当前位置:首页>文档>重难点突破17圆锥曲线中参数范围与最值问题(八大题型)(解析版)_02高考数学_新高考复习资料_2024年新高考资料_一轮复习资料_❤有更新第八章平面解析几何_解析版(讲义+练习)

重难点突破17圆锥曲线中参数范围与最值问题(八大题型)(解析版)_02高考数学_新高考复习资料_2024年新高考资料_一轮复习资料_❤有更新第八章平面解析几何_解析版(讲义+练习)

  • 2026-04-21 10:02:23 2026-04-21 10:02:23

文档预览

重难点突破17圆锥曲线中参数范围与最值问题(八大题型)(解析版)_02高考数学_新高考复习资料_2024年新高考资料_一轮复习资料_❤有更新第八章平面解析几何_解析版(讲义+练习)
重难点突破17圆锥曲线中参数范围与最值问题(八大题型)(解析版)_02高考数学_新高考复习资料_2024年新高考资料_一轮复习资料_❤有更新第八章平面解析几何_解析版(讲义+练习)
重难点突破17圆锥曲线中参数范围与最值问题(八大题型)(解析版)_02高考数学_新高考复习资料_2024年新高考资料_一轮复习资料_❤有更新第八章平面解析几何_解析版(讲义+练习)
重难点突破17圆锥曲线中参数范围与最值问题(八大题型)(解析版)_02高考数学_新高考复习资料_2024年新高考资料_一轮复习资料_❤有更新第八章平面解析几何_解析版(讲义+练习)
重难点突破17圆锥曲线中参数范围与最值问题(八大题型)(解析版)_02高考数学_新高考复习资料_2024年新高考资料_一轮复习资料_❤有更新第八章平面解析几何_解析版(讲义+练习)
重难点突破17圆锥曲线中参数范围与最值问题(八大题型)(解析版)_02高考数学_新高考复习资料_2024年新高考资料_一轮复习资料_❤有更新第八章平面解析几何_解析版(讲义+练习)
重难点突破17圆锥曲线中参数范围与最值问题(八大题型)(解析版)_02高考数学_新高考复习资料_2024年新高考资料_一轮复习资料_❤有更新第八章平面解析几何_解析版(讲义+练习)
重难点突破17圆锥曲线中参数范围与最值问题(八大题型)(解析版)_02高考数学_新高考复习资料_2024年新高考资料_一轮复习资料_❤有更新第八章平面解析几何_解析版(讲义+练习)
重难点突破17圆锥曲线中参数范围与最值问题(八大题型)(解析版)_02高考数学_新高考复习资料_2024年新高考资料_一轮复习资料_❤有更新第八章平面解析几何_解析版(讲义+练习)
重难点突破17圆锥曲线中参数范围与最值问题(八大题型)(解析版)_02高考数学_新高考复习资料_2024年新高考资料_一轮复习资料_❤有更新第八章平面解析几何_解析版(讲义+练习)
重难点突破17圆锥曲线中参数范围与最值问题(八大题型)(解析版)_02高考数学_新高考复习资料_2024年新高考资料_一轮复习资料_❤有更新第八章平面解析几何_解析版(讲义+练习)
重难点突破17圆锥曲线中参数范围与最值问题(八大题型)(解析版)_02高考数学_新高考复习资料_2024年新高考资料_一轮复习资料_❤有更新第八章平面解析几何_解析版(讲义+练习)
重难点突破17圆锥曲线中参数范围与最值问题(八大题型)(解析版)_02高考数学_新高考复习资料_2024年新高考资料_一轮复习资料_❤有更新第八章平面解析几何_解析版(讲义+练习)
重难点突破17圆锥曲线中参数范围与最值问题(八大题型)(解析版)_02高考数学_新高考复习资料_2024年新高考资料_一轮复习资料_❤有更新第八章平面解析几何_解析版(讲义+练习)
重难点突破17圆锥曲线中参数范围与最值问题(八大题型)(解析版)_02高考数学_新高考复习资料_2024年新高考资料_一轮复习资料_❤有更新第八章平面解析几何_解析版(讲义+练习)
重难点突破17圆锥曲线中参数范围与最值问题(八大题型)(解析版)_02高考数学_新高考复习资料_2024年新高考资料_一轮复习资料_❤有更新第八章平面解析几何_解析版(讲义+练习)
重难点突破17圆锥曲线中参数范围与最值问题(八大题型)(解析版)_02高考数学_新高考复习资料_2024年新高考资料_一轮复习资料_❤有更新第八章平面解析几何_解析版(讲义+练习)
重难点突破17圆锥曲线中参数范围与最值问题(八大题型)(解析版)_02高考数学_新高考复习资料_2024年新高考资料_一轮复习资料_❤有更新第八章平面解析几何_解析版(讲义+练习)
