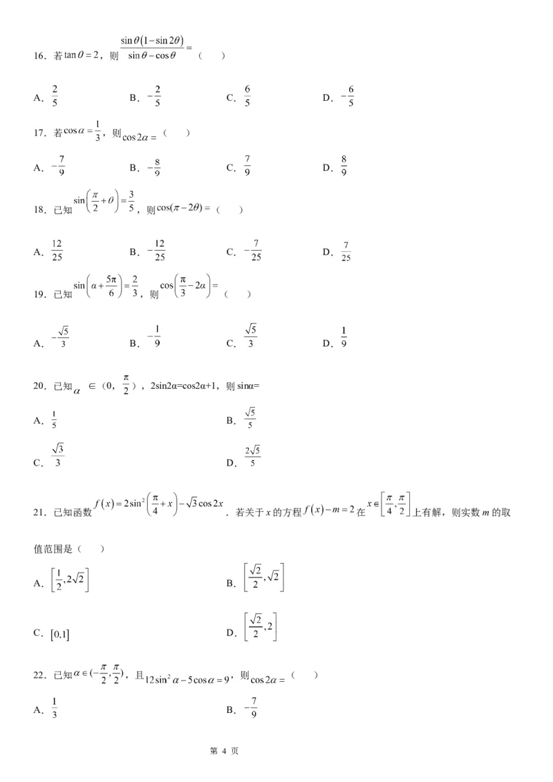
微专题:二倍角公式的应用 【考点梳理】 1.二倍角的正弦、余弦、正切公式(倍角公式) sin2α= 2sin α cos α . S 2α cos2α= cos 2 α - sin 2 α = 1 - 2sin 2 α = 2cos 2 α - 1 . C 2α tan2α=. T 2α 2. 简单的三角恒等变换 (1)降幂公式 sin2α=. cos2α=. sinαcosα= sin2 α . (2)升幂公式 1+cosα= 2cos 2 . 1-cosα= 2sin 2 . 1+sinα=. 1-sinα= (sin - cos) 2 . 【题型归纳】 题型一:给值求值 1.已知 是第二象限角,且 ,则 ( ) A. B. C. D. 2.已知 ,则 的值为( ) A. B. C. D. 3.已知 ,且 是第二象限角,则 ( ) A. B. C. D. 题型二:与诱导公式综合 第 1 页 学学科科网网((北北京京))股股份份有有限限公公司司4.平面直角坐标系中,角 的终边经过点 ,则 ( ). A. B. C. D. 5.已知角 的终边经过点 ,则 ( ) A. B. C. D. 6.若 ,则 的值为( ) A. B. C. D. 题型三:利用二倍角公式化简求值 7.若 , ,则 ( ) A. B. C. D. 8.若 ,则 ( ) A. B. C. D. 9.角 的终边经过点 ,则 的值为( ) A. B. C. D. 【双基达标】 第 2 页 学学科科网网((北北京京))股股份份有有限限公公司司10.若 , ,则 ( ) A. B. C. D. 11.已知 ,则 ( ) A. B. C. D. 12.若 ,则 A. B. C. D.-1 13.已知过点 的直线l与x轴正半轴和y轴正半轴分别交于A,B两点,当 最小时,直线l的方程为 ( ) A. B. C. D. 14.人们通常把顶角为36°的等腰三角形称为黄金三角形,因为它的底边和腰长的比值等于黄金分割比 ,我 们熟悉的五角星就是由5个黄金三角形和1个正五边形组成的,如图,三角形ABC就是一个黄金三角形,根据以 上信息,可得 =( ) A. B. C. D. 15.若 ,则 ( ) A. B. C. D. 第 3 页 学学科科网网((北北京京))股股份份有有限限公公司司16.若 ,则 ( ) A. B. C. D. 17.若 ,则 ( ) A. B. C. D. 18.已知 ,则 ( ) A. B. C. D. 19.已知 ,则 ( ) A. B. C. D. 20.已知 ∈(0, ),2sin2α=cos2α+1,则sinα= A. B. C. D. 21.已知函数 .若关于x的方程 在 上有解,则实数m的取 值范围是( ) A. B. C. D. 22.已知 ,且 ,则 ( ) A. B. 第 4 页 学学科科网网((北北京京))股股份份有有限限公公司司C. D. 23.若 , ,则 ( ). A. B. C. D. 24.式子 的值等于( ) A. B. C. D. 25.若 ,则 ( ) A. B. C. D.1 26.已知角 的顶点为坐标原点,始边与 轴的非负半轴重合,终边经过点 ,则 ( ) A. B. C. D. 27.已知 ,则 的值是( ) A. B. C. D. 28.已知 ,则 ( ) A. B. C. D. 29.若 , ,则 ( ) A. B. C. D. 30. ,则 ( ) A. B. C. D. 第 5 页 学学科科网网((北北京京))股股份份有有限限公公司司【高分突破】 一、单选题 31.若 ,则 ( ) A. B. C. D. 32.小说《三体》中的“水滴”是三体文明派往太阳系的探测器,由强相互作用力材料制成,被形容为“像一滴 圣母的眼泪”.小刘是《三体》的忠实读者,他利用几何作图软件画出了他心目中的水滴(如图),由线段AB, AC和优弧BC围成,其中BC连线竖直,AB,AC与圆弧相切,已知“水滴”的水平宽度与竖直高度之比为 ,则 ( ). A. B. C. D. 33.