当前位置:首页>文档>微专题二次函数的图象和性质学案-2023届高考数学一轮《考点·题型·技巧》精讲与精练_02高考数学_通用版(老高考)复习资料_2023年复习资料_一轮复习

微专题二次函数的图象和性质学案-2023届高考数学一轮《考点·题型·技巧》精讲与精练_02高考数学_通用版(老高考)复习资料_2023年复习资料_一轮复习

  • 2026-04-15 07:56:00 2026-04-15 07:55:10

文档预览

微专题二次函数的图象和性质学案-2023届高考数学一轮《考点·题型·技巧》精讲与精练_02高考数学_通用版(老高考)复习资料_2023年复习资料_一轮复习
微专题二次函数的图象和性质学案-2023届高考数学一轮《考点·题型·技巧》精讲与精练_02高考数学_通用版(老高考)复习资料_2023年复习资料_一轮复习
微专题二次函数的图象和性质学案-2023届高考数学一轮《考点·题型·技巧》精讲与精练_02高考数学_通用版(老高考)复习资料_2023年复习资料_一轮复习
微专题二次函数的图象和性质学案-2023届高考数学一轮《考点·题型·技巧》精讲与精练_02高考数学_通用版(老高考)复习资料_2023年复习资料_一轮复习
微专题二次函数的图象和性质学案-2023届高考数学一轮《考点·题型·技巧》精讲与精练_02高考数学_通用版(老高考)复习资料_2023年复习资料_一轮复习
微专题二次函数的图象和性质学案-2023届高考数学一轮《考点·题型·技巧》精讲与精练_02高考数学_通用版(老高考)复习资料_2023年复习资料_一轮复习
微专题二次函数的图象和性质学案-2023届高考数学一轮《考点·题型·技巧》精讲与精练_02高考数学_通用版(老高考)复习资料_2023年复习资料_一轮复习
微专题二次函数的图象和性质学案-2023届高考数学一轮《考点·题型·技巧》精讲与精练_02高考数学_通用版(老高考)复习资料_2023年复习资料_一轮复习
微专题二次函数的图象和性质学案-2023届高考数学一轮《考点·题型·技巧》精讲与精练_02高考数学_通用版(老高考)复习资料_2023年复习资料_一轮复习
微专题二次函数的图象和性质学案-2023届高考数学一轮《考点·题型·技巧》精讲与精练_02高考数学_通用版(老高考)复习资料_2023年复习资料_一轮复习
微专题二次函数的图象和性质学案-2023届高考数学一轮《考点·题型·技巧》精讲与精练_02高考数学_通用版(老高考)复习资料_2023年复习资料_一轮复习
微专题二次函数的图象和性质学案-2023届高考数学一轮《考点·题型·技巧》精讲与精练_02高考数学_通用版(老高考)复习资料_2023年复习资料_一轮复习
微专题二次函数的图象和性质学案-2023届高考数学一轮《考点·题型·技巧》精讲与精练_02高考数学_通用版(老高考)复习资料_2023年复习资料_一轮复习
微专题二次函数的图象和性质学案-2023届高考数学一轮《考点·题型·技巧》精讲与精练_02高考数学_通用版(老高考)复习资料_2023年复习资料_一轮复习
微专题二次函数的图象和性质学案-2023届高考数学一轮《考点·题型·技巧》精讲与精练_02高考数学_通用版(老高考)复习资料_2023年复习资料_一轮复习
微专题二次函数的图象和性质学案-2023届高考数学一轮《考点·题型·技巧》精讲与精练_02高考数学_通用版(老高考)复习资料_2023年复习资料_一轮复习
微专题二次函数的图象和性质学案-2023届高考数学一轮《考点·题型·技巧》精讲与精练_02高考数学_通用版(老高考)复习资料_2023年复习资料_一轮复习
微专题二次函数的图象和性质学案-2023届高考数学一轮《考点·题型·技巧》精讲与精练_02高考数学_通用版(老高考)复习资料_2023年复习资料_一轮复习
