当前位置:首页>文档>特训11空间向量与立体几何动态问题(四大题型)(解析版)_2025年新高考资料_一轮复习_2025年高考数学一轮复习《重难点题型与知识梳理•高分突破》(新高考专用)

特训11空间向量与立体几何动态问题(四大题型)(解析版)_2025年新高考资料_一轮复习_2025年高考数学一轮复习《重难点题型与知识梳理•高分突破》(新高考专用)

  • 2026-04-15 17:56:15 2026-04-15 17:55:44

文档预览

特训11空间向量与立体几何动态问题(四大题型)(解析版)_2025年新高考资料_一轮复习_2025年高考数学一轮复习《重难点题型与知识梳理•高分突破》(新高考专用)
特训11空间向量与立体几何动态问题(四大题型)(解析版)_2025年新高考资料_一轮复习_2025年高考数学一轮复习《重难点题型与知识梳理•高分突破》(新高考专用)
特训11空间向量与立体几何动态问题(四大题型)(解析版)_2025年新高考资料_一轮复习_2025年高考数学一轮复习《重难点题型与知识梳理•高分突破》(新高考专用)
特训11空间向量与立体几何动态问题(四大题型)(解析版)_2025年新高考资料_一轮复习_2025年高考数学一轮复习《重难点题型与知识梳理•高分突破》(新高考专用)
特训11空间向量与立体几何动态问题(四大题型)(解析版)_2025年新高考资料_一轮复习_2025年高考数学一轮复习《重难点题型与知识梳理•高分突破》(新高考专用)
特训11空间向量与立体几何动态问题(四大题型)(解析版)_2025年新高考资料_一轮复习_2025年高考数学一轮复习《重难点题型与知识梳理•高分突破》(新高考专用)
特训11空间向量与立体几何动态问题(四大题型)(解析版)_2025年新高考资料_一轮复习_2025年高考数学一轮复习《重难点题型与知识梳理•高分突破》(新高考专用)
特训11空间向量与立体几何动态问题(四大题型)(解析版)_2025年新高考资料_一轮复习_2025年高考数学一轮复习《重难点题型与知识梳理•高分突破》(新高考专用)
特训11空间向量与立体几何动态问题(四大题型)(解析版)_2025年新高考资料_一轮复习_2025年高考数学一轮复习《重难点题型与知识梳理•高分突破》(新高考专用)
特训11空间向量与立体几何动态问题(四大题型)(解析版)_2025年新高考资料_一轮复习_2025年高考数学一轮复习《重难点题型与知识梳理•高分突破》(新高考专用)
特训11空间向量与立体几何动态问题(四大题型)(解析版)_2025年新高考资料_一轮复习_2025年高考数学一轮复习《重难点题型与知识梳理•高分突破》(新高考专用)
特训11空间向量与立体几何动态问题(四大题型)(解析版)_2025年新高考资料_一轮复习_2025年高考数学一轮复习《重难点题型与知识梳理•高分突破》(新高考专用)
特训11空间向量与立体几何动态问题(四大题型)(解析版)_2025年新高考资料_一轮复习_2025年高考数学一轮复习《重难点题型与知识梳理•高分突破》(新高考专用)
特训11空间向量与立体几何动态问题(四大题型)(解析版)_2025年新高考资料_一轮复习_2025年高考数学一轮复习《重难点题型与知识梳理•高分突破》(新高考专用)
特训11空间向量与立体几何动态问题(四大题型)(解析版)_2025年新高考资料_一轮复习_2025年高考数学一轮复习《重难点题型与知识梳理•高分突破》(新高考专用)
特训11空间向量与立体几何动态问题(四大题型)(解析版)_2025年新高考资料_一轮复习_2025年高考数学一轮复习《重难点题型与知识梳理•高分突破》(新高考专用)
特训11空间向量与立体几何动态问题(四大题型)(解析版)_2025年新高考资料_一轮复习_2025年高考数学一轮复习《重难点题型与知识梳理•高分突破》(新高考专用)
特训11空间向量与立体几何动态问题(四大题型)(解析版)_2025年新高考资料_一轮复习_2025年高考数学一轮复习《重难点题型与知识梳理•高分突破》(新高考专用)
特训11空间向量与立体几何动态问题(四大题型)(解析版)_2025年新高考资料_一轮复习_2025年高考数学一轮复习《重难点题型与知识梳理•高分突破》(新高考专用)
特训11空间向量与立体几何动态问题(四大题型)(解析版)_2025年新高考资料_一轮复习_2025年高考数学一轮复习《重难点题型与知识梳理•高分突破》(新高考专用)
特训11空间向量与立体几何动态问题(四大题型)(解析版)_2025年新高考资料_一轮复习_2025年高考数学一轮复习《重难点题型与知识梳理•高分突破》(新高考专用)
特训11空间向量与立体几何动态问题(四大题型)(解析版)_2025年新高考资料_一轮复习_2025年高考数学一轮复习《重难点题型与知识梳理•高分突破》(新高考专用)
特训11空间向量与立体几何动态问题(四大题型)(解析版)_2025年新高考资料_一轮复习_2025年高考数学一轮复习《重难点题型与知识梳理•高分突破》(新高考专用)
特训11空间向量与立体几何动态问题(四大题型)(解析版)_2025年新高考资料_一轮复习_2025年高考数学一轮复习《重难点题型与知识梳理•高分突破》(新高考专用)
特训11空间向量与立体几何动态问题(四大题型)(解析版)_2025年新高考资料_一轮复习_2025年高考数学一轮复习《重难点题型与知识梳理•高分突破》(新高考专用)
特训11空间向量与立体几何动态问题(四大题型)(解析版)_2025年新高考资料_一轮复习_2025年高考数学一轮复习《重难点题型与知识梳理•高分突破》(新高考专用)
特训11空间向量与立体几何动态问题(四大题型)(解析版)_2025年新高考资料_一轮复习_2025年高考数学一轮复习《重难点题型与知识梳理•高分突破》(新高考专用)
特训11空间向量与立体几何动态问题(四大题型)(解析版)_2025年新高考资料_一轮复习_2025年高考数学一轮复习《重难点题型与知识梳理•高分突破》(新高考专用)
特训11空间向量与立体几何动态问题(四大题型)(解析版)_2025年新高考资料_一轮复习_2025年高考数学一轮复习《重难点题型与知识梳理•高分突破》(新高考专用)
特训11空间向量与立体几何动态问题(四大题型)(解析版)_2025年新高考资料_一轮复习_2025年高考数学一轮复习《重难点题型与知识梳理•高分突破》(新高考专用)
特训11空间向量与立体几何动态问题(四大题型)(解析版)_2025年新高考资料_一轮复习_2025年高考数学一轮复习《重难点题型与知识梳理•高分突破》(新高考专用)
特训11空间向量与立体几何动态问题(四大题型)(解析版)_2025年新高考资料_一轮复习_2025年高考数学一轮复习《重难点题型与知识梳理•高分突破》(新高考专用)