若 ,则 ( ) A. B. C. D. 34.若 ,则 ( ) A. B. C. D. 35.函数 的最大值为( ) A. B. C. D.3 二、多选题 36.已知函数 ,则( ) 第 6 页 学学科科网网((北北京京))股股份份有有限限公公司司A.函数 在区间 上为增函数 B.直线 是函数 图像的一条对称轴 C.函数 的图像可由函数 的图像向右平移 个单位得到 D.对任意 ,恒有 37.下列各式中值为 的是( ). A. B. C. D. 38.由倍角公式 ,可知 可以表示为 的二次多项式.一般地,存在一个 次多 项式 ,使得 ,这些多项式 称为切比雪夫 (P.L.Tschebyscheff)多项式.则( ) A. B.当 时, C. D. 39.在 中,角 , , 的对边分别为 , , ,则下列结论成立的是( ) A.若 ,则 B.若 ,则 C.若 ,则 D.若 ,则 三、填空题 40.已知 = ,则sin2x=________. 41.已知 是第二象限角,且 ,则 的值为______. 42.已知 不是常数函数,写出一个同时具有下列四个性质的函数 :___________. 第 7 页 学学科科网网((北北京京))股股份份有有限限公公司司①定义域为R;② ;③ ;④ . 43.已知角α的顶点与坐标原点重合,始边与x轴的非负半轴重合,若点P(2,﹣1)在角α的终边上,则sin2α =_____. 44.计算: ___________. 45.若 ,且 ,则 ____ 四、解答题 46.已知 ,求 的值. 47.已知sinα ,且α为第二象限角. (1)求sin2α的值; (2)求tan(α )的值. 48.在 中,已知 ,且 . (1)求 的面积; (2)若 ,求 . 49.已知 , . (1)求 , 的值; (2)求 的值. 50.(1)设坐标平面内三点 、 、 ,若直线AC的斜率是直线BC的斜率的3倍,求实 数m的值; (2)已知直线 的斜率为 ,直线 的倾斜角是直线 倾斜角的2倍,求直线 的斜率. 第 8 页 学学科科网网((北北京京))股股份份有有限限公公司司参考答案 1.B 【解析】 【分析】 利用同角三角函数的基本关系和二倍角的正弦公式可求得 的值. 【详解】 因为 是第二象限角,且 ,则 , 因此, . 故选:B. 2.C 【解析】 【分析】 首先将 转化为 ,再将未知角 向已知角 转化,根据倍角公式求出 的值. 【详解】 因为 , 所以 , 所以 . 故选:C. 3.B 【解析】 【分析】 由同角三角函数的基本关系及二倍角公式化简求解. 【详解】 由题意得 ,则 . 故选:B 4.A 【解析】 【分析】 第 9 页根据三角函数的定义可得 ,利用诱导公式及二倍角的正弦公式即可求解. 【详解】 解:因为角 的终边经过点 ,所以 , 故 . 故选:A. 5.A 【解析】 【分析】 根据终边上的点确定角的正余弦值,再利用诱导公式及二倍角正弦公式即得. 【详解】 由题知 , 所以 , ∴ . 故选:A. 6.C 【解析】 【分析】 根据所求先利用诱导公式转化为 ,由于有正切值,无角度范围,结合平方公式,将所求化为分式齐次式, 同除 ,转化为只含 的式子,即可求解. 【详解】 解: 故选:C. 7.C 【解析】 【分析】 利用余弦、正弦的二倍角公式及其逆用结合角的范围将目标式子化简,然后结合正弦、余弦的齐次式,将之化为 正切的式子,然后将条件代入即可得出答案. 【详解】 因为 , ,所以 , , 所以 第 10 页. 故选: C. 8.A 【解析】 【分析】 根据二倍角公式,结合同角三角函数的关系求解即可 【详解】 因为 ,显然 ,故 , 故选:A 9.C 【解析】 【分析】 根据余弦值的定义可得 ,再根据诱导公式与二倍角公式求解即可 【详解】 由题意可得 ,所以 故选:C 10.A 【解析】 【分析】 由商数关系及二倍角正余弦公式得 ,结合已知列方程求得 ,再根据平方关系求 . 