重难点突破17圆锥曲线中参数范围与最值问题(八大题型)(解析版)_02高考数学_新高考复习资料_2024年新高考资料_一轮复习资料_❤有更新第八章平面解析几何_解析版(讲义+练习)
重难点突破17圆锥曲线中参数范围与最值问题(八大题型)(解析版)_02高考数学_新高考复习资料_2024年新高考资料_一轮复习资料_❤有更新第八章平面解析几何_解析版(讲义+练习)
重难点突破17圆锥曲线中参数范围与最值问题(八大题型)(解析版)_02高考数学_新高考复习资料_2024年新高考资料_一轮复习资料_❤有更新第八章平面解析几何_解析版(讲义+练习)
重难点突破17圆锥曲线中参数范围与最值问题(八大题型)(解析版)_02高考数学_新高考复习资料_2024年新高考资料_一轮复习资料_❤有更新第八章平面解析几何_解析版(讲义+练习)
重难点突破17圆锥曲线中参数范围与最值问题(八大题型)(解析版)_02高考数学_新高考复习资料_2024年新高考资料_一轮复习资料_❤有更新第八章平面解析几何_解析版(讲义+练习)
重难点突破17圆锥曲线中参数范围与最值问题(八大题型)(解析版)_02高考数学_新高考复习资料_2024年新高考资料_一轮复习资料_❤有更新第八章平面解析几何_解析版(讲义+练习)
重难点突破17圆锥曲线中参数范围与最值问题(八大题型)(解析版)_02高考数学_新高考复习资料_2024年新高考资料_一轮复习资料_❤有更新第八章平面解析几何_解析版(讲义+练习)
重难点突破17圆锥曲线中参数范围与最值问题(八大题型)(解析版)_02高考数学_新高考复习资料_2024年新高考资料_一轮复习资料_❤有更新第八章平面解析几何_解析版(讲义+练习)
重难点突破17圆锥曲线中参数范围与最值问题(八大题型)(解析版)_02高考数学_新高考复习资料_2024年新高考资料_一轮复习资料_❤有更新第八章平面解析几何_解析版(讲义+练习)
重难点突破17圆锥曲线中参数范围与最值问题(八大题型)(解析版)_02高考数学_新高考复习资料_2024年新高考资料_一轮复习资料_❤有更新第八章平面解析几何_解析版(讲义+练习)
重难点突破17圆锥曲线中参数范围与最值问题(八大题型)(解析版)_02高考数学_新高考复习资料_2024年新高考资料_一轮复习资料_❤有更新第八章平面解析几何_解析版(讲义+练习)
重难点突破17圆锥曲线中参数范围与最值问题(八大题型)(解析版)_02高考数学_新高考复习资料_2024年新高考资料_一轮复习资料_❤有更新第八章平面解析几何_解析版(讲义+练习)
重难点突破17圆锥曲线中参数范围与最值问题(八大题型)(解析版)_02高考数学_新高考复习资料_2024年新高考资料_一轮复习资料_❤有更新第八章平面解析几何_解析版(讲义+练习)
重难点突破17圆锥曲线中参数范围与最值问题(八大题型)(解析版)_02高考数学_新高考复习资料_2024年新高考资料_一轮复习资料_❤有更新第八章平面解析几何_解析版(讲义+练习)
重难点突破17圆锥曲线中参数范围与最值问题(八大题型)(解析版)_02高考数学_新高考复习资料_2024年新高考资料_一轮复习资料_❤有更新第八章平面解析几何_解析版(讲义+练习)
重难点突破17圆锥曲线中参数范围与最值问题(八大题型)(解析版)_02高考数学_新高考复习资料_2024年新高考资料_一轮复习资料_❤有更新第八章平面解析几何_解析版(讲义+练习)
重难点突破17圆锥曲线中参数范围与最值问题(八大题型)(解析版)_02高考数学_新高考复习资料_2024年新高考资料_一轮复习资料_❤有更新第八章平面解析几何_解析版(讲义+练习)
重难点突破17圆锥曲线中参数范围与最值问题(八大题型)(解析版)_02高考数学_新高考复习资料_2024年新高考资料_一轮复习资料_❤有更新第八章平面解析几何_解析版(讲义+练习)
重难点突破17圆锥曲线中参数范围与最值问题(八大题型)(解析版)_02高考数学_新高考复习资料_2024年新高考资料_一轮复习资料_❤有更新第八章平面解析几何_解析版(讲义+练习)
重难点突破17圆锥曲线中参数范围与最值问题(八大题型)(解析版)_02高考数学_新高考复习资料_2024年新高考资料_一轮复习资料_❤有更新第八章平面解析几何_解析版(讲义+练习)