特训11空间向量与立体几何动态问题(四大题型)(解析版)_2025年新高考资料_一轮复习_2025年高考数学一轮复习《重难点题型与知识梳理•高分突破》(新高考专用)
特训11空间向量与立体几何动态问题(四大题型)(解析版)_2025年新高考资料_一轮复习_2025年高考数学一轮复习《重难点题型与知识梳理•高分突破》(新高考专用)
特训11空间向量与立体几何动态问题(四大题型)(解析版)_2025年新高考资料_一轮复习_2025年高考数学一轮复习《重难点题型与知识梳理•高分突破》(新高考专用)
特训11空间向量与立体几何动态问题(四大题型)(解析版)_2025年新高考资料_一轮复习_2025年高考数学一轮复习《重难点题型与知识梳理•高分突破》(新高考专用)
特训11空间向量与立体几何动态问题(四大题型)(解析版)_2025年新高考资料_一轮复习_2025年高考数学一轮复习《重难点题型与知识梳理•高分突破》(新高考专用)
特训11空间向量与立体几何动态问题(四大题型)(解析版)_2025年新高考资料_一轮复习_2025年高考数学一轮复习《重难点题型与知识梳理•高分突破》(新高考专用)
特训11空间向量与立体几何动态问题(四大题型)(解析版)_2025年新高考资料_一轮复习_2025年高考数学一轮复习《重难点题型与知识梳理•高分突破》(新高考专用)
特训11空间向量与立体几何动态问题(四大题型)(解析版)_2025年新高考资料_一轮复习_2025年高考数学一轮复习《重难点题型与知识梳理•高分突破》(新高考专用)
特训11空间向量与立体几何动态问题(四大题型)(解析版)_2025年新高考资料_一轮复习_2025年高考数学一轮复习《重难点题型与知识梳理•高分突破》(新高考专用)
特训11空间向量与立体几何动态问题(四大题型)(解析版)_2025年新高考资料_一轮复习_2025年高考数学一轮复习《重难点题型与知识梳理•高分突破》(新高考专用)
特训11空间向量与立体几何动态问题(四大题型)(解析版)_2025年新高考资料_一轮复习_2025年高考数学一轮复习《重难点题型与知识梳理•高分突破》(新高考专用)
特训11空间向量与立体几何动态问题(四大题型)(解析版)_2025年新高考资料_一轮复习_2025年高考数学一轮复习《重难点题型与知识梳理•高分突破》(新高考专用)
特训11空间向量与立体几何动态问题(四大题型)(解析版)_2025年新高考资料_一轮复习_2025年高考数学一轮复习《重难点题型与知识梳理•高分突破》(新高考专用)
特训11空间向量与立体几何动态问题(四大题型)(解析版)_2025年新高考资料_一轮复习_2025年高考数学一轮复习《重难点题型与知识梳理•高分突破》(新高考专用)
特训11空间向量与立体几何动态问题(四大题型)(解析版)_2025年新高考资料_一轮复习_2025年高考数学一轮复习《重难点题型与知识梳理•高分突破》(新高考专用)
特训11空间向量与立体几何动态问题(四大题型)(解析版)_2025年新高考资料_一轮复习_2025年高考数学一轮复习《重难点题型与知识梳理•高分突破》(新高考专用)
特训11空间向量与立体几何动态问题(四大题型)(解析版)_2025年新高考资料_一轮复习_2025年高考数学一轮复习《重难点题型与知识梳理•高分突破》(新高考专用)
特训11空间向量与立体几何动态问题(四大题型)(解析版)_2025年新高考资料_一轮复习_2025年高考数学一轮复习《重难点题型与知识梳理•高分突破》(新高考专用)
特训11空间向量与立体几何动态问题(四大题型)(解析版)_2025年新高考资料_一轮复习_2025年高考数学一轮复习《重难点题型与知识梳理•高分突破》(新高考专用)
特训11空间向量与立体几何动态问题(四大题型)(解析版)_2025年新高考资料_一轮复习_2025年高考数学一轮复习《重难点题型与知识梳理•高分突破》(新高考专用)
特训11空间向量与立体几何动态问题(四大题型)(解析版)_2025年新高考资料_一轮复习_2025年高考数学一轮复习《重难点题型与知识梳理•高分突破》(新高考专用)
特训11空间向量与立体几何动态问题(四大题型)(解析版)_2025年新高考资料_一轮复习_2025年高考数学一轮复习《重难点题型与知识梳理•高分突破》(新高考专用)
特训11空间向量与立体几何动态问题(四大题型)(解析版)_2025年新高考资料_一轮复习_2025年高考数学一轮复习《重难点题型与知识梳理•高分突破》(新高考专用)
特训11空间向量与立体几何动态问题(四大题型)(解析版)_2025年新高考资料_一轮复习_2025年高考数学一轮复习《重难点题型与知识梳理•高分突破》(新高考专用)
特训11空间向量与立体几何动态问题(四大题型)(解析版)_2025年新高考资料_一轮复习_2025年高考数学一轮复习《重难点题型与知识梳理•高分突破》(新高考专用)
特训11空间向量与立体几何动态问题(四大题型)(解析版)_2025年新高考资料_一轮复习_2025年高考数学一轮复习《重难点题型与知识梳理•高分突破》(新高考专用)
特训11空间向量与立体几何动态问题(四大题型)(解析版)_2025年新高考资料_一轮复习_2025年高考数学一轮复习《重难点题型与知识梳理•高分突破》(新高考专用)
特训11空间向量与立体几何动态问题(四大题型)(解析版)_2025年新高考资料_一轮复习_2025年高考数学一轮复习《重难点题型与知识梳理•高分突破》(新高考专用)
特训11空间向量与立体几何动态问题(四大题型)(解析版)_2025年新高考资料_一轮复习_2025年高考数学一轮复习《重难点题型与知识梳理•高分突破》(新高考专用)
特训11空间向量与立体几何动态问题(四大题型)(解析版)_2025年新高考资料_一轮复习_2025年高考数学一轮复习《重难点题型与知识梳理•高分突破》(新高考专用)
特训11空间向量与立体几何动态问题(四大题型)(解析版)_2025年新高考资料_一轮复习_2025年高考数学一轮复习《重难点题型与知识梳理•高分突破》(新高考专用)

文档信息

文档格式
docx
文档大小
6.578 MB
文档页数
59 页
上传时间
2026-04-15 17:55:44

文档内容

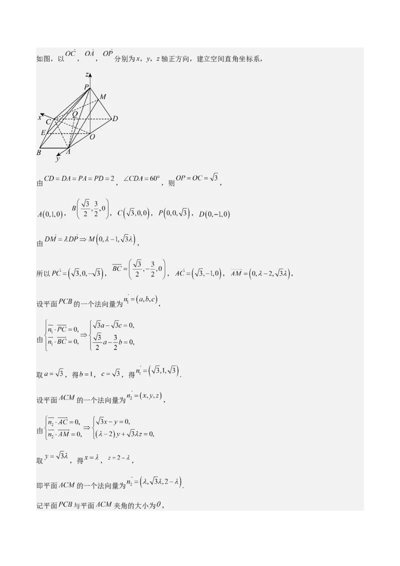
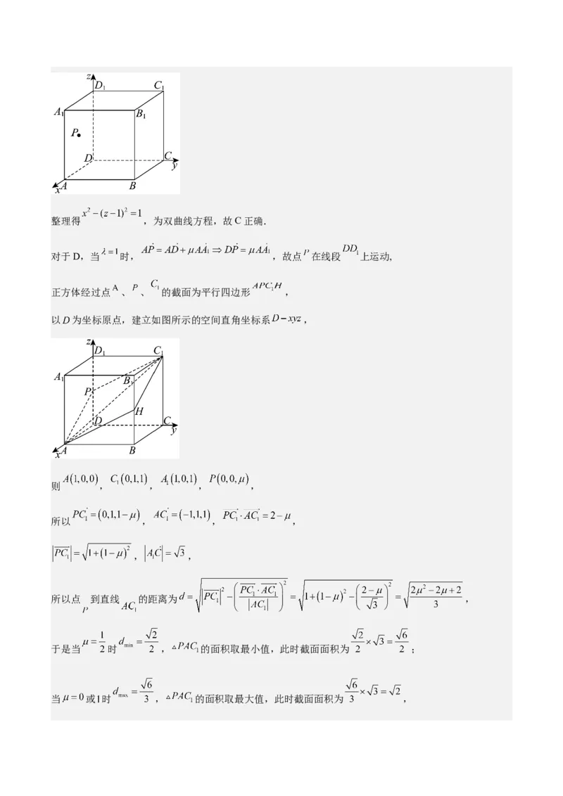
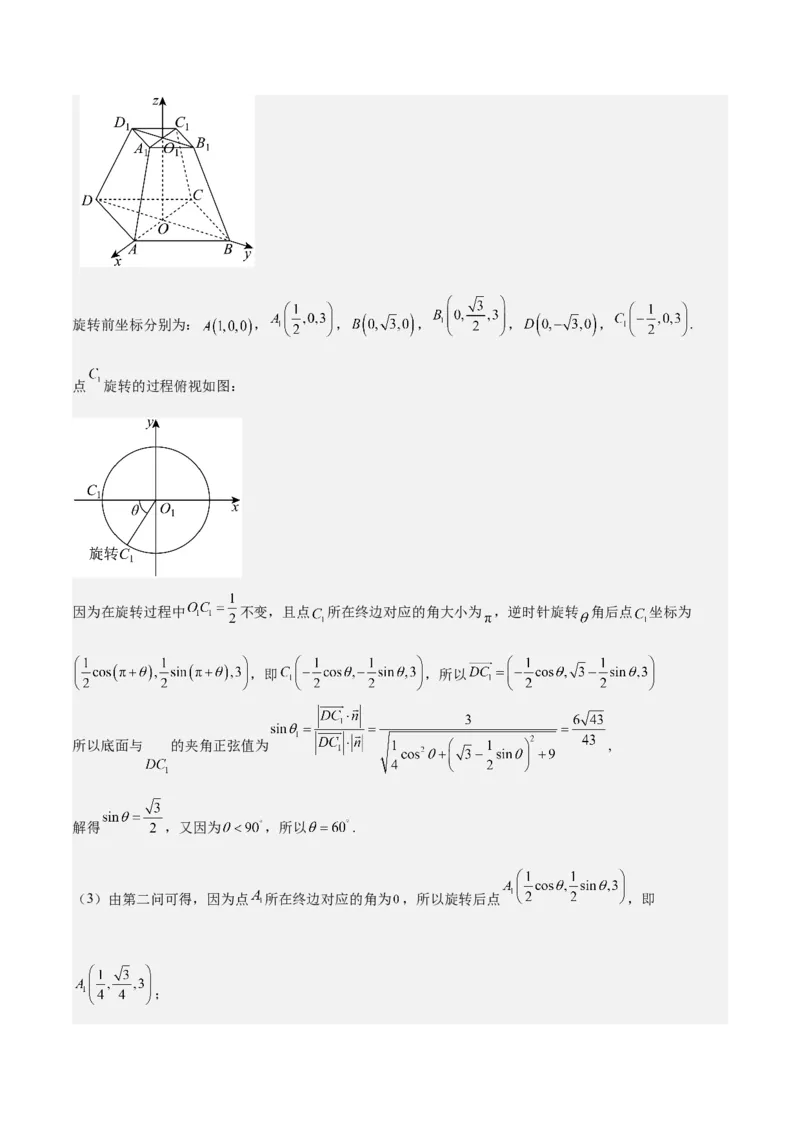
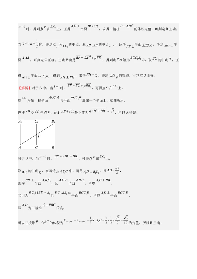