【详解】 因为 ,且 , 所以 ,得 , 所以 . 故选:A 11.D 第 11 页【解析】 【分析】 利用两角差的正弦、余弦公式化简 ,再利用诱导公式、二倍角公式求解 即可. 【详解】 故选:D. 12.C 【解析】 【分析】 利用诱导公式化简得到 ,再结合二倍角的余弦公式即可求解. 【详解】 ,即 所以 故选C 【点睛】 本题主要考查了三角函数的化简和求值,属于基础题. 13.B 【解析】 【分析】 由题意结合三角函数的知识可得 , ,结合正弦的二倍角公式可得 ,求出 后即可得直线的斜率,再由点斜式即可得解. 【详解】 设 ,如图: 第 12 页则 , , 所以 , 所以当 即 时, 最小, 此时,直线的倾斜角为 ,斜率 , 所以直线l的方程为 即 . 故选:B. 【点睛】 本题考查了三角函数、三角恒等变换的应用,考查了直线方程的求解,关键是合理转化条件,属于中档题. 14.A 【解析】 【分析】 由正弦定理得到 ,结合倍角公式,求得 ,再利用诱导公式,即可求解. 【详解】 在 中, , 由正弦定理得 ,即 , 由倍角公式得, , 解得 , , 故选:A 15.D 【解析】 【分析】 第 13 页利用二倍角公式化简 ,再结合 的范围确定 和 的符号即可求解. 【详解】 由二倍角公式可知, , , 从而 , 又因为 ,所以 , , 从而 . 故选:D. 16.A 【解析】 【分析】 由二倍角正弦公式和同角关系将 转化为含 的表达式,由此可得其值. 【详解】 . 故选:A. 17.A 【解析】 【分析】 根据二倍角余弦公式,代入数据即可得答案. 【详解】 由二倍角公式得 , 故选:A 【点睛】 本题考查二倍角公式的应用,属基础题. 18.D 【解析】 【分析】 先根据诱导公式进行化简,然后利用二倍角的余弦公式求解出结果. 【详解】 因为 ,所以 , 第 14 页又因为 , 所以 , 故选:D. 19.D 【解析】 先用诱导公式化为 ,再用二倍角公式计算. 【详解】 . 故选:D 20.B 【解析】 【分析】 利用二倍角公式得到正余弦关系,利用角范围及正余弦平方和为1关系得出答案. 【详解】 , . ,又 , ,又 , ,故选 B. 【点睛】 本题为三角函数中二倍角公式、同角三角函数基本关系式的考查,中等难度,判断正余弦正负,运算准确性是关 键,题目不难,需细心,解决三角函数问题,研究角的范围后得出三角函数值的正负,很关键,切记不能凭感觉. 21.C 【解析】 【分析】 求出函数 在 上的值域后可求实数m的取值范围. 【详解】 , 当 时, ,所以 , 故 的值域为 , 第 15 页因为 在 上有解即 在 上有解, 故 即 , 故选:C. 22.B 【解析】 【分析】 利用同角公式化正弦为余弦,求出 的值,再利用二倍角的余弦公式求解即得. 【详解】 依题意,原等式化为: ,整理得: , 因 ,则 ,解得: , 所以 . 故选:B 23.A 【解析】 【分析】 已知等式平方后应用二倍角公式得 ,同时判断出 ,可再利用平方关系求得 , 从而可得 ,代入即得结论. 【详解】 ∵ ,① ∴ ,即 , ∴ . ∵ ,且 ,∴ , , ∴ . 变形得 , ∴ . 故选:A. 【点睛】 本题考查二倍角公式、同角间的三角函数关系,解题中应用平方关系时要注意确定函数值的符号,确定解的情况. 24.A 【解析】 根据余弦的倍角公式,结合诱导公式,即可化简. 第 16 页【详解】 , 故选:A. 【点睛】 本题考查诱导公式,余弦的倍角公式,属于容易题. 25.D 【解析】 【分析】 将等式两边平方,再用正弦二倍角公式即可. 【详解】 因为 ,所以 ,即 , , 故选:D 【点睛】 本题考查了同角三角函数中的平方关系和正弦二倍角公式,属于简单题,解题中需要注意正弦、余弦的和与积之 间的互化方法. 26.B 【解析】 【分析】 根据角终边上点的坐标,求得 ,代入二倍角公式即可求得 的值. 【详解】 因为终边上点 ,所以 , 所以 故选:B. 27.B 【解析】 【分析】 本题首先可根据 得出 ,然后根据诱导公式以及二倍角公式即可得出结果. 