当前位置:首页>文档>第一周 周二_02高考数学_2025年新高考资料_二轮复习_2025年高考数学大二轮_2025数学二轮专题复习教师用书Word版文档_每日一练_第一周

第一周 周二_02高考数学_2025年新高考资料_二轮复习_2025年高考数学大二轮_2025数学二轮专题复习教师用书Word版文档_每日一练_第一周

  • 2026-04-19 06:16:10 2026-04-19 06:16:10

文档预览

第一周 周二_02高考数学_2025年新高考资料_二轮复习_2025年高考数学大二轮_2025数学二轮专题复习教师用书Word版文档_每日一练_第一周
第一周 周二_02高考数学_2025年新高考资料_二轮复习_2025年高考数学大二轮_2025数学二轮专题复习教师用书Word版文档_每日一练_第一周
第一周 周二_02高考数学_2025年新高考资料_二轮复习_2025年高考数学大二轮_2025数学二轮专题复习教师用书Word版文档_每日一练_第一周
第一周 周二_02高考数学_2025年新高考资料_二轮复习_2025年高考数学大二轮_2025数学二轮专题复习教师用书Word版文档_每日一练_第一周
第一周 周二_02高考数学_2025年新高考资料_二轮复习_2025年高考数学大二轮_2025数学二轮专题复习教师用书Word版文档_每日一练_第一周
第一周 周二_02高考数学_2025年新高考资料_二轮复习_2025年高考数学大二轮_2025数学二轮专题复习教师用书Word版文档_每日一练_第一周
第一周 周二_02高考数学_2025年新高考资料_二轮复习_2025年高考数学大二轮_2025数学二轮专题复习教师用书Word版文档_每日一练_第一周
第一周 周二_02高考数学_2025年新高考资料_二轮复习_2025年高考数学大二轮_2025数学二轮专题复习教师用书Word版文档_每日一练_第一周