特训 11 空间向量与立体几何动态问题(四大题型) 探索性问题: (1)对于存在判断型问题的求解,应先假设存在,把要成立的结论当作条件,据此列方程或方程组, 把“是否存在”问题转化为“点的坐标是否有解,是否有规定范围内的解”等. (2)对于位置探究型问题,通常借助向量,引进参数,综合已知和结论列出等式,解出参数. 最值或取值范围问题: 在动态变化过程中产生的体积最大、距离最大(小)、角的范围等问题,常用的思路是: (1)直观判断:在变化过程中判断点、线、面在何位置时,所求的量有相应最大、最小值,即可求 解. (2)函数思想:通过建系或引入变量,把这类动态问题转化为目标函数,从而利用代数方法求目标函 数的最值. 目录: 01 :立体几何中的探索性问题 02: 空间位置关系的判定 03: 轨迹问题 04: 最值、取值范围问题 01 :立体几何中的探索性问题 例1 如图,在三棱柱 中,四边形 为正方形,四边形 为菱形,且 , 平面 平面 ,点 为棱 的中点.(1)求证: ; (2)棱 (除两端点外)上是否存在点 ,使得二面角 的余弦值为 ,若存在,请求出 的值;若不存在,请说明理由. 答案 (1)证明见解析 (2)存在, 的值为 或 分析 (1)结合题意添加辅助线,先证明 平面 ,进而得到 ; (2)根据题目中的已知条件找到两两垂直的三条棱,然后建立空间直角坐标系,表示出相关点的坐标, 假设点 存在,设出点 的坐标,求出该二面角的两个平面的法向量,结合空间向量的夹角公式列出方 程,解方程即可. 解析 (1)证明:取 的中点 ,连接 、 、 , ∵ ,且 ,∴ 为等边三角形,得 , ∵四边形 为正方形,且 、 分别是 、 的中点, ∴ , ∵ , 、 平面 ,∴ 平面 , ∵ 平面 ,∴ ; (2)∵平面 平面 ,且平面 平面 , , 平面 , ∴ 平面 , 平面 , , 以 为坐标原点,分别以 、 、 所在直线为 、 、 轴建立空间直角坐标系,不妨设 ,则 , , , , 则 , , , , , 设 为平面 的一个法向量, 由 ,取 ,得 ; 假设棱 上(除端点外)存在点 满足题意, 令 ,得 , 设 为平面 的一个法向量, 则由 , 取 ,得 . 由 ,解得 或 , 经检验 或 时,二面角 的平面角均为锐角, 综上, 的值为 或 .【点睛】关键点睛:本题第二问的关键是利用向量共线定理设 ,再用 表示出两个 平面的法向量,得到方程,解出即可. 方法归纳: (1)对于存在判断型问题的求解,应先假设存在,把要成立的结论当作条件,据此列方程或 方程组,把“是否存在”问题转化为“点的坐标是否有解,是否有规定范围内的解”等. (2)对于位置探究型问题,通常借助向量,引进参数,综合已知和结论列出等式,解出参数. 02 :空间位置关系的判定 例2 (多选)如图几何体是由正方形 沿直线 旋转 得到的,已知点 是圆弧 的中点,点 是圆弧 上的动点(含端点),则下列结论正确的是( ) A.存在点 ,使得 平面 B.不存在点 ,使得平面 平面 C.存在点 ,使得直线 与平面 的所成角的余弦值为 D.不存在点 ,使得平面 与平面 的夹角的余弦值为 答案 ACD 分析 将图形补全为一个正方体 ,设 ,以点 为坐标原点, 、 、 所在的 直线分别为 、 、 轴建立空间直角坐标系,利用空间向量法可判断各选项的正误. 解析 由题意可将图形补全为一个正方体 ,如图所示:不妨设 ,以点 为坐标原点, 、 、 所在的直线分别为 、 、 轴建立空间直角坐标系, 则 、 、 、 、 、 , , 设点 ,其中 , 对于A选项,假设存在点 ,使得 平面 , , , , 则 ,可得 , 因为 ,则 ,即当点 与点 重合时, 平面 ,A对; 对于B选项,由A选项可知,平面 的一个法向量为 , 假设存在点 ,使得平面 平面 ,则 , , 则 ,可得 ,又因为 ,解得 , 即当点 为 的中点时,面 平面 ,B错; 对于C选项,若存在点 ,使得直线 与平面 的所成角的余弦值为 , 则直线 与平面 的所成角的正弦值为 , 且 ,所以, ,整理可得 , 因为函数 在 时的图象是连续的, 且 , , 所以,存在 ,使得 , 所以,存在点 ,使得直线 与平面 的所成角的余弦值为 ,C对; 对于D选项,设平面 的法向量为 , , , 则 , 取 ,可得 , 假设存在点 ,使得平面 与平面 的夹角的余弦值为 , 则 , 可得 ,即 , 可得 或 , 因为 ,则 ,则 , 所以, ,故当 时,方程 和 均无解, 综上所述,不存在点 ,平面 与平面 的夹角的余弦值为 ,D对. 故选:ACD. 【点睛】方法点睛:计算线面角,一般有如下几种方法: (1)利用面面垂直的性质定理,得到线面垂直,进而确定线面角的垂足,明确斜线在平面内的射影,即 可确定线面角; (2)在构成线面角的直角三角形中,可利用等体积法求解垂线段的长度 ,从而不必作出线面角,则线面 角 满足 ( 为斜线段长),进而可求得线面角; (3)建立空间直角坐标系,利用向量法求解,设 为直线 的方向向量, 为平面的法向量,则线面角 的正弦值为 . 方法归纳: 解决空间位置关系的动点问题 (1)应用“位置关系定理”转化. (2)建立“坐标系”计算. 03 :轨迹问题 例3 (1)如图,在棱长为1的正方体 中,P为棱 的中点,Q为正方形 内一动点 (含边界),则下列说法中正确的是 . ①若 平面 ,则动点Q的轨迹是一条线段 ②存在Q点,使得 平面③当且仅当Q点落在棱 上某点处时,三棱锥 的体积最大 ④若 ,那么Q点的轨迹长度为 答案 ①③④ 分析 作出过点 与平面 平行的正方体的截面判断①;建立空间直角坐标系,求出平面 的法向 量判断②;设出点Q的坐标,求出点Q到平面 最大距离判断③;确定点Q的轨迹计算判断④作答. 解析 在正方体 中,取 的中点E,F,连 ,如图, 则 , 平面 , 平面 ,则有 平面 , 因点P为棱 的中点,有 , ,即有 为平行四边形, 则 ,而 平面 , 平面 ,有 平面 , , 平面 ,因此,平面 平面 ,因 平面 , 则 平面 ,又点Q在平面 ,平面 平面 ,即点Q的轨迹为线段EF,① 正确; 以 为原点,建立如图所示的空间直角坐标系,则 ,设 , ,设平面 的一个法向量 ,则 ,令 ,得 ,若 平面 ,则 ,即 , ,所以不存在Q点,使得 平面 ,②不正确; 因 的面积为定值,当且仅当点Q到平面 的距离最大时,三棱锥 的体积最大, ,点Q到平面 的距离 ,而 ,则当 时, , 而 ,即 ,因此点 与点 重合时,三棱锥 的体积最大,③正确; 因 平面 , 平面 ,则 ,因此 , 显然点Q的轨迹是以 为圆心,半径为 ,所含圆心角为 的扇形弧,弧长为 ,④正确. 故答案为:①③④ 【点睛】方法点睛:作截面的常用三种方法:直接法,截面的定点在几何体的棱上;平行线法,截面与几 何体的两个平行平面相交,或者截面上有一条直线与几何体的某个面平行;延长交线得交点,截面上的点 中至少有两个点在几何体的同一平面上. 