【详解】 ,即 , , , 则 第 17 页, 故选:B. 28.B 【解析】 【分析】 根据正切值求得正弦、余弦值,从而求得二倍角的正弦值. 【详解】 由 知, , 或 , , 则 , 故选:B 29.B 【解析】 【分析】 利用二倍角的余弦公式结合弦化切可求得 的值,再利用诱导公式可求得所求代数式的值. 【详解】 由题可得 ,解得 . , ,因此, . 故选:B. 【点睛】 本题考查利用弦化切求值,同时也考查了二倍角的余弦公式以及诱导公式的应用,考查计算能力,属于中等题. 30.C 【解析】 【分析】 利用二倍角余弦公式求 ,再由 求 即可. 【详解】 由 ,得 , ∴ , 故选:C. 31.C 【解析】 【分析】 第 18 页将式子先利用二倍角公式和平方关系配方化简,然后增添分母( ),进行齐次化处理,化为正切的 表达式,代入 即可得到结果. 【详解】 将式子进行齐次化处理得: . 故选:C. 【点睛】 易错点睛:本题如果利用 ,求出 的值,可能还需要分象限讨论其正负,通过齐次化处理,可 以避开了这一讨论. 32.A 【解析】 【分析】 设优弧BC的圆心为O,半径为R,连接OA,OB,OC,如图,进而可得“水滴”的水平宽度为 ,竖直 高度为 ,根据题意求得 ,由切线的性质和正弦函数的定义可得 ,结合圆的对称性和二倍 角的余弦公式即可得出结果. 【详解】 设优弧BC的圆心为O,半径为R,连接OA,OB,OC,如下图所示 易知“水滴”的水平宽度为 ,竖直高度为 , 则由题意知 ,解得 , AB与圆弧相切于点B,则 , ∴在 中, , 由对称性可知, ,则 , ∴ , 故选:A. 33.B 第 19 页【解析】 【分析】 由 可求得 ,根据二倍角公式化简计算即可得出结果. 【详解】 , . 故选:B 34.B 【解析】 【分析】 结合诱导公式和二倍角的正切公式化简求值即可. 【详解】 由 ,得 , 则 . 故选:B. 35.B 【解析】 利用诱导公式及二倍角公式可得 ,令 ,将函数转化为 ,利用导数研究函数的单调性,即可求出函数的最值,即可得解; 【详解】 解:因为 所以 令 则 则 令 ,得 或 第 20 页当 时, ; 时 所以当 时, 取得最大值,此时 所以 故选:B 【点睛】 本题考查三角恒等变换及三角函数的性质的应用,解答的关键是利用导数研究函数的单调性从而求出函数的最值. 36.ABD 【解析】 首先利用二倍角的正弦与余弦公式可得 ,根据正弦函数的单调递增区间可判断A;根据 正弦函数的对称轴可判断B;根据三角函数图像的平移变换的原则可判断C;代入利用诱导公式可判断D. 【详解】 . 当 时, ,函数 为增函数,故A中说法正确; 令 , ,得 , , 显然直线 是函数 图像的一条对称轴,故B中说法正确; 函数 的图像向右平移 个单位得到函数 的图像,故C中说法错误; ,故D中说法正确. 故选:ABD. 【点睛】 本题是一道三角函数的综合题,考查了二倍角公式以及三角函数的性质、图像变换,熟记公式是关键,属于基础 题. 37.AC 【解析】 【分析】 选项A利用二倍角的正弦求值;选项B利用二倍角的余弦求值;选项C逆用两角差的正弦公式求值;选项D利用 两角和的正切公式求值. 第 21 页【详解】 因为 ,故选项A正确; 因为 ,故选项B错误; 因为 ,故选项C正确; 因为 , 整理得, ,故选项D错误; 故选:AC. 38.ACD 【解析】 【分析】 根据题目定义以及二倍角公式即可判断A正确,令 ,可得 ,可判断出B错误,令 可得 ,结合 可判断出C正确,根据二倍角公式可知 ,D正确. 【详解】 因为 , 所以 ,即 ,故选项A正确;令 ,则 ,则 ,则 ,即选项B错误;令 ,则 ,可得 ,所 以 ,则选项C正确;设 ,则 ,将 代 入,方程成立,即选项D正确. 故选:ACD. 39.ABC 【解析】 【分析】 根据大边对大角以及正弦定理即可判断A;根据余弦函数的单调性以及 可判断B;利用正弦定理化边为角以 及同角三角函数商数关系可得 即可判断C;利用正弦定理化边为角结合正弦的二倍角公式可得 进而可得 或 即可判断D,进而可得正确选项. 