重难点突破17圆锥曲线中参数范围与最值问题(八大题型)(解析版)_02高考数学_新高考复习资料_2024年新高考资料_一轮复习资料_❤有更新第八章平面解析几何_解析版(讲义+练习)
重难点突破17圆锥曲线中参数范围与最值问题(八大题型)(解析版)_02高考数学_新高考复习资料_2024年新高考资料_一轮复习资料_❤有更新第八章平面解析几何_解析版(讲义+练习)
重难点突破17圆锥曲线中参数范围与最值问题(八大题型)(解析版)_02高考数学_新高考复习资料_2024年新高考资料_一轮复习资料_❤有更新第八章平面解析几何_解析版(讲义+练习)
重难点突破17圆锥曲线中参数范围与最值问题(八大题型)(解析版)_02高考数学_新高考复习资料_2024年新高考资料_一轮复习资料_❤有更新第八章平面解析几何_解析版(讲义+练习)
重难点突破17圆锥曲线中参数范围与最值问题(八大题型)(解析版)_02高考数学_新高考复习资料_2024年新高考资料_一轮复习资料_❤有更新第八章平面解析几何_解析版(讲义+练习)
重难点突破17圆锥曲线中参数范围与最值问题(八大题型)(解析版)_02高考数学_新高考复习资料_2024年新高考资料_一轮复习资料_❤有更新第八章平面解析几何_解析版(讲义+练习)
重难点突破17圆锥曲线中参数范围与最值问题(八大题型)(解析版)_02高考数学_新高考复习资料_2024年新高考资料_一轮复习资料_❤有更新第八章平面解析几何_解析版(讲义+练习)
重难点突破17圆锥曲线中参数范围与最值问题(八大题型)(解析版)_02高考数学_新高考复习资料_2024年新高考资料_一轮复习资料_❤有更新第八章平面解析几何_解析版(讲义+练习)
重难点突破17圆锥曲线中参数范围与最值问题(八大题型)(解析版)_02高考数学_新高考复习资料_2024年新高考资料_一轮复习资料_❤有更新第八章平面解析几何_解析版(讲义+练习)
重难点突破17圆锥曲线中参数范围与最值问题(八大题型)(解析版)_02高考数学_新高考复习资料_2024年新高考资料_一轮复习资料_❤有更新第八章平面解析几何_解析版(讲义+练习)
重难点突破17圆锥曲线中参数范围与最值问题(八大题型)(解析版)_02高考数学_新高考复习资料_2024年新高考资料_一轮复习资料_❤有更新第八章平面解析几何_解析版(讲义+练习)
重难点突破17圆锥曲线中参数范围与最值问题(八大题型)(解析版)_02高考数学_新高考复习资料_2024年新高考资料_一轮复习资料_❤有更新第八章平面解析几何_解析版(讲义+练习)
重难点突破17圆锥曲线中参数范围与最值问题(八大题型)(解析版)_02高考数学_新高考复习资料_2024年新高考资料_一轮复习资料_❤有更新第八章平面解析几何_解析版(讲义+练习)
重难点突破17圆锥曲线中参数范围与最值问题(八大题型)(解析版)_02高考数学_新高考复习资料_2024年新高考资料_一轮复习资料_❤有更新第八章平面解析几何_解析版(讲义+练习)
重难点突破17圆锥曲线中参数范围与最值问题(八大题型)(解析版)_02高考数学_新高考复习资料_2024年新高考资料_一轮复习资料_❤有更新第八章平面解析几何_解析版(讲义+练习)
重难点突破17圆锥曲线中参数范围与最值问题(八大题型)(解析版)_02高考数学_新高考复习资料_2024年新高考资料_一轮复习资料_❤有更新第八章平面解析几何_解析版(讲义+练习)
重难点突破17圆锥曲线中参数范围与最值问题(八大题型)(解析版)_02高考数学_新高考复习资料_2024年新高考资料_一轮复习资料_❤有更新第八章平面解析几何_解析版(讲义+练习)
重难点突破17圆锥曲线中参数范围与最值问题(八大题型)(解析版)_02高考数学_新高考复习资料_2024年新高考资料_一轮复习资料_❤有更新第八章平面解析几何_解析版(讲义+练习)
重难点突破17圆锥曲线中参数范围与最值问题(八大题型)(解析版)_02高考数学_新高考复习资料_2024年新高考资料_一轮复习资料_❤有更新第八章平面解析几何_解析版(讲义+练习)
重难点突破17圆锥曲线中参数范围与最值问题(八大题型)(解析版)_02高考数学_新高考复习资料_2024年新高考资料_一轮复习资料_❤有更新第八章平面解析几何_解析版(讲义+练习)
重难点突破17圆锥曲线中参数范围与最值问题(八大题型)(解析版)_02高考数学_新高考复习资料_2024年新高考资料_一轮复习资料_❤有更新第八章平面解析几何_解析版(讲义+练习)