方法归纳: 解决与几何体有关的动点轨迹问题的方法 (1)几何法:根据平面的性质进行判定. (2)定义法:转化为平面轨迹问题,用圆锥曲线的定义判定,或用代替法进行计算. (3)特殊值法:根据空间图形线段长度关系取特殊值或位置进行排除. 04 :最值、范围问题 例4 如图,在直三棱柱 中,△ 为边长为2的正三角形, 为 中点,点 在 棱 上,且 .(1)当 时,求证 平面 ; (2)设 为底面 的中心,求直线 与平面 所成角的正弦值的最大值,并求取得最大值时 的值. 答案 (1)证明见解析 (2)最大值为 ,此时 分析 (1)根据已知条件建立空间直角坐坐标系,利用向量证明线面垂直即可. (2)求出直线对应的方向向量和平面对应的法向量,将线面角用向量坐标表示进而求最值. 解析 (1)取 的中点 ,连接 , 因为三棱柱 为直棱柱,且△ 为正三角形, 所以以 所在直线分别为 轴, 轴, 轴建立如图所示空间直角坐标系, 根据已知条件得 , 当 时, , ,, , ,即 , 又 ,而 平面 , 平面 . (2)由(1)知 , , 为△ 的中心, , 设平面 的法向量 ,则 ,令 ,则 设直线 与平面 所成角为 ,则 令 ,则 , 此时 , (当且仅当 即 时取等号), , 即直线 与平面 所成角正弦的最大值为 ,此时 的值为方法归纳: 在动态变化过程中产生的体积最大、距离最大(小)、角的范围等问题,常用的思路是 (1)直观判断:在变化过程中判断点、线、面在何位置时,所求的量有相应最大、最小值,即可求解. (2)函数思想:通过建系或引入变量,把这类动态问题转化为目标函数,从而利用代数方法求目标函数的 最值. 例5 三棱锥P-ABC中,PA,PB,PC两两垂直, ,点Q为平面ABC内的动点,且满足 ,记直线PQ与直线AB的所成角为 ,则 的取值范围为 . 答案 分析 根据已知条件先确定出 在平面 内的轨迹,然后通过建立空间直角坐标系,根据两直线方向向 量夹角的余弦值结合三角函数值的范围,计算出两直线所成角的正弦值的取值范围. 解析 因为 两两垂直,且 ,所以由全等三角形可知 , 所以三棱锥为正三棱锥,记 在底面 内的投影为 , 所以 , 因为 ,所以 ,所以 , 因为 ,所以 ,所以 的轨迹是以 为圆心半径为 的圆, 取 中点 ,连接 ,可知 经过点 ,建立如下图所示的空间直角坐标系: 设 , , 所以 , 所以 ,所以 , 所以 ,且 , 所以 ,所以 , 故答案为: . 【点睛】思路点睛:异面直线所成角的余弦值的向量求法: (1)先分别求解出两条异面直线的一个方向向量; (2)计算出两个方向向量夹角的余弦值; (3)根据方向向量夹角的余弦值的绝对值等于异面直线所成角的余弦值求解出结果. 一、单选题 1.(2023·辽宁·模拟预测)已知空间向量 两两夹角均为 ,且 .若向量 满足 ,则 的最小值是( ) A. B. C.0 D. 【答案】C 【分析】根据题意,取一个三棱锥,用其棱表示对应的向量,结合题中所给的条件,将相应的边长求出, 之后应用空间向量运算法则,表示出对应的结果,从而判断出取最值时对应的情况,求值即可. 【解析】取一三棱锥 , , 且 , ,所以 , , 设 , 因为 ,所以 ,即 , 所以 在以 为直径的球上,球半径为 ,设球心为 , 又由 同理可知 在以 为直径的球上,球半径为 ,设球心为 , 球心距 ,所以两球相交,即 点与 点可以重合, 又 , 所以 . 故选:C. 2.(2024·安徽马鞍山·三模)已知点 , , , , , 都在同一个球面上, 为正方形,若直 线 经过球心,且 平面 .则异面直线 , 所成的角最小为( ) A. B. C. D. 【答案】C 【分析】设球的半径为 ,记 中心为 ,依题意可得 过点 且 的中点为球心,设球心 为 ,建立空间直角坐标,设 , ,利用空间向量法表示出 , 求出 的最大值,即可得到.【解析】设球的半径为 ,记 中心为 , 因为 为正方形,直线 经过球心,且 平面 , 所以 过点 且 的中点为球心,设球心为 , 以 为原点, 、 、 分别为 , , 轴正半轴,建立空间直角坐标系 , 设 , , 则 , , , , 所以 , , 所以 , 所以 , , 又 ,即 , 所以 ,当且仅当 时等号成立, 设直线 , 所成的角为 ,则 , 又 ,所以 . 故选:C 【点睛】关键点点睛:本题解答是建立空间直角坐标,利用空间向量法求出 的最大值.3.(2020·浙江嘉兴·二模)将边长为1的正方形 沿对角线 翻折,使得二面角 的平面 角的大小为 ,若点 , 分别是线段 和 上的动点,则 的取值范围为( ) A. B. C. D. 【答案】B 【分析】设 点为 中点,连接 , ,由题意可证得 ,作 , ,利用 向量的基本运算可得 ,再通过建立平面直角坐标系,设 , , , ,求出 , ,利用向量数量积的坐标表示可求出 ,借助 的范围,即可得解. 【解析】设 点为 中点,连接 , , 由题意可知 , ,所以 , 作 ,则P为OC中点作 , 则 平面BCD, 所以 , 如图建立平面直角坐标系: 则 , , 设 , , , ,所以, , , 则 , 因为 , 所以 , 故选:B. 【点睛】本题考查平面图形的翻折,考查二面角,向量的基本运算以及向量数量积的坐标表示,考查学生 的推理能力和计算能力,难度较大. 4.(2022·浙江杭州·模拟预测)如图,已知矩形 的对角线交于点 ,将 沿 翻折,若在翻折过程中存在某个位置,使得 ,则 的取值范围是( ) A. B. C. D. 【答案】A 【分析】建立空间直角坐标系,表示出翻折后的位置 ,利用向量垂直,数量积为零,找出关系式 ,进而求得 ,再利用极限位置求得a的最小值,即可求得答案。 【解析】如图示,设 处为 沿 翻折后的位置, 以D为坐标原点,DA,DC分别为x,y轴,过点D作平面ABCD的垂线为z轴,建立空间直角坐标系,则 ,设 , 由于 ,故 , 而 , 由于 ,故 ,则 , 即 ; 又由在翻折过程中存在某个位置,便得 ,不妨假设 , 则 ,即 , 即 , 当将 翻折到如图 位置时, 位于平面ABCD内, 不妨假设此时 ,设垂足为G, 作 AD的延长线,垂足为F,此时在x轴负半轴上方向上,DF的长最大,a取最小值, 由于 ,故 , 所以 ,而 , 故 ,又 , 故 为正三角形,则 , 而 ,故 ,则 ,故 , ,则 , 故 的取值范围是 , 故选:A 【点睛】本题考查了空间的垂直关系,综合性较强,解答时要充分发挥空间想象力,明确空间的点线面的 位置关系,解答时涉及到空间坐标系的建立以及空间向量的应用,还要注意极限位置的利用,有较大难度. 5.(2024·全国·模拟预测)如图,已知矩形 ABCD 中,E 为线段 CD 上一动点(不含端点),记 ,现将 沿直线AE翻折到 的位置,记直线CP与直线AE所成的角为 ,则( ) A. B. C. D. 