微专题二次函数的图象和性质学案-2023届高考数学一轮《考点·题型·技巧》精讲与精练_02高考数学_通用版(老高考)复习资料_2023年复习资料_一轮复习
微专题二次函数的图象和性质学案-2023届高考数学一轮《考点·题型·技巧》精讲与精练_02高考数学_通用版(老高考)复习资料_2023年复习资料_一轮复习
微专题二次函数的图象和性质学案-2023届高考数学一轮《考点·题型·技巧》精讲与精练_02高考数学_通用版(老高考)复习资料_2023年复习资料_一轮复习
微专题二次函数的图象和性质学案-2023届高考数学一轮《考点·题型·技巧》精讲与精练_02高考数学_通用版(老高考)复习资料_2023年复习资料_一轮复习
微专题二次函数的图象和性质学案-2023届高考数学一轮《考点·题型·技巧》精讲与精练_02高考数学_通用版(老高考)复习资料_2023年复习资料_一轮复习
微专题二次函数的图象和性质学案-2023届高考数学一轮《考点·题型·技巧》精讲与精练_02高考数学_通用版(老高考)复习资料_2023年复习资料_一轮复习
微专题二次函数的图象和性质学案-2023届高考数学一轮《考点·题型·技巧》精讲与精练_02高考数学_通用版(老高考)复习资料_2023年复习资料_一轮复习
微专题二次函数的图象和性质学案-2023届高考数学一轮《考点·题型·技巧》精讲与精练_02高考数学_通用版(老高考)复习资料_2023年复习资料_一轮复习
微专题二次函数的图象和性质学案-2023届高考数学一轮《考点·题型·技巧》精讲与精练_02高考数学_通用版(老高考)复习资料_2023年复习资料_一轮复习
微专题二次函数的图象和性质学案-2023届高考数学一轮《考点·题型·技巧》精讲与精练_02高考数学_通用版(老高考)复习资料_2023年复习资料_一轮复习
微专题二次函数的图象和性质学案-2023届高考数学一轮《考点·题型·技巧》精讲与精练_02高考数学_通用版(老高考)复习资料_2023年复习资料_一轮复习
微专题二次函数的图象和性质学案-2023届高考数学一轮《考点·题型·技巧》精讲与精练_02高考数学_通用版(老高考)复习资料_2023年复习资料_一轮复习
微专题二次函数的图象和性质学案-2023届高考数学一轮《考点·题型·技巧》精讲与精练_02高考数学_通用版(老高考)复习资料_2023年复习资料_一轮复习
微专题二次函数的图象和性质学案-2023届高考数学一轮《考点·题型·技巧》精讲与精练_02高考数学_通用版(老高考)复习资料_2023年复习资料_一轮复习
微专题二次函数的图象和性质学案-2023届高考数学一轮《考点·题型·技巧》精讲与精练_02高考数学_通用版(老高考)复习资料_2023年复习资料_一轮复习
微专题二次函数的图象和性质学案-2023届高考数学一轮《考点·题型·技巧》精讲与精练_02高考数学_通用版(老高考)复习资料_2023年复习资料_一轮复习
微专题二次函数的图象和性质学案-2023届高考数学一轮《考点·题型·技巧》精讲与精练_02高考数学_通用版(老高考)复习资料_2023年复习资料_一轮复习
微专题二次函数的图象和性质学案-2023届高考数学一轮《考点·题型·技巧》精讲与精练_02高考数学_通用版(老高考)复习资料_2023年复习资料_一轮复习
微专题二次函数的图象和性质学案-2023届高考数学一轮《考点·题型·技巧》精讲与精练_02高考数学_通用版(老高考)复习资料_2023年复习资料_一轮复习
微专题二次函数的图象和性质学案-2023届高考数学一轮《考点·题型·技巧》精讲与精练_02高考数学_通用版(老高考)复习资料_2023年复习资料_一轮复习
微专题二次函数的图象和性质学案-2023届高考数学一轮《考点·题型·技巧》精讲与精练_02高考数学_通用版(老高考)复习资料_2023年复习资料_一轮复习