重难点突破17圆锥曲线中参数范围与最值问题(八大题型)(解析版)_02高考数学_新高考复习资料_2024年新高考资料_一轮复习资料_❤有更新第八章平面解析几何_解析版(讲义+练习)
重难点突破17圆锥曲线中参数范围与最值问题(八大题型)(解析版)_02高考数学_新高考复习资料_2024年新高考资料_一轮复习资料_❤有更新第八章平面解析几何_解析版(讲义+练习)
重难点突破17圆锥曲线中参数范围与最值问题(八大题型)(解析版)_02高考数学_新高考复习资料_2024年新高考资料_一轮复习资料_❤有更新第八章平面解析几何_解析版(讲义+练习)
重难点突破17圆锥曲线中参数范围与最值问题(八大题型)(解析版)_02高考数学_新高考复习资料_2024年新高考资料_一轮复习资料_❤有更新第八章平面解析几何_解析版(讲义+练习)
重难点突破17圆锥曲线中参数范围与最值问题(八大题型)(解析版)_02高考数学_新高考复习资料_2024年新高考资料_一轮复习资料_❤有更新第八章平面解析几何_解析版(讲义+练习)
重难点突破17圆锥曲线中参数范围与最值问题(八大题型)(解析版)_02高考数学_新高考复习资料_2024年新高考资料_一轮复习资料_❤有更新第八章平面解析几何_解析版(讲义+练习)
重难点突破17圆锥曲线中参数范围与最值问题(八大题型)(解析版)_02高考数学_新高考复习资料_2024年新高考资料_一轮复习资料_❤有更新第八章平面解析几何_解析版(讲义+练习)
重难点突破17圆锥曲线中参数范围与最值问题(八大题型)(解析版)_02高考数学_新高考复习资料_2024年新高考资料_一轮复习资料_❤有更新第八章平面解析几何_解析版(讲义+练习)
重难点突破17圆锥曲线中参数范围与最值问题(八大题型)(解析版)_02高考数学_新高考复习资料_2024年新高考资料_一轮复习资料_❤有更新第八章平面解析几何_解析版(讲义+练习)
重难点突破17圆锥曲线中参数范围与最值问题(八大题型)(解析版)_02高考数学_新高考复习资料_2024年新高考资料_一轮复习资料_❤有更新第八章平面解析几何_解析版(讲义+练习)
重难点突破17圆锥曲线中参数范围与最值问题(八大题型)(解析版)_02高考数学_新高考复习资料_2024年新高考资料_一轮复习资料_❤有更新第八章平面解析几何_解析版(讲义+练习)

文档信息

文档格式
docx
文档大小
6.305 MB
文档页数
66 页
上传时间
2026-04-21 10:02:23

文档内容

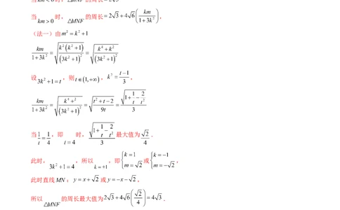
重难点突破17 圆锥曲线中参数范围与最值问题 目录 1、求最值问题常用的两种方法 (1)几何法:题中给出的条件有明显的几何特征,则考虑用几何图形性质来解决,这是几何法. (2)代数法:题中给出的条件和结论的几何特征不明显,则可以建立目标函数,再求该函数的最值. 求函数的最值常见的方法有基本不等式法、单调性法、导数法和三角换元法等,这就是代数法. 2、求参数范围问题的常用方法 构建所求几何量的含参一元函数,形如 ,并且进一步找到自变量范围,进而求出值域,即 所求几何量的范围,常见的函数有: (1)二次函数;(2)“对勾函数” ;(3)反比例函数;(4)分式函数.若出现非 常规函数,则可考虑通过换元“化归”为常规函数,或者利用导数进行解决.这里找自变量的取值范围在 资料整理【淘宝店铺:向阳百分百】或者换元的过程中产生.除此之外,在找自变量取值范围时,还可以从以下几个方面考虑: ①利用判别式构造不等关系,从而确定参数的取值范围. ②利用已知参数的范围,求出新参数的范围,解题的关键是建立两个参数之间的等量关系. ③利用基本不等式求出参数的取值范围. ④利用函数值域的求法,确定参数的取值范围. 题型一:弦长最值问题 例1.(2023·湖北武汉·高二华中师大一附中校考期中)已知圆 的任意一条切线l与椭圆 都有两个不同交点A,B(O是坐标原点) (1)求圆O半径r的取值范围; (2)是否存在圆O,使得 恒成立?若存在,求出圆O的方程及 的最大值;若不存在, 说明理由. 