【答案】B 【分析】 利用空间向量夹角余弦公式和向量数量积公式得到 ,由三角形三边关系得到 ,求出答案. 【解析】 AB选项, , 因为 ,所以 ,所以 ,A错误,B正确; 由于 在 上单调递减,故 ,不确定 和 的大小关系,CD错误.故选:B. 6.(2023·四川遂宁·三模)如图,正方体 的棱长为2,线段 上有两个动点 ( 在 的左边),且 .下列说法不正确的是( ) A.当 运动时,二面角 的最小值为 B.当 运动时,三棱锥体积 不变 C.当 运动时,存在点 使得 D.当 运动时,二面角 为定值 【答案】C 【分析】对A:建立空间直角坐标系,利用向量法求解二面角夹角的余弦值,根据其范围,即可判断;对 B:利用棱锥体积公式,即可求得三棱锥的体积,即可判断. 对C:由反证法判断;对D:平面 即为平 面 ,平面 即为平面 ,从而得出二面角 为定值. 【解析】对A:建立如图所示的空间直角坐标系, 则 . 因为 在 上,且 , ,可设 ,则 , 则 , 设平面 的法向量为 , 又 ,所以 ,即 , 取 ,则 , 平面 的法向量为 ,所以 . 设二面角 的平面角为 ,则 为锐角,故 , 因为 , 在 上单调递减, 所以 ,故 , 当且仅当 时, 取得最大值 ,即 取最小值 ,故A说法正确. 对B:因为 ,点A到平面 的距离为 , 所以体积为 ,即体积为定值,故B说法正确. 对C:若 ,则 四点共面,与 和 是异面直线矛盾,故C说法错误. 对D:连接 ,平面 即为平面 ,而平面 即为平面 ,故当 运动时,二 面角 的大小保持不变,故D说法正确.故选:C 7.(2023·全国·模拟预测)如图,在棱长为1的正方体 中,P为棱 的中点,Q为正方 形 内一动点(含边界),则下列说法中不正确的是( ) A.若 平面 ,则动点Q的轨迹是一条线段 B.存在Q点,使得 平面 C.当且仅当Q点落在棱 上某点处时,三棱锥 的体积最大 D.若 ,那么Q点的轨迹长度为 【答案】B 【分析】取 中点 ,证明 平面 ,得动点轨迹判断A,建立如图所示的空间直角坐 标系,求出平面 的一个法向量,由 与此法向量平行确定 点位置,判断B,利用空间向量法求 得 到到平面 距离的最大值,确定 点位置判断C,利用勾股定理确定 点轨迹,得轨迹长度判断D. 【解析】选项A,分别取 中点 ,连接 , ,由 与 , 平行且相等 得平行四边形 ,所以 , 平面 , 平面 ,所以 平面 , 连接 , , ,所以 ,同理 平面 , , 平面 ,所以平面 平面 , 当 时, 平面 ,所以 平面 ,即 点轨迹是线段 ,A正确; 选项B,以 为原点, 所在直线分别为 轴建立如图所示的空间直角坐标系,则 , , ,设 ( ), , , , 设 是平面 的一个法向量, 则 ,取 ,则 , 若 平面 ,则 ,所以存在 ,使得 , ,解得 ,因此正方形 内(含边界)不存在点 ,使得 平面 ,B 错;选项C, 面积为定值,当且仅当点 到平面 的距离最大时,三棱锥 的体积最大, , 到平面 的距离为 , , 时, ,当 时,d有最大值1, 时, , 时,d有最大值 , 综上, 时,d取得最大值1,故 与 重合时,d取得最大值,三棱锥 的体积最大,C正 确; 选项D, 平面 , 平面 , , 所以 ,所以 点轨迹是以 为圆心, 为半径的圆弧,圆心角是 ,轨迹长度 为 ,D正确. 故选:B. 【点睛】关键点点睛:本题考查空间点的轨迹问题,解题关键是勾画出过 且与平面 平行的平面,由体积公式,在正方形 内的点 到平面 的距离最大,则三棱锥 体积最大. 8.(2023·陕西咸阳·模拟预测)如图,点 是棱长为2的正方体 的表面上一个动点,则以 下不正确的是( ) A.当 在平面 上运动时,四棱锥 的体积不变 B.当 在线段 上运动时, 与 所成角的取值范围是 C.使直线 与平面 所成的角为 的点 的轨迹长度为 D.若 是 的中点,当 在底面 上运动,且满足 平面 时, 长度的最小值是 【答案】D 【分析】由底面正方形 的面积不变,点 到平面 的距离不变,可判定A正确; 以 为原点,建立空间直角坐标系,设 ,则 ,结合向量的夹 角公式,可判定B正确; 由直线 与平面 所成的角为 ,作 平面 ,得到点 的轨迹,可判定C正确; 设 ,求得平面 的一个法向量为 ,得到 ,可判定D错误. 【解析】对于A中:底面正方形 的面积不变,点 到平面 的距离为正方体棱长,所以四棱锥 的体积不变,所以A选项正确; 对于B中:以 为原点, 所在的直线分别为 轴、 轴和 轴,建立空间直角坐标系,可得 , 设 ,则 , 设直线 与 所成角为 ,则 , 因为 ,当 时,可得 ,所以 ; 当 时, ,所以 , 所以异面直线 与 所成角的取值范围是 ,所以B正确; 对于C中:因为直线 与平面 所成的角为 , 若点 在平面 和平面 内, 因为 最大,不成立; 在平面 内,点 的轨迹是 ; 在平面 内,点 的轨迹是 ;在平面 时,作 平面 ,如图所示, 因为 ,所以 ,又因为 ,所以 ,所以 , 所以点 的轨迹是以 点为圆心,以2为半径的四分之一圆, 所以点 的轨迹的长度为 , 综上,点 的轨迹的总长度为 ,所以C正确; 对于D中,由 , 设 , 则 设平面 的一个法向量为 ,则 , 取 ,可得 ,所以 , 因为 平面 ,所以 ,可得 , 所以 , 当 时,等号成立,所以D错误. 故选:D.【点睛】方法点拨:对于立体几何的综合问题的解答方法: 1、立体几何中的动态问题主要包括:空间动点轨迹的判断,求解轨迹的长度及动角的范围等问题; 2、解答方法:一般时根据线面平行,线面垂直的判定定理和性质定理,结合圆或圆锥曲线的定义推断出 动点的轨迹,有时也可以利用空间向量的坐标运算求出动点的轨迹方程; 3、对于线面位置关系的存在性问题,首先假设存在,然后再该假设条件下,利用线面位置关系的相关定 理、性质进行推理论证,寻找假设满足的条件,若满足则肯定假设,若得出矛盾的结论,则否定假设; 4、对于探索性问题用向量法比较容易入手,一般先假设存在,设出空间点的坐标,转化为代数方程是否 有解的问题,若由解且满足题意则存在,若有解但不满足题意或无解则不存在. 二、多选题 9.(2024·贵州贵阳·模拟预测)在正三棱柱 中, ,点P满足 , 其中 ,则( ) A.当 时, 最小值为 B.当 时,三棱锥 的体积为定值 C.当 时,平面 平面 D.若 ,则P的轨迹长度为 【答案】BCD 【分析】当 时,点 在 上,把平面 与平面 展在一个平面上,可判定A错误;当时,得到点 在 上,证得 平面 ,求得三棱柱 的体积定值,可判定B正确; 当 时,得到点 为 的中点,取 的中点 ,证得 平面 ,得到 平 面 ,可判定C正确;由点P满足 ,得到点 在矩形 内,取 的中点 ,证 得 平面 ,得到 ,求得 ,得出以点 的轨迹,可判定D正确. 