当前位置:首页>文档>第一周 周五_02高考数学_2025年新高考资料_二轮复习_2025年高考数学大二轮_2025数学二轮专题复习学生用书Word版文档_每日一练_第一周

第一周 周五_02高考数学_2025年新高考资料_二轮复习_2025年高考数学大二轮_2025数学二轮专题复习学生用书Word版文档_每日一练_第一周

  • 2026-04-19 06:16:26 2026-04-19 06:16:26

文档预览

第一周 周五_02高考数学_2025年新高考资料_二轮复习_2025年高考数学大二轮_2025数学二轮专题复习学生用书Word版文档_每日一练_第一周
第一周 周五_02高考数学_2025年新高考资料_二轮复习_2025年高考数学大二轮_2025数学二轮专题复习学生用书Word版文档_每日一练_第一周
第一周 周五_02高考数学_2025年新高考资料_二轮复习_2025年高考数学大二轮_2025数学二轮专题复习学生用书Word版文档_每日一练_第一周
第一周 周五_02高考数学_2025年新高考资料_二轮复习_2025年高考数学大二轮_2025数学二轮专题复习学生用书Word版文档_每日一练_第一周
第一周 周五_02高考数学_2025年新高考资料_二轮复习_2025年高考数学大二轮_2025数学二轮专题复习学生用书Word版文档_每日一练_第一周
第一周 周五_02高考数学_2025年新高考资料_二轮复习_2025年高考数学大二轮_2025数学二轮专题复习学生用书Word版文档_每日一练_第一周
第一周 周五_02高考数学_2025年新高考资料_二轮复习_2025年高考数学大二轮_2025数学二轮专题复习学生用书Word版文档_每日一练_第一周
第一周 周五_02高考数学_2025年新高考资料_二轮复习_2025年高考数学大二轮_2025数学二轮专题复习学生用书Word版文档_每日一练_第一周

文档信息

文档格式
docx
文档大小
2.760 MB
文档页数
4 页
上传时间
2026-04-19 06:16:26

文档内容

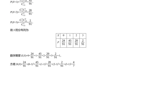
周五 1.(2024·怀化模拟)已知函数f(x)=ex-lg|x|,则f(x)的图象大致为( ) ( 5π) √2 2.(2024·温州适应性考试)已知sin β+ =- ,则sin(α-2β)cos α-cos(2β-α)sin α等于( ) 4 10 24 24 A.- B. 25 25 3 3 C.- D. 5 5 3.(多选)(2024·湖州模拟)已知直三棱柱ABC-A B C 中,AB⊥BC且AB=BC=2,直线A C与底面ABC所成角 1 1 1 1 √3 的正弦值为 ,则( ) 3 A.线段A C上存在点D,使得A B⊥AD 1 1 B.线段A C上存在点D,使得平面DBB ⊥平面DCC 1 1 1 4 C.直三棱柱ABC-A B C 的体积为 1 1 1 3 D.点B 到平面A BC的距离为√2 1 1 y 4x 4.(2024·赣州适应性考试)已知y>x>0,则 - 的最小值为 . y-x 2x+ y 5.(2024·永州模拟)绿化祖国要扩绿、兴绿、护绿并举.某校植树节分别在甲、乙两块不同的土地上栽种某品 种树苗各500株.甲地土质含有M元素,乙地土质不含M元素,其他土质情况均相同,一段时间后,为了 了解该品种树苗的成活情况与M元素含量是否有关联,分别在甲、乙两块土地上随机抽取树苗各50株作 为样本进行统计分析.经统计,甲地成活45株,乙地成活40株. (1)根据所给数据,完成下面的2×2列联表(单位:株),并判断依据小概率值α=0.10的独立性检验,能否认 为该品种树苗成活与含有M元素有关联? 类别 树苗成活情况合计 成活 不成活 含M元素 不含M元素 合计 (2)若将频率视为概率,从样本中不成活的树苗中随机抽取3株,其中取自甲地的株数为X,求X的分布列 及方差. n(ad-bc) 2 参考公式:χ2= ,n=a+b+c+d. (a+b)(c+d)(a+c)(b+d) 参考数据: α 0.10 0.05 0.010 0.005 x 2.706 3.841 6.635 7.879 α答案精析 1.A 2.B 3.ABD 2 4. 3 解析 由题y>x>0, y 4x 所以 - y-x 2x+ y y 4x+2y-2y = - y-x 2x+ y y 2y = + -2 y-x 2x+ y ( 1 2 ) =y + -2 y-x 2x+ y ( 2 2 ) =y + -2 2y-2x 2x+ y 1 ( 2 2 ) = [(2y-2x)+(2x+y)]· + -2 3 2y-2x 2x+ y 2( 2x+ y 2y-2x) = 2+ + -2 3 2y-2x 2x+ y 2( √ 2x+ y 2y-2x) ≥ 2+2 · -2 3 2y-2x 2x+ y 8 2 = -2= , 3 3 2x+ y 2y-2x 当且仅当 = , 2y-2x 2x+ y 即2x+y=2y-2x,即y=4x时,等号成立. 5.解 (1)依题意可得2×2列联表如下: 树苗成活情况 类别 合计 成活 不成活 含M元素 45 5 50 不含M元素 40 10 50 合计 85 15 100 零假设为H :该品种树苗成活与含有M元素无关联. 0 根据列联表中的数据,经计算得到100×(45×10-40×5) 2 100 χ2= = 50×50×85×15 51 ≈1.961<2.706=x , 0.10 根据小概率值α=0.10的独立性检验,没有充分证据推断H 不成立, 0 因此可以认为H 成立,即认为该品种树苗成活与含有M元素无关联. 0 (2)由题意知,不成活的树苗共有15株,甲地不成活的树苗有5株,X的可能取值为0,1,2,3, C0C3 24 5 10 故P(X=0)= = , C3 91 15 C1C2 45 5 10 P(X=1)= = , C3 91 15 C2C1 20 5 10 P(X=2)= = , C3 91 15 C3C0 2 5 10 P(X=3)= = , C3 91 15 故X的分布列为 X 0 1 2 3 24 45 20 2 P 91 91 91 91 24 45 20 2 数学期望E(X)=0× +1× +2× +3× =1, 91 91 91 91 24 45 20 2 4 方差D(X)= ×(0-1)2+ ×(1-1)2+ ×(2-1)2+ ×(3-1)2= . 91 91 91 91 7