【解析】(1)当 时,圆 在椭圆内部,切点在椭圆内,圆的每一条切线都过椭圆内部的点,切线 与椭圆总有两个不同交点,满足题意;当 时,圆的切线 和 都和椭圆最多只有一个公共点, 不满足题意; 故 的取值范围是 . (2)当圆的切线的斜率存在时,设圆的切线为 ,设 ,由 消去 得: ,则 , ,则 ,由 得 ,即 , ,又由 与圆 相切得 ,即 ,解得 ,此时圆 的方程为 . 当切线斜率不存在时,上述圆的切线为 或 ,这两条切线与椭圆的交点为 , 或 , ,也满足 ,故满足条件的圆 存在,其方程为 . 当切线斜率存在且不等于 时,因为 ,当且仅当 时取等号; 资料整理【淘宝店铺:向阳百分百】当切线斜率不存在或等于 时, ,则 ,又 ,故 ,则 . 例2.(2023·河北·统考模拟预测)在平面直角坐标系xOy中,点A在 轴上滑动,点B在 轴上滑动, A、B两点间距离为 .点P满足 ,且点P的轨迹为C. (1)求C的方程; (2)设M,N是C上的不同两点,直线MN斜率存在且与曲线 相切,若点F为 ,那么 的周长是否有最大值.若有,求出这个最大值,若没有,请说明理由. 【解析】(1)设点 坐标为 ,点 , 的坐标分别为 , . 由题意 ,得 则 , , 又因为 、 两点间距离为 ,则 整理得点 的轨迹为椭圆,其方程 : . (2)因为直线 的斜率存在,设 , , 设直线 : ,因为 , 是椭圆 上的不同两点,所以 由直线 与曲线 相切可得 ,得 , 联立 可得 , 所以 , , 所以 , ∵ , 资料整理【淘宝店铺:向阳百分百】同理 所以 的周长 当 时, 的周长 当 时, 的周长 , (法一)由 设 ,则 , , 当 ,即 时, 最大值为 . 此时, ,所以 ,即 或 , 此时直线 : 或 , 所以 的周长最大值为 . (法二) 当 ,即 时,等号成立,则 或 , 此时直线 : 或 , 资料整理【淘宝店铺:向阳百分百】所以 的周长最大值为 . 例3.(2023·广东佛山·华南师大附中南海实验高中校考模拟预测)在椭圆 )中, ,过点 与 的直线的斜率为 . (1)求椭圆 的标准方程; (2)设 为椭圆 的右焦点, 为直线 上任意一点,过 作 的垂线交椭圆 于 两点,求 的最大值. 【解析】(1)过点 与 的直线的斜率为 , 所以 ,即 , 又 ,即 ,解得 , 所以椭圆 的标准方程是 . (2)由题知 ,作出图形如图所示 设点 ,则直线 的斜率为 . 当 时,直线 的斜率 ,直线 的方程是 ; 当 时,直线 的方程是 ,也符合 的形式, 将直线 的方程 代入椭圆 方程得 ,且 , 设 ,则 . 所以 资料整理【淘宝店铺:向阳百分百】又 ,令 ,则 , 当且仅当 ,即 时等号成立, 由 ,解得 , 所以 的最大值为 . 变式1.(2023·全国·高三专题练习)已知椭圆 的离心率为 ,焦距为 ,过 的左焦点 的直线 与 相交于 、 两点,与直线 相交于点 . (1)若 ,求证: ; (2)过点 作直线 的垂线 与 相交于 、 两点,与直线 相交于点 .求 的最大值. 【解析】(1)证明:设 、 ,因为椭圆 的焦距为 ,所以 ,解得 . 又因为椭圆 的离心率 ,所以 ,所以 , 所以椭圆 的方程为 . 因为直线 经过 、 , , 所以,直线 的方程为 , 设点 、 ,联立 可得 , 由 ,得 , . 所以 , , 因此, . 资料整理【淘宝店铺:向阳百分百】(2)证明:若直线 、 中两条直线分别与两条坐标轴垂直,则其中有一条必与直线 平行,不合乎 题意, 所以,直线 的斜率存在且不为零,设直线 方程为 , 则直线 方程为 ,其中 . 联立 可得 , 设 、 ,则 , 由韦达定理可得 , , 易知 且 ,将 代入直线 的方程可得 ,即点 , 所以 , 同理可得 , 所以 , 当且仅当 时,等号成立, 因此, 的最大值为 . 变式2.(2023·全国·高三专题练习)已知椭圆 的离心率为 ,左顶点为 , 直线 与椭圆 交于 , 两点. (1)求椭圆的 的标准方程; (2)若直线 , 的斜率分别为 , ,且 ,求 的最小值. 资料整理【淘宝店铺:向阳百分百】【解析】(1)由题知,椭圆 的离心率为 ,左顶点为 , 所以 ,解得 , 所以椭圆 的标准方程为 . (2)由(1)得, , 因为直线 与椭圆 交于 , 两点, 由题可知,直线 斜率为0时, , 所以直线 的斜率不为0, 所以设直线 , 联立方程 ,得 , 所以 , , 所以 ,解得 , 此时 恒成立, 所以直线 的方程为直线 ,直线 过定点 , 此时 , 资料整理【淘宝店铺:向阳百分百】所以 , 当且仅当 时取等号, 所以 的最小值为3. 