当前位置:首页>文档>热点专题4-2三角恒等变换16类常考题型汇总(解析版)-2025年高考数学热点题型追踪与重难点专题突破(新高考专用)_2025年新高考资料_二轮复习

热点专题4-2三角恒等变换16类常考题型汇总(解析版)-2025年高考数学热点题型追踪与重难点专题突破(新高考专用)_2025年新高考资料_二轮复习

  • 2026-04-15 15:29:55 2026-04-15 15:27:29

文档预览

热点专题4-2三角恒等变换16类常考题型汇总(解析版)-2025年高考数学热点题型追踪与重难点专题突破(新高考专用)_2025年新高考资料_二轮复习
热点专题4-2三角恒等变换16类常考题型汇总(解析版)-2025年高考数学热点题型追踪与重难点专题突破(新高考专用)_2025年新高考资料_二轮复习
热点专题4-2三角恒等变换16类常考题型汇总(解析版)-2025年高考数学热点题型追踪与重难点专题突破(新高考专用)_2025年新高考资料_二轮复习
热点专题4-2三角恒等变换16类常考题型汇总(解析版)-2025年高考数学热点题型追踪与重难点专题突破(新高考专用)_2025年新高考资料_二轮复习
热点专题4-2三角恒等变换16类常考题型汇总(解析版)-2025年高考数学热点题型追踪与重难点专题突破(新高考专用)_2025年新高考资料_二轮复习
热点专题4-2三角恒等变换16类常考题型汇总(解析版)-2025年高考数学热点题型追踪与重难点专题突破(新高考专用)_2025年新高考资料_二轮复习
热点专题4-2三角恒等变换16类常考题型汇总(解析版)-2025年高考数学热点题型追踪与重难点专题突破(新高考专用)_2025年新高考资料_二轮复习
热点专题4-2三角恒等变换16类常考题型汇总(解析版)-2025年高考数学热点题型追踪与重难点专题突破(新高考专用)_2025年新高考资料_二轮复习
热点专题4-2三角恒等变换16类常考题型汇总(解析版)-2025年高考数学热点题型追踪与重难点专题突破(新高考专用)_2025年新高考资料_二轮复习
热点专题4-2三角恒等变换16类常考题型汇总(解析版)-2025年高考数学热点题型追踪与重难点专题突破(新高考专用)_2025年新高考资料_二轮复习
热点专题4-2三角恒等变换16类常考题型汇总(解析版)-2025年高考数学热点题型追踪与重难点专题突破(新高考专用)_2025年新高考资料_二轮复习
热点专题4-2三角恒等变换16类常考题型汇总(解析版)-2025年高考数学热点题型追踪与重难点专题突破(新高考专用)_2025年新高考资料_二轮复习