【解析】对于A中,当 时, ,可得点 在 上, 以 为轴,把平面 与平面 展在一个平面上,如图所示, 连接 交 于点 ,此时 最小值为 ,所以A错误; 对于B中,当 时, ,可得点 在 上, 取 的中点 ,在等边 中,可得 ,且 , 因为 平面 ,且 平面 ,所以 , 又因为 且 平面 ,所以 平面 , 即 为三棱锥 的高, 所以三棱锥 的体积为 为定值,所以B正确;对于C中,当 时, ,可得点 为 的中点, 如图所示,取 的中点 ,分别连接 , 可得 且 ,所以 为平行四边形,所以 , 因为 平面 , 平面 ,所以 , 又因为 ,且 , 平面 ,所以 平面 , 因为 ,所以 平面 , 又因为 平面 ,所以 平面 ,所以C正确; 对于D中,由点P满足 ,其中 , 可得点 在矩形 内(包含边界), 取 的中点 ,连接 和 , 因为 平面 ,且 平面 ,所以 , 又因为 , 且 平面 ,所以 平面 ,因为 平面 ,所以 ,且 , 在直角 中,可得 , 所以点 的轨迹是以 为圆心,半径为 的半圆,其轨迹长度为 ,所以D正确. 故选:BCD 【点睛】解题方法点拨: 1、立体几何中的动态问题主要包括:空间动点轨迹的判断,求解轨迹的长度及动角的范围等问题; 2、解答方法:一般时根据线面平行,线面垂直的判定定理和性质定理,结合圆或圆锥曲线的定义推断出 动点的轨迹,有时也可以利用空间向量的坐标运算求出动点的轨迹方程; 3、对于线面位置关系的存在性问题,首先假设存在,然后再该假设条件下,利用线面位置关系的相关定 理、性质进行推理论证,寻找假设满足的条件,若满足则肯定假设,若得出矛盾的结论,则否定假设; 4、对于探索性问题用向量法比较容易入手,一般先假设存在,设出空间点的坐标,转化为代数方程是否 有解的问题,若由解且满足题意则存在,若有解但不满足题意或无解则不存在. 10.(2024·浙江·三模)已知正方体 的棱长为1,点 满足 ,其中 , ,则( ) A.当 时,则 的最小值为 B.过点 在平面 内一定可以作无数条直线与 垂直 C.若 与 所成的角为 ,则点 的轨迹为双曲线D.当 , 时,正方体经过点 、 、 的截面面积的取值范围为 【答案】ACD 【分析】对A,将平面 展开到与 同一平面,由两点间线段最短得解;对B,当 在 时,过 点只能作一条直线与 垂直,可判断;对CD,以点D为坐标原点建立空间直角坐标系,设出点P坐标, 利用向量的坐标运算即可判断. 【解析】对于A,当 时, , 所以点 在线段 上, 如图,将三角形 与矩形 沿 展成平面图形如下所示, 则线段 即为 的最小值, 利用余弦定理可知 , 所以 ,即 的最小值为 ,故A正确; 对于B,当 在 时,过点 在平面 内只可以作一条直线与 垂直,故B错误; 对于C,以D为原点,分别以 为x轴,y轴,z轴建立空间直角坐标系, 则 ,得 , ,整理得 ,为双曲线方程,故C正确. 对于D,当 时, ,故点 在线段 上运动, 正方体经过点 、 、 的截面为平行四边形 , 以 为坐标原点,建立如图所示的空间直角坐标系 , 则 , , , , 所以 , , , , , 所以点 到直线 的距离为 , 于是当 时 , 的面积取最小值,此时截面面积为 ; 当 或 时 , 的面积取最大值,此时截面面积为 ,所以正方体经过点 、 、 的截面面积的取值范围为 ,故D正确. 故选:ACD. 【点睛】方法点睛:立体几何中与动点轨迹有关的题目归根到底还是对点线面关系的认知,其中更多涉及 了平行和垂直的一些证明方法,在此类问题中要么很容易的看出动点符合什么样的轨迹(定义),要么通过 计算(建系)求出具体的轨迹表达式,和解析几何中的轨迹问题并没有太大区别,所求的轨迹一般有四种, 即线段型,平面型,二次曲线型,球型. 11.(2024·安徽蚌埠·模拟预测)已知正方体 棱长为4,点N是底面正方形ABCD内及边 界上的动点,点M是棱 上的动点(包括点 ),已知 ,P为MN中点,则下列结论正确的 是( ) A.无论M,N在何位置, 为异面直线 B.若M是棱 中点,则点P的轨迹长度为 C.M,N存在唯一的位置,使 平面 D.AP与平面 所成角的正弦最大值为 【答案】ABD 【分析】根据 相交,而 即可判断A,建立空间直角坐标系,利用坐标运算可判断P的轨迹 长度为半径为 的圆的 ,即可判断B,根据法向量与方向向量垂直即可判断C,根据线面角的向量法,结 合基本不等式即可求解. 【解析】由于 相交,而 ,因此 为异面直线,A正确, 当M是棱 中点,建立如图所示的空间直角坐标系,设 , 故 , 且 , 由于 ,故 ,化简得 ,由于 ,所以点P的轨迹长度为半径为 的圆的 ,故长度为 ,B正确, 设 ,则 , 且 , , , 设平面 的法向量为 ,则 ,令 ,则 , ,故 , 由于 ,故 ,化简得 , 联立 ,故解不唯一,比如取 ,则或取 ,故C错 误, 由于 平面 , 平面 ,故 , 又四边形 为正方形,所以 , 平面 , 所以 平面 , 故平面 的法向量为 , 设AP与平面 所成角为 ,则 , 则 ,当且仅当 时取等号,, 时,令 ,则 , 故 , 由于 ,当且仅当 ,即 时等号成立,此时 , 由 且 可得 因此 , 由于 , ,故 的最大值为 ,故D正确,、 故选:ABD 【点睛】方法点睛:立体几何中与动点轨迹有关的题目归根到底还是对点线面关系的认知,其中更多涉及 了平行和垂直的一些证明方法,在此类问题中要么很容易的看出动点符合什么样的轨迹(定义),要么通过 计算(建系)求出具体的轨迹表达式,和解析几何中的轨迹问题并没有太大区别,所求的轨迹一般有四种, 即线段型,平面型,二次曲线型,球型. 三、填空题 12.(2024·浙江金华·三模)四棱锥 的底面 为正方形, 平面 ,且 , .四棱锥 的各个顶点均在球O的表面上, , ,则直线l与平面 所成夹角的范围为 . 【答案】 . 【分析】依题意可证明 平面 ,建立空间直角坐标系,用向量法求线面角可得结果. 【解析】解:依题意,四棱锥 的外接球的球心O为 的中点,连接 , 交点为Q,因为底面 为正方形,所以 , 又 平面 ,且 平面 ,所以 , 又 , 平面 , 平面 ,所以 平面 , 所以 为平面 的一个法向量, 如图建立坐标系,并设直线l上异于B的一点 ,所求线面角为 , , 则 , , , 由 可得 , ∴ , 当 时, , 当 时, , 综上, ,∴ . 故答案为: .另解:依题意,四棱锥 的外接球的球心O为 的中点,连接 , 交点为Q,因为底面 为正方形,所以 , 又 平面 ,且 平面 ,所以 , 又 , 平面 , 平面 ,所以 平面 , 即 面 , 若 平面 ,则 与平面 所成的角为 . 