变式3.(2023·江西南昌·统考一模)已知双曲线 (b>a>0),O为坐标原点,离心率 , 点 在双曲线上. (1)求双曲线的方程; (2)若直线 与双曲线交于P、Q两点,且 .求|OP|2+|OQ|2的最小值. 【解析】(1)由 ,可得 , ∴ , ∴ 双曲线方程为 , ∵ 点 在双曲线上, ∴ , 解得 , ∴ 双曲线的方程为 . (2)①当直线 的斜率存在时,设直线 的方程为 , 由 消去 整理得 , ∵直线 与双曲线交于 两点, ∴ . 设 , , 则 , 资料整理【淘宝店铺:向阳百分百】由 得到: , 即 , ∴ , 化简得 . ∴ , 当 时上式取等号,且方程(*)有解. ②当直线 的斜率不存在时,设直线 的方程为 ,则有 , 由 可得 , 可得 ,解得 . ∴ . ∴ . 综上可得 的最小值是24. 题型二:三角形面积最值问题 例4.(2023·云南·校联考模拟预测)已知椭圆 的左、右顶点分别为 、 , 为椭圆上异于 、 的动点,设直线 、 的斜率分别为 、 ,且 . (1)求椭圆 的标准方程; (2)设动直线 与椭圆 相交于 、 两点, 为坐标原点,若 , 的面积是否存在最小值? 若存在,求出这个最小值;若不存在,请说明理由. 【解析】(1)不妨设 的坐标为 ,则 ,则 , 又 、 ,则 . 故可得 ,可得 ,故可得椭圆 的方程为 . (2)因为 ,且 、 均为非零向量,则 . 当点 、 均为椭圆 的顶点时,则 ; 若直线 、 的斜率都存在时,设直线 的方程为 , 资料整理【淘宝店铺:向阳百分百】则直线 的方程为 , 联立 可得 ,所以, , 同理可得 , 此时, , 当且仅当 时,即当 时,等号成立, 又因为 ,故当 时, 的面积存在最小值,且最小值为 . 例5.(2023·安徽安庆·安庆一中校考模拟预测)如图, 分别是矩形 四边的中点, , . (1)求直线 与直线 交点 的轨迹方程; (2)过点 任作直线与点 的轨迹交于 两点,直线 与直线 的交点为 ,直线 与直线 资料整理【淘宝店铺:向阳百分百】的交点为 ,求 面积的最小值. 【解析】(1)由已知, , , , 当 时,直线 方程: , 直线 方程: , 联立上述两方程消去 得: , 当 时,交点 符合上述方程, 又交点 不可能为 , 故所求的轨迹方程为 且 . (2)设 方程: (依题意 存在 , 代入 得 , ,设 , , , 方程: , 方程: , 联立上述两方程消去得: . , 所以 ,其中 , 同理直线 与直线 的交点 ,其中 , , (当且仅当 时取等号), 故 的面积最小值为 ,此时直线 的方程为 . 资料整理【淘宝店铺:向阳百分百】例6.(2023·上海黄浦·高三上海市大同中学校考阶段练习)已知椭圆 . (1)求该椭圆的离心率; (2)设点 是椭圆C上一点,求证:过点P的椭圆C的切线方程为 ; (3)若点M为直线l:x=4上的动点,过点M作该椭圆的切线MA,MB,切点分别为 ,求△ 的面积 的最小值. 【解析】(1)椭圆 中, ,则 , 则 ,则椭圆的离心率为 (2)当切线斜率存在时,其方程可设为 , 由 ,整理得 , 则 ,则 此时方程的根为 ,则切点横坐标 , 切点纵坐标 , 则 , , 则切线方程为 ,整理得 ; 当切线斜率不存在时,其切点为 或 , 切线方程为 ,满足 . 综上,点 是椭圆C上一点时, 过点P的椭圆C的切线方程为 资料整理【淘宝店铺:向阳百分百】(3)设 , , 则椭圆C在点 的切线方程分别为 , , 又 在两条切线上,则 , , 则直线 的方程为 ,即 由 整理得, , 则 , 则 , 又点M到直线 的距离 , 则△ 的面积为 令 ,则 , , 则 , 令 , , 则 恒成立, 则 在 上单调递增,则 当且仅当 即点M坐标为 时等号成立, 则△ 的面积的最小值为 . 资料整理【淘宝店铺:向阳百分百】变式4.(2023·全国·高三专题练习)已知双曲线 : 和圆 : (其中原点 为圆心),过双曲线 上一点 引圆 的两条切线,切点分别为 、 . (1)若双曲线 上存在点 ,使得 ,求双曲线离心率 的取值范围; (2)求直线 的方程; (3)求三角形 面积的最大值. 【解析】(1)因为 ,所以 ,所以 . 由 及圆的性质,可知四边形 是正方形,所以 . 因为 ,所以 ,所以 . 