【详解】 对于A:因为 ,所以 ,由正弦定理可得 ( 是 外接圆的半径),所以 ,故选项A正确; 对于B:因为 在 上单调递减, 且 ,所以 ,故选项B正确; 第 22 页对于C:因为 ,由正弦定理化边为角可得 , 又因为 ,所以 ,所以 ,故选项C正确; 对于D:利用正弦定理化边为角可得 ,所以 ,所以 或 ,故选 项D错误. 故选:ABC. 40. 【解析】 【分析】 利用诱导公式、二倍角余弦公式得sin2x=2cos2 -1,结合已知求值即可. 【详解】 ∵sin2x=cos =cos2 =2cos2 -1, ∴sin2x=2× -1= -1= . 故答案为: 41. 【解析】 【分析】 根据同角三角函数的基本关系求出 ,再由二倍角的正切公式求解. 【详解】 , 是第二象限角, , , 故答案为: 42. (答案不唯一) 【解析】 【分析】 第 23 页根据 ,可得 ,进而联想到二倍角的余弦公式,再根据 ,可得 函数的周期,然后根据 得到答案. 【详解】 由 ,得 , 联想到 ,可推测 , 由 ,得 ,则 , 又 ,所以 ( , 为偶数,且 ), 则当k=2时, . 故答案为: (答案不唯一). 43. 【解析】 【分析】 由已知结合三角形函数的定义可求 , 然后结合二倍角的正弦公式即可求解. 【详解】 解:由题意可得, , , 所以sin2α=2sinαcosα . 故答案为: 【点睛】 本题考查三角函数中的倍角公式,属于简单题 44. ## 【解析】 【分析】 先切化弦,再根据二倍角的正弦公式、诱导公式、两角差的余弦公式化简即可得解. 【详解】 第 24 页. 故答案为: 45. 【解析】 【分析】 利用诱导公式、二倍角正弦公式,将题设条件转化为 ,结合角的范围求 值,再应用二倍角正 切公式求 即可. 【详解】 ∵ , ∴ 或 ,又 , ∴ ,则 . 故答案为: 46. 【解析】 根据诱导公式和二倍角公式,化简已知为 ,将所求式中的2,用 替换,整理化为齐二次 分式,分子、分母同除以 ,化弦为切,即可求解 【详解】 解:因为 , 所以 . 【点睛】 第 25 页本题考查已知三角函数值求值问题,解题的关键是化简,涉及到诱导公式、二倍角公式,以及齐次分式化弦为切 的方法,属于中档题. 47.(1) ;(2) . 【解析】 【分析】 (1)根据题意以及同角基本关系可知 ,再利用二倍角正弦公式即可求出结果; (2)根据(1)的结果求出tan ,利用两角和正切公式,即可求出结果. 【详解】 (1)∵sinα ,且α为第二象限角,∴cos , ∴sin2α=2sinαcosα ; (2)由(1)知tan , ∴tan(α ) . 【点睛】 本题主要考查了三角函数同角基本关系式、正弦倍角公式和两角和的正切公式,属于基础题目. 48.(1)2;(2) . 【解析】 【分析】 (1)利用对数运算得到 ,利用二倍角公式求得 得到 ,进而利用三角形面积公式计算; (2)利用余弦定理计算即得. 【详解】 (1)由 ,得 .∵ ,∴ ,∴ .∴ . (2)对于 ,又 ,由余弦定理得 ,∴ . 49.(1) , ;(2) 【解析】 【分析】 (1)首先利用同角三角函数关系求出 ,从而得到 ,再利用正弦二倍角公式计算 即可. (2)利用正弦两角差公式展开计算即可得到答案. 【详解】 第 26 页(1)因为 , ,所以 , 所以 , . (2) . 【点睛】 本题主要考查三角函数的恒等变换,同时考查同角三角函数关系,属于简单题. 50.(1)1或2;(2) . 【解析】 【分析】 (1)由题设 ,应用斜率的两点式列方程求m值,注意验证结果. (2)根据斜率与倾斜角关系,应用倍角正切公式求直线 的斜率. 【详解】 (1)由 ,即 ,解得 或 , 经检验均符合题意,故m的值是1或2; (2)设直线 的倾斜角为 ,则直线 的倾斜角为 . 由已知, ,则直线 的斜率为 . 第 27 页第 28 页