若过B的直线l与平面 相交于点R, 在平面 中,过B作直线 ,与平面 相交于点为S, 因为 面 ,且 平面 ,所以 , 又 , ,且 , 平面 , 所以 平面 , 故过 且与 垂直的直线与平面 的交点的轨迹为直线 , 又 平面 ,所以 ,又 ,且 , 所以 平面 ,又 平面 ,所以 , 又 面 ,所以 为 在面 内的射影, 即 为直线l与平面 所成的角,且 , 又 ,而 , 当且仅当 重合等号成立,故 ,综上, ,∴ . 故答案为: . 【点睛】方法点睛:解决直线与平面所成角的方法:(1)几何法:作出直线与平面所成角,在直角三角 形中求角;(2)空间向量法:建立空间直角坐标系,求出直线的方向向量和平面的法向量,用向量法求 线面角. 13.(2024·北京通州·二模)如图,几何体是以正方形ABCD的一边BC所在直线为旋转轴,其余三边旋转 90°形成的面所围成的几何体,点G是圆弧 的中点,点H是圆弧 上的动点, ,给出下列四个 结论: ①不存在点H,使得平面 平面CEG; ②存在点H,使得 平面CEG; ③不存在点H,使得点H到平面CEG的距离大于 ; ④存在点H,使得直线DH与平而CEG所成角的正弦值为 . 其中所有正确结论的序号是 . 【答案】②③④ 【分析】将图形补全为一个正方体 ,以点 为坐标原点, 、 、 所在的直线分别为 、 、 轴建立空间直角坐标系,利用空间向量法可判断各选项的正误. 【解析】由题意可将图形补全为一个正方体 ,如图所示: 以点 为坐标原点, 、 、 所在的直线分别为 、 、 轴建立空间直角坐标系, 则 、 、 、 、 、 , , 设点 ,其中 , 对于①, , ,设 平面 , 则 ,即 , 取x=1,则 ,可得 , 设 平面 , , , 则 ,即 , 取 ,则 ,可得 , 若平面 平面CEG,则 ,解得: , 所以存在 使得平面 平面CEG,故①错误; 对于②, ,若 平面CEG, 则 ,即 ,即 ,故 ,故存在点H,使得 平面CEG,故②正确; 对于③, , 所以点H到平面CEG的距离为 , , 因为 ,所以 ,所以 , ,所以 , 所以不存在点H,使得点H到平面CEG的距离大于 ,故③正确; 对于④, , ,则直线 与平面CEG的所成角为 , 所以, ,整理可得 , 因为函数 在 时的图象是连续的, 且 , , 所以,存在 ,使得 , 所以,存在点 ,使得直线 与平面CEG的所成角的余弦值为 ,④正确. 故答案为:②③④.【点睛】方法点睛:计算线面角,一般有如下几种方法: (1)利用面面垂直的性质定理,得到线面垂直,进而确定线面角的垂足,明确斜线在平面内的射影,即 可确定线面角; (2)在构成线面角的直角三角形中,可利用等体积法求解垂线段的长度 ,从而不必作出线面角,则线面 角 满足 (l为斜线段长),进而可求得线面角; (3)建立空间直角坐标系,利用向量法求解,设 为直线 的方向向量, 为平面的法向量,则线面角 的正弦值为 . 14.(2023·江西宜春·一模)如图,多面体 中,面 为正方形, 平面 , 且 为棱 的中点, 为棱 上的动点,有下列结论: ①当 为 的中点时, 平面 ; ②存在点 ,使得 ; ③直线 与 所成角的余弦值的最小值为 ; ④三棱锥 的外接球的表面积为 . 其中正确的结论序号为 .(填写所有正确结论的序号) 【答案】①④ 【分析】根据线面平行的判定定理,以及线线垂直的判定,结合异面直线所成角,以及棱锥外接球半径的 求解,对每一项进行逐一求解和分析即可. 【解析】对①:当H为DE的中点时,取 中点为 ,连接 ,因为 分别为 的中点, 故可得 // , , 根据已知条件可知: // , 故 // , 故四边形 为平行四边形,则 // ,又 平面 平面 , 故 //面 ,故①正确; 对②:因为 平面 , 平面 , 故 , 又四边形 为矩形, 故 ,则 两两垂直, 以 为坐标原点,建立空间直角坐标系如图所示: 则 ,设 , , 若 ,则 ,不满足题意,故②错误;对③: , , , , , , , , 令 ,设 , , , 则 ,当 时, 根据对勾函数的性质得 ,则 , 当 时, 有最小值,最小值为 ,故③错误; 对④:由题可得 平面 ,又面 为正方形, ∴ , ∴AB⊥平面BCF,则AB,BC,CF两两垂直, ∴AF为三棱锥 的外接球的直径, 又 , ∴三棱锥 的外接球表面积为 ,故④正确. 故答案为:①④. 四、解答题 15.(2024·江西新余·二模)如图,在四棱锥 中,底面 是直角梯形, , ,且 , .(1)若 为 的中点,证明:平面 平面 ; (2)若 , ,线段 上的点 满足 ,且平面 与平面 夹角的 余弦值为 ,求实数 的值. 【答案】(1)证明见解析 (2) 【分析】(1)取 中点为 ,利用直角梯形中位线的性质,线面垂直的性质判定推理即可; (2)通过正三角形证明 ,以 为坐标原点,建立空间直角坐标系,利用二面角得向量求法计算 求解即可. 【解析】(1)取 中点为 ,由条件可得 为梯形 的中位线,则 , 又 ,则 , 且 , 平面 , 平面 , 根据线面垂直的判定定理,得 平面 , 平面 , . 由 ,则 ,又 , 为梯形的两腰,则 与 相交, 平面 , 又 平面 ,所以平面 平面 . (2)取 的中点为Q,由 , , 则 , , 因此△ 为等边三角形, . 由(1)知 平面 , , , 两两垂直,如图,以 , , 分别为x,y,z轴正方向,建立空间直角坐标系, 由 , ,则 , , , , , 由 , 所以 , , , , 设平面 的一个法向量为 , 由 取 ,得 , ,得 . 设平面 的一个法向量为 , 由 取 ,得 , , 即平面 的一个法向量为 . 记平面 与平面 夹角的大小为 ,所以 ,化简得 ,即 ,所以实数 的值为 . 16.(2023·山东潍坊·三模)如图, 为圆锥的顶点, 是圆锥底面的圆心, 为底面直径, 为 底面圆 的内接正三角形,且边长为 ,点 在母线 上,且 , . (1)求证: 平面 ; (2)求证:平面 平面 (3)若点 为线段 上的动点.当直线 与平面 所成角的正弦值最大时,求此时点 到平面 的距离. 【答案】(1)证明见解析 (2)证明见解析 (3) 【分析】(1)设 交 于点 ,连接 ,利用三角形相似证得 ,从而证得 ,进而 证得直线 平面 ; (2)通过 平面 ,证得 平面 ,所以平面 平面 ; (3)建立空间直角坐标系,设 ,通过向量 和平面 的法向量建立直线 与 平面 所成角的正弦值的关系式,并利用基本不等式,即可求最值. 