故双曲线离心率 的取值范围为 . (2)因为 , 所以以点 为圆心, 为半径的圆 的方程为 . 因为圆 与圆 两圆的公共弦所在的直线即为直线 , 所以联立方程组 , 消去 , ,即得直线 的方程为 . (3)由(2)知,直线 的方程为 , 所以点 到直线 的距离为 . 因为 , 所以三角形 的面积 . : 资料整理【淘宝店铺:向阳百分百】因为点 在双曲线 上, 所以 ,即 . 设 , 所以 . 因为 , 所以当 时, ,当 时, . 所以 在 上单调递增,在 上单调递减.当 ,即 时, ,当 ,即 时, . 综上可知,当 时, ;当 时, . 变式5.(2023·上海普陀·高三曹杨二中校考阶段练习)已知抛物线 为抛物线 上四点, 点 在 轴左侧,满足 . (1)求抛物线 的准线方程和焦点坐标; (2)设线段 的中点为 .证明:直线 与 轴垂直; (3)设圆 ,若点 为圆 上动点,设 的面积为 ,求 的最大值. 【解析】(1)因为 所以 , 所以准线是 焦点坐标是 . (2) 设 , 资料整理【淘宝店铺:向阳百分百】由 可知, 为 中点,且点 在抛物线上,即 又 , 整理可得: , 由 可知, 为 中点,且点 在抛物线上, 同理可得: , 故 为方程 的两根, D点的纵坐标为 所以直线的TD的斜率为0,即直线 与 轴垂直. (3) , , , 因为 在圆 上,所以 , , 则当 时, . 资料整理【淘宝店铺:向阳百分百】变式6.(2023·河北·统考模拟预测)已知抛物线 ,过点 的直线 与 交于 两 点,当直线 与 轴垂直时, (其中 为坐标原点). (1)求 的准线方程; (2)若点 在第一象限,直线 的倾斜角为锐角,过点 作 的切线与 轴交于点 ,连接 交 于另一点 为 ,直线 与 轴交于点 ,求 与 面积之比的最大值. 【解析】(1)将 代入 ,则 , 由 ,故 为等腰直角三角形,故 ,即 , 所以 ,故准线方程为 . (2)设 ,直线 ,联立抛物线得 , 所以 ,则 ,故 , 由 ,则 ,故 ,直线 , 令 ,则 ,故 , 设直线 ,联立抛物线得 , 所以 ,则 ,故 , 综上,直线 ,令 ,则 ,故 , 由直线 的倾斜角为锐角,故 ,则 , , 所以 ,令 ,则 , 则 ,仅当 ,即 时等号成立, 所以 与 面积之比的最大值 . 资料整理【淘宝店铺:向阳百分百】题型三:四边形面积最值问题 例7.(2023·河南·高三校联考阶段练习)在平面直角坐标系xOy中,已知点 ,直线 ,作 直线l的平行线 ,动点P满足到F的距离与到直线 的距离之和等于直线l与 之间的距离. 记动点P的轨迹为E. (1)求E的方程; (2)过 作倾斜角互补的两条直线分别交E于A,B两点和C,D两点,且直线AB的倾斜角 , 求四边形ACBD面积的最大值. 【解析】(1)过P分别作直线l, 的垂线,垂足为M,N,则由题意可得 ,即 , 则由抛物线的定义可知,动点P的轨迹为以 为焦点,直线 为准线的抛物线, 则有 , ,故E的方程为 . (2)由题目条件过 作倾斜角互补的两条直线分别交E于A,B两点和C,D两点, 可知直线AB,CD的斜率互为相反数.设 , , , 资料整理【淘宝店铺:向阳百分百】由直线AB的倾斜角 ,且直线AB的斜率 , 可知 ,解得 . 联立 ,消去x可得 , 则 , , , 则 , 同理可得 . 记直线AB,CD的夹角为 , 则 , 又 , 则 , 令 , ,则 , 令 ,则 , 当 时, , 单调递增, 则 , 故四边形ACBD面积的最大值为 . 例8.(2023·全国·高三专题练习)O为坐标原点椭圆 的左右焦点分别为 ,离 心率为 ;双曲线 的左右焦点分别为 ,离心率为 ,已知 ,切 . (1)求 的方程; (2)过 作 的不垂直于y轴的弦 ,M为 的中点,当直线 与 交于P,Q两点时,求四边形 资料整理【淘宝店铺:向阳百分百】面积的最小值. 【解析】(1)因为 , , , 所以 ① 因为 ,所以 ② 由①得: ,解得: ,代入②式中, 解得: , 所以 的方程为: , 的方程为: (2) ,因为直线 不垂直于y轴 所以设 方程为: 联立 得: 设 , , 则 , , , 则 , 因为点M在直线 上,所以 , 直线 : 联立 得: 解得: ,显然 ,故 当 时, , 资料整理【淘宝店铺:向阳百分百】当 时, 则 , , 点直线 距离分别是: , 因为 , 点直线 两侧,故 显然 ,所以 所以 则 则四边形 面积 当 时,四边形 面积 取得最小值,此时 此时 方程为: ,符合题意,故四边形 面积的最小值为1 例9.