文档信息

文档格式
docx
文档大小
1.622 MB
文档页数
4 页
上传时间
2026-04-19 06:16:10

文档内容

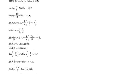
周二 1.(2024·温州适应性考试)在△ABC中,三个内角A,B,C成等差数列,则sin(A+C)等于( ) 1 √2 A. B. 2 2 √3 C. D.1 2 答案 C 解析 因为A,B,C成等差数列,所以A+C=2B,又A+B+C=π,所以3B=π, π 2π 即B= ,所以A+C=2B= , 3 3 2π √3 所以sin(A+C)=sin = . 3 2 2.(2024·承德模拟)将5本不同的书(2本文学书、2本科学书和1本体育书)分给甲、乙、丙三人,每人至少 分得1本书,每本书只能分给一人,其中体育书只能分给甲、乙中的一人,则不同的分配方法数为( ) A.78 B.92 C.100 D.122 答案 C C2·C2 解析 若将体育书分给甲,当剩余4本书恰好分给乙、丙时,此时的分配方法有C3 ·C1 ·A2 + 4 2 ·A2 4 1 2 A2 2 2 =14(种); 当剩余4本书恰好分给甲、乙、丙三人时,此时的分配方法有C2 ·A3 =36(种). 4 3 综上,将体育书分给甲,不同的分配方法数是14+36=50. 同理,将体育书分给乙,不同的分配方法数也是50. 故不同的分配方法数是50+50=100. √3 3.(多选)(2024·承德模拟)如图,点A,B,C是函数f(x)=sin(ωx+φ)(ω>0)的图象与直线y= 相邻的三个交点, 2 π ( π ) 且|BC|-|AB|= ,f - =0,则( ) 3 12 A.ω=4 (9π) 1 B.f = 8 2(π π) C.函数f(x)在 , 上单调递减 3 2 π D.若将函数f(x)的图象沿x轴平移θ个单位长度,得到一个偶函数的图象,则|θ|的最小值为 24 答案 ACD √3 解析 令f(x)=sin(ωx+φ)= ,得 2 π 2π ωx+φ= +2kπ,k∈Z或ωx+φ= +2kπ,k∈Z, 3 3 π 由图可知ωx +φ= +2kπ,k∈Z, A 3 π ωx +φ= +2kπ+2π,k∈Z, C 3 2π ωx +φ= +2kπ,k∈Z, B 3 1( π ) 所以|BC|=x -x = - +2π , C B ω 3 1 π |AB|=x -x = · , B A ω 3 π 1( 2π ) 所以 =|BC|-|AB|= - +2π , 3 ω 3 所以ω=4,故A正确; 所以f(x)=sin(4x+φ), ( π ) ( π ) 由f - =0得sin - +φ =0, 12 3 π 所以- +φ=π+2mπ,m∈Z, 3 4π 所以φ= +2mπ,m∈Z, 3 ( 4π ) 所以f(x)=sin 4x+ +2mπ 3 ( 4π) ( π) =sin 4x+ =-sin 4x+ , 3 3 (9π) (9π π) 1 f =-sin + =- ,故B错误; 8 2 3 2 (π π) 当x∈ , 时, 3 2π (5π 7π) 4x+ ∈ , , 3 3 3 (5π 7π) (π π) 因为y=-sin t在 , 上单调递减,故f(x)在 , 上单调递减,故C正确; 3 3 3 2 ( π) 将函数f(x)的图象沿x轴平移θ个单位长度得g(x)=-sin 4x+4θ+ (θ<0时向右平移,θ>0时向左平移)的 3 图象, π π 由g(x)为偶函数,得4θ+ = +nπ,n∈Z, 3 2 π nπ π 所以θ= + ,n∈Z,则|θ|的最小值为 ,故D正确. 24 4 24 4.(2024·济南模拟)在正四棱柱ABCD-A B C D 中,AB=4,AA =6,M,N分别是AB,AD的中点,则平面 1 1 1 1 1 MNC 截该四棱柱所得截面的周长为 . 1 答案 14√2 解析 延长NM,CB相交于点H,连接C H交BB 于点G,连接MG, 1 1 因为在正四棱柱ABCD-A B C D 中,AB=4,AA =6,M,N分别是AB,AD的中点, 1 1 1 1 1 所以MN=√AM2+AN2=2√2,BH=AN,CC =6, 1 GB BH 1 因为△HBG∽△HCC ,所以 = = , 1 CC CH 3 1 故BG=2,GH=√BG2+BH2=2√2, 在DD 上取点Q,使DQ=BG,连接NQ,C Q,GQ, 1 1 则NQ=√DN2+DQ2=2√2, 同理可知GQ=NH,所以四边形GQNH为平行四边形, 故G,H,N,Q四点共面, 则平面MNC 截该四棱柱所得的截面为五边形NMGC Q, 1 1 MG=√MB2+BG2=2√2,C G=√C B2+B G2=√42+42=4√2, 1 1 1 1 同理C Q=4√2, 1 故截面周长为MN+MG+C G+C Q+NQ=2√2+2√2+4√2+4√2+2√2=14√2. 1 1 1 5.(2024·鞍山模拟)已知函数f(x)= ax2-(a+2)x+2ln x,a∈R. 2 (1)若曲线y=f(x)在点(2,f(2))处的切线与y轴垂直,求实数a的值;(2)讨论函数f(x)的单调性. 解 (1)依题意x>0, 1 f(x)= ax2-(a+2)x+2ln x, 2 2 则f'(x)=ax-(a+2)+ x ax2-(a+2)x+2 (x-1)(ax-2) = = , x x 因为曲线y=f(x)在点(2,f(2))处的切线与y轴垂直, 所以f'(2)=a-1=0,解得a=1. (x-1)(ax-2) (2)由(1)知f'(x)= (x>0), x 当a≤0时,由f'(x)>0得01, 所以f(x)的单调递增区间为(0,1),单调递减区间(1,+∞); 当a>0时,分以下三种情况: 若a=2,则f'(x)≥0在定义域内恒成立, 所以f(x)的单调递增区间为(0,+∞),无单调递减区间; 2 若00得0 , a 2 令f'(x)<0得12,令f'(x)>0得01,令f'(x)<0得 2时,f(x)在 0, ,(1,+∞)上单调递增,在 ,1 上单调递减. a a