【解析】(1)如图,设 交 于点 ,连接 ,由圆锥的性质可知 底面 ,因为 平面 ,所以 , 又因为 是底面圆的内接正三角形,由 ,可得 , ,解得 , 又 , ,所以 ,即 , , 又因为 ,所以 , 所以 ,即 , 又 平面 ,直线 平面 , 平面 , 所以直线 平面 . (2)因为 平面 ,所以 平面 , 又 平面 ,所以平面 平面 ; (3)易知 ,以点 为坐标原点, 所在直线分别为 轴, 轴, 轴,建立如图 所示的空间直角坐标系, 则 , , , , , , 所以 , , , ,设平面 的法向量为 , 则 ,令 ,则 , 设 ,可得 , 设直线 与平面 所成的角为 , 则 , 即 , 令 , 则 , 当且仅当 时,等号成立,所以当 时, 有最大值 , 即当 时, 的最大值为1,此时点 ,所以 , 所以点 到平面 的距离 , 故当直线 与平面 所成角的正弦值最大时,点 到平面 的距离为 . 17.(2024·黑龙江哈尔滨·一模)如图1,在平行四边形 中, ,将 沿 折起,使点D到达点P位置,且 ,连接 得三棱锥 ,如图2. (1)证明:平面 平面 ; (2)在线段 上是否存在点M,使平面 与平面 的夹角的余弦值为 ,若存在,求出 的值, 若不存在,请说明理由. 【答案】(1)证明见解析 (2)存在; 【分析】(1)推导出 ,证明出 平面 ,可得出 , 利用面面垂直的判定定理可 证得结论成立; (2)以点 为坐标原点, 、 、 的方向分别为 、 、 轴的正方向建立空间直角坐标系,设 ,其中 ,利用空间向量法可得出关于 的等式,结合 求出 的值,即可得出 结论.【解析】(1)证明:翻折前,因为四边形 为平行四边形, ,则 , 因为 ,则 , , 由余弦定理可得 , 所以, ,则 ,同理可证 , 翻折后,则有 , , 因为 , , 、 平面 , 所以, 平面 , 因为 平面 ,则 , 因为 , 、 平面 ,所以, 平面 , 所以平面 平面 . (2)因为 平面 , ,以点 为坐标原点, 、 、 的方向分别为 、 、 轴的正方向建立如下图所示的空间直角坐标系, 则 、 、 、 , 设 ,其中 , 则 , , 设平面 的法向量为 ,则 , 取 ,则 , ,所以, , 平面 的一个法向量为 , , ,则 ,令 ,可得 , 则 ,整理可得 , 因此,线段 上存在点 ,使平面AMB与平面MBC的夹角的余弦值为 ,且 . 18.(2024·浙江绍兴·模拟预测)如图所示,四棱台 ,底面 为一个菱形,且 . 底面与顶面的对角线交点分别为 , . , , 与底面夹 角余弦值为 . (1)证明: 平面 ; (2)现将顶面绕 旋转 角,旋转方向为自上而下看的逆时针方向. 此时使得底面与 的夹角正弦值为 ,此时求 的值( ); (3)求旋转后 与 的夹角余弦值. 【答案】(1)证明见解析; (2) ;(3) . 【分析】(1)先在等腰梯形 证明 ,求出 ;再证明 即 与底面夹角,利 用 ,及余弦定理解得 ,再利用勾股定理有 ,所以可证 平面 . (2)根据题意建立合适的空间直角坐标系,易得平面 的一个法向量 ,根据旋转方向和旋 转前的位置,写出 坐标为 ;再根据底面与 的夹角正弦值为 ,求出 . (3)与第二问的原理相同,根据旋转方向和旋转前的位置写出 , ,即 , ,从而得到旋转后 与 的夹 角余弦值 . 【解析】(1)连接 , ,过点 作 于点 ,取 中点 ,连接 ,如图.由题易得 , . 所以 . 在四棱台 中易得 , 又因为 且 ,所以四边形 为等腰梯形. 因为 , 分别是 和 的中点,所以 , 又因为 ,易得等腰梯形 的高 . 因为在菱形 中 ,且 面 , , 所以 面 ,又因为 面 , 所以 ,又因为 ,且 面 , , 所以 面 ,因此 即 与底面夹角. 由题易得 ,且 ,所以四边形 为平行四边形,所以 . 则 , 在 中由余弦定理可得 ,解得 . 所以 ,由勾股定理得 . 又因为 ,且 面 , , 所以 平面 . (2)因为 , 所以 为原点, , , 方向分别为 , , 轴正方向建立如图所示空间直角坐标系. 易得平面 的一个法向量 ,旋转前坐标分别为: , , , , , . 点 旋转的过程俯视如图: 因为在旋转过程中 不变,且点 所在终边对应的角大小为 ,逆时针旋转 角后点 坐标为 ,即 ,所以 所以底面与 的夹角正弦值为 , 解得 ,又因为 ,所以 . (3)由第二问可得,因为点 所在终边对应的角为 ,所以旋转后点 ,即 ;同理因为点 所在终边对应的角为 ,所以旋转后点 ,即 . 所以 , , 因此旋转后 与 的夹角余弦值为 . 19.(2024·山东济南·一模)在空间直角坐标系 中,任何一个平面的方程都能表示成 ,其中 , ,且 为该平面的法向量.已知集合 , , . (1)设集合 ,记 中所有点构成的图形的面积为 , 中所有点构成的图形的 面积为 ,求 和 的值; (2)记集合Q中所有点构成的几何体的体积为 , 中所有点构成的几何体的体积为 ,求 和 的值: (3)记集合T中所有点构成的几何体为W. ①求W的体积 的值; ②求W的相邻(有公共棱)两个面所成二面角的大小,并指出W的面数和棱数. 【答案】(1) , ; (2) , ;(3)①16;② ,共有12个面,24条棱. 【分析】(1)首先分析题意进行解答,分别表示出集合 代表的点,后得到 的截面是正方形求 出 ,同理得到 是正方形求出 即可. (2)首先根据(1)分析得出 为截去三棱锥 所剩下的部分. 后用割补法求解体积即可. (3)利用题目中给定的定义求出法向量,结合面面角的向量求法求解,再看图得到面数和棱数即可. 【解析】(1)集合 表示 平面上所有的点, 表示 这八个顶点形成的正方体内所有的点, 而 可以看成正方体在 平面上的截面内所有的点. 发现它是边长为2的正方形,因此 . 对于 ,当 时, 表示经过 , , 的平面在第一象限的部分. 由对称性可知Q表示 , , 这六个顶点形成的正八面体内所有的点. 而 可以看成正八面体在 平面上的截面内所有的点. 它是边长为 的正方形,因此 . (2)记集合 , 中所有点构成的几何体的体积分别为 , ; 考虑集合 的子集 ; 即为三个坐标平面与 围成的四面体.四面体四个顶点分别为 , , , , 此四面体的体积为 由对称性知, 考虑到 的子集 构成的几何体为棱长为1的正方体, 即 , , 显然 为两个几何体公共部分, 记 , , , . 容易验证 , , 在平面 上,同时也在 的底面上. 则 为截去三棱锥 所剩下的部分. 的体积 ,三棱锥 的体积为 . 故 的体积 . 当由对称性知, . (3) 如图所示,即为 所构成的图形. 其中正方体 即为集合P所构成的区域. 构成了一个正四棱锥,其中 到面 的距离为 , , . 由题意面 方程为 ,由题干定义知其法向量 面 方程为 ,由题干定义知其法向量 故 . 由图知两个相邻的面所成角为钝角.故H相邻两个面所成角为 . 由图可知共有12个面,24条棱. 【点睛】关键点点睛:本题考查立体几何新定义,解题关键是利用新定义求出法向量,然后利用向量求法 得到所要求的二面角余弦值即可.