文档信息

文档格式
docx
文档大小
2.014 MB
文档页数
8 页
上传时间
2026-04-15 15:27:29

文档内容

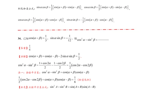
专题模4块-2二 三角恒核等心题变型换·举1一6反类三常考题型汇总 近5年考情(2020-2024) 考题统计 考点分析 考点要求 2024年I卷第4题,5分 已知二倍角余弦值,求角的正 2024年II卷第13题,5分 弦值 根据给定条件,利用和角、差 2023年新高考二卷,第7题,5 角的正弦公式求出 分 ,再利用二倍角的余弦公式计 二重根式化简 2023年新高考I卷,第8题,5 算作答 二倍角公式 分 由两角和差的正余弦公式化 和差公式+二倍角公式 2022年新高考II卷,第6题,5 简,结合同角三角函数的商数 有和差化积的背景 分 关系 和差公式 2021年新高考I卷,第6题,5 根据 的值,对齐次式化 正余弦齐次式计算 分 简,结合二倍角的平方式 二倍角公式 模块一 热点题型解读(目录)【题型15】和差化积与积化和差 和差化积公式: , , , 积化和差公式: , , , . 34.已知 , ,则 ________ 【答案】 【详解】 , 法一:余弦平方差: (和差化积) 【补充】正弦平方差公式: 法二:换元法 令 , ,则 , 即 , , 故 35.(2024·湖北·阶段练习)已知函数 , ,若 有两个零点 ,则( )A. B. C. D. 【答案】C 【分析】AB选项,根据题目条件得到 , 或 , ,结合 得到答案;C选项, ,利用和差化积公式得到答案;D选项,根据 得到D错误. 【详解】AB选项,令 得 , 故 或 , 所以 , 或 , , 解得 , 或 , , 由 ,故当 时,解得 , ,A、B错误; C选项, ,C正确, D选项,因为 ,所以 ,D错误. 故选:C. 【点睛】和差化积公式: , , , . 【巩固练习1】(全国·高考真题) 的值是( ) A. B. C. D. 【答案】A【分析】根据积化和差及诱导公式即得. 【详解】 . 【巩固练习2】 ( ) A.0 B. C. D. 【答案】C 【分析】利用两角和差的余弦公式和诱导公式化简即可. 【详解】 【巩固练习3】(2023·江苏常州·高一联考)已知 则 的 值为 . 【答案】 【分析】应用三角函数的恒等变换公式对 变形求得 , 再由 求得 ,可得结论. 【详解】 , 所以 ,, 所以 . 【巩固练习4】知对任意的角α,β,满足 , .则当 , 时, ;若 ,则 (填“>”“<”或“=”). 【答案】 【分析】利用和差化积化简,再两式相除得到答案;利用积化和差及同角三角函数关系求出答案. 【详解】由题意知 ①, ②, ①式除以②式,得 ; 若 ,则 , 故 ,即 . 【题型16】拆角与凑角进阶 换元+齐次化 推论公式: 2024 ·湖北省宜荆荆随恩1月联考第7 题 36.已知 ,则 的值为【答案】D tanx 4  【详解】可换元为 ,求 ,且 tan y 15 sin(x y) 2024·湖南十八校联盟·3月月考 1   sin 37.已知cos , ,则cos cos  ,  . 3 coscos1 2 2 sinsin 1 2 【答案】 2 3 【详解】 令 , 则 可以写成 , 可以写成 ,   1 (1)故 ,故cos cos  2 2 2 (2) 可以对 分类讨论,求出分别对应的 的值 那有没有什么办法可以不用讨论 的正负呢? 【巩固练习1】2024·河北石家庄·统考 已知 , 是方程 的两个实数根,则 ( ) A. B. C. D. 【答案】D【详解】因为 , 是方程 的两个实数根, 所以 , , 设 , ,则 , 因为 . 【巩固练习2】2019·江苏高考填空倒数第2题 已知 ,则 的值是________ 【答案】 【解答】 换元法 tanx 2 可换元为  ,求 ,且 tan y 3 sin(x y) 常规法 tan tan tan1tan 2    由   tan1 tan1 3, tan   4 1tan 得3tan25tan20, 1 解得 ,或tan . tan2 3 sin    2  4    sin2cos  4 cos2sin  4  2 2 sin2cos2= 2 2   2sinc s o in s 2   c c o o s s 2 2 sin2   22tan1tan2 =  , 2  tan21  222122  2 当 时,上式=  = ; tan2 2  221  10  1  1 2  2 1   当 时,上式= 2   3  3 = 2 . 1 2   1 2  10 tan    1  3   3    2 综上,sin2  .  4 10 【巩固练习3】2024·雅礼中学·3月综合测试(一)    1   已知    tan  2  tan 2      1tantan 2   6 , tantan     2     3 ,则 cos44 ( ) 79 79 49 49 A. B. C. D. 81 81 81 81 【答案】A 【分析】结合二倍角公式和两角和差公式化简即可求得.      1tan2 2tan2 【详解】   tan  1  tan  2       1tantan  2    6, tan  2    1 1tan2  2     6.  2  2  2     2cos 1tan2 2tan2  2 2  6, sin   1tan2   2    2cos 1tan2  2 sin  1tan2    6,2cos  1 6 ,  2  sin cos 1 1 sin ,sincoscossin , 3 3   又因为tantan 3,所以 ,  2  sincos3cossin 1 1 2 则cossin ,sincos ,所以sinsincoscossin 6 2 3 4 1 cos2212sin212  . 9 9 1 79 cos442cos22212 1 . 81 81