文档信息

文档格式
docx
文档大小
1.747 MB
文档页数
35 页
上传时间
2026-04-15 07:55:10

文档内容

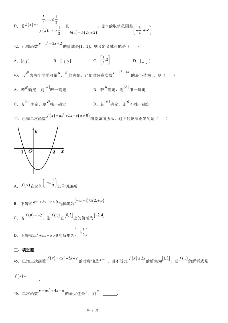
微专题:二次函数的图象和性质 【考点梳理】 1. 二次函数 (1)二次函数解析式的三种形式 ①一般式:f(x)= ax 2 + bx + c (a≠0). ②顶点式:f(x)=a(x-h)2+k(a≠0). ③零点式:f(x)=a(x-x)(x-x)(a≠0). 1 2 (2)二次函数的图象与性质:二次函数f(x)=ax2+bx+c(a≠0)的图象是一条抛物线,它的对称轴、顶点坐标、开 口方向、值域、单调性分别是: ①对称轴:x=-. ②顶点坐标:. ③开口方向:a>0时,开口向上;a<0时,开口向下. ④值域:a>0时,y∈;a<0时,y∈ . ⑤单调性:a>0时,f(x)在上单调递减,在上单调递增;a<0时,f(x)在上单调递增,在上单调递减. (3)三个“二次”之间的关系:二次函数f(x)=ax2+bx+c(a≠0)的零点(图象与x轴交点的横坐标)是相应一元二 次方程ax2+bx+c=0的根,也是一元二次不等式ax2+bx+c≥0(或ax2+bx+c≤0)解集的端点值. (4)二次函数在闭区间上的最值:二次函数在闭区间上必有最大值和最小值. 它只能在区间的端点或二次函数的顶 点处取得,可分别求值再比较大小,最后确定最值. 2. 二次函数相关常用结论 对于二次函数f(x)=ax2+bx+c(a≠0): (1)|a|越大,抛物线开口越小;|a|越小,抛物线开口越大. (2)f(1)=a+b+c,f(-1)=a-b+c,f(0)=c. (3)|AB|=|x-x|==,其中A(x,0),B(x,0)为二次函数与x轴的交点. 1 2 1 2 (4)若对f(x)定义域内任意两个不等的自变量x,x,有f(x)=f(x),则y=f(x)的图象关于直线x=对称. 1 2 1 2 【题型归纳】 题型一:求二次函数的值域或最值 1.已知集合 ,集合 ,则 ( ) A. B. C. D. 2.函数 在区间 上的最大值、最小值分别是( ) A. B. C. D.最小值是 ,无最大值 第 1 页 学学科科网网((北北京京))股股份份有有限限公公司司3.已知函数 R).当 时,设 的最大值为 ,则 的最小值为( ) A. B. C. D. 题型二:判断二次函数的单调性和求解单调区间 4.下列函数中,在 上为增函数的是( ) A. B. C. D. 5.下列函数中,是偶函数且在区间 上为增函数的是( ) A. B. C. D. 6.函数 的单调递减区间是( ) A. B. C. D. 题型三:与二次函数相关的复合函数问题 7.已知函数 ,若 (其中 ),则 的最小值为( ). A. B. C.2 D. 8.函数 的值域为( ) A. B. C. D. 9.函数 的最小值是( ). A.10 B.1 C.11 D. 题型四: 已知二次函数单调区间求参数值或范围 10.“ ”是“函数 在区间 上单调递减”的( ) 第 2 页 学学科科网网((北北京京))股股份份有有限限公公司司A.必要不充分条件 B.充分不必要条件 C.充要条件 D.既不充分也不必要条件 11.若函数 在 上是减函数,则实数m的取值范围是( ) A. B. C. D. 12.已知函数 在 上是增函数,则实数 的取值范围为( ) A. B. C. D. 题型五:根据二次函数的最值或值域求参数 13.若函数 的最大值是2,则 ( ) A. B. C. D. 14.设 ,函数 ,若 的最小值为 ,则实数 的取值范围为( ) A. B. C. D. 15.已知二次函数 的值域为 ,则 的最小值为( ) A. B. C. D. 【双基达标】 16.若 ,使得不等式 成立,则实数 的取值范围为( ) A. B. C. D. 17.已知关于 的不等式 在 上恒成立(其中 、 ),则( ) A.当 时,存在 满足题意 B.当 时,不存在 满足题意 C.当 时,存在 满足题意 D.当 时,不存在 满足题意 第 3 页 学学科科网网((北北京京))股股份份有有限限公公司司18.函数 的值域是( ) A. B. C. D. 19.设函数 在区间 上是减函数,则实数a的取值范围是( ) A. B. C. D. 20.设 是椭圆 的上顶点,若 上的任意一点 都满足 ,则 的离心率的取值范 围是( ) A. B. C. D. 21.对数函数y=logax(a>0且a≠1)与二次函数y=(a﹣1)x2﹣x在同一坐标系内的图象可能是( ) A. B. C. D. 22.已知直线 , 与两坐标轴分别交于 、 两点.当 的面积取最小 值时( 为坐标原点),则 的值为( ) A. B. C. D. 23.已知函数 ,则 的最小值是( ) A. B.2 C.1 D.0 24.函数 ( 且 )与函数 ( 且 )在同一个坐标系内的图象可能是 ( ) 第 4 页 学学科科网网((北北京京))股股份份有有限限公公司司A. B. C. D. 25.设集合 , ,则 ( ) A. 或 B. C. D. 26.函数 在区间 上单调递增,则 的取值范围是有( ) A. B. C. D. 27.若不等式 的解集为 ,则函数 的图象可以为( ) A. B. C. D. 28.已知函数 在 上为单调递增函数,则实数m的取值范围为( ) A. B. C. D. 第 5 页 学学科科网网((北北京京))股股份份有有限限公公司司29.已知O为坐标原点,向量 ,点Q在直线 上运动,则当 取得最 小值时,点Q的坐标为( ) A. B. C. D. 30.若函数 在 上是减函数,则实数m的取值范围是( ) A. B. C. D. 【高分突破】 一、单选题 31.若函数 的值域为 ,则实数 的取值范围是( ) A. B. C. D. 32.设函数 的定义域为 ,满足 ,且当 时, .若对任意 ,都有 ,则 的取值范围是( ) A. B. C. D. 33.函数 的值域是( ) A. B. C. D. 34.函数 满足条件:对任意的 ,都有 ,则实数a的取值范 围是( ) A. B. C. 且 D. 第 6 页 学学科科网网((北北京京))股股份份有有限限公公司司35.下列函数中,在 上单调递减的是( ) A. B. C. D. 36.已知函数 的值域为 ,则实数 的取值范围是( ) A. B. C. D. 37.在R上定义运算:a⊕b=(a+1)b.已知1≤x≤2时,存在x使不等式(m-x)⊕(m+x)<4成立,则实数m的取值范围 为( ) A.{m|-2