(2023·全国·高三专题练习)如图, 为坐标原点,椭圆 的左右焦点分别为 ,离心率为 ;双曲线 的左右焦点分别为 ,离心率为 ,已知 ,且 . (1)求 的方程; (2)过 点作 的不垂直于 轴的弦 , 为 的中点,当直线 与 交于 两点时,求四边形 面积的最小值. 资料整理【淘宝店铺:向阳百分百】【解析】(1)利用椭圆和双曲线 之间的关系可以用 分别表示双曲线和椭圆的离心率和焦点,由题目 和 即可得到 之间的两个方程,联立方程消元即可求出 的值,得到双曲线和椭圆 的标准方程. (2)利用(1)求出焦点 的坐标,设出弦 的直线的方程 ,联立直线与椭圆消 得到关于 的一元二次 方程,再利用根与系数的关系得到 两点纵坐标之间的和与积,进而得到 点的纵坐标带入AB直线即可 得到 的横坐标,进而求出直线 的方程,即为直线 的方程,联立直线 的方程 得到 的取值范围 和求出点 的坐标得到 的长度,利用点到直线的距离得到 到直线 的距离表达式,进而用 表示四 边形的面积,利用不等式的性质和 的取值范围即可得到面积的最小值. (1)由题可得 ,且 ,因为 ,且 ,所以 且 且 ,所以椭圆 方程为 , 双曲线 的方程为 . (2)由(1)可得 ,因为直线 不垂直于 轴,所以设直线 的方程为 ,联立直线与椭圆方程可 得 ,则 , ,则 ,因为 在直线 上,所以 ,则直线 的方程为 ,联立直线 与双曲线可得 , 则 ,则 , 设点 到直线 的距离为 ,则 到直线 的距离也为 ,则 ,因为 在直线 的两端,所以 , 则 ,又因为 在直线 上,所以 资料整理【淘宝店铺:向阳百分百】, 则四边形 面积 ,因为 ,所以当 时,四边形 面积的最小值为 . 考点:弦长 双曲线 椭圆 最值 变式7.(2023·山西朔州·高三校联考开学考试)已知椭圆E: 的左、右焦点分别为 , ,M为椭圆E的上顶点, ,点 在椭圆E上. (1)求椭圆E的标准方程; (2)设经过焦点 的两条互相垂直的直线分别与椭圆E相交于A,B两点和C,D两点,求四边形ACBD的 面积的最小值. 【解析】(1)设 ,由 ,有 . 又由 ,有 (O为坐标原点),可得 , , 可得椭圆E的方程为 , 代入点N的坐标,有 ,解得 , , 故椭圆E的标准方程为 ; (2)①当直线AB的斜率不存在或为0时, 为长轴长或 , 不妨设 , , 故 ; ②当直线AB的斜率存在且不为0时,设直线AB: , , , 联立方程 ,消去y得 , 资料整理【淘宝店铺:向阳百分百】则 , , 所以 , 同理可得 , 所以 , 因为 , 当且仅当 ,即 时等号成立, 所以 ,而 , 综上:四边形ACBD的面积的最小值为 . 变式8.(2023·湖南郴州·统考模拟预测)已知椭圆 的左、右焦点分别为 ,P 是椭圆C上异于左、右顶点的动点, 的最小值为2,且椭圆C的离心率为 . (1)求椭圆C的标准方程; (2)若直线l过 与椭圆C相交于A,B两点,A,B两点异于左、右顶点,直线 过 交椭圆C于M,N两 点, ,求四边形 面积的最小值. 资料整理【淘宝店铺:向阳百分百】【解析】(1)设 .由对称性,不妨设 , 则 ,所以 . 因为 , 所以 , 所以当 时, 取得最小值 ,所以 . 由 ,解得 , 所以椭圆C的标准方程为 ; (2)由题设直线l斜率存在,设 , 由 得 ,∴ , 所以 , 因为 ,所以 ,则 , 所以四边形 面积: , , 当且仅当 时取等号,即 时, , 当直线l的斜率不存在时, ,四边形 的面积为 , 资料整理【淘宝店铺:向阳百分百】又由 ,所以四边形 面积的最小值为 . 变式9.(2023·宁夏石嘴山·平罗中学校考模拟预测)平面内动点 与定点 的距离和它到定直线 的距离之比是 . (1)求点 的轨迹 的方程; (2)过点 作两条互相垂直的直线 分别交轨迹 于点 和 ,求四边形 面积 的最小值. 【解析】(1)设 ,由题意有 且 , 化简得 ,即 . (2)当其中一条直线的斜率不存在时,则 、 一条为长轴长、另一条为过 的通径长, 令 ,则 ,可得 ,故通径长为 ,而长轴长为 ,易得 . 当 直线的斜率存在且不为0时,设直线 的斜率为 ,则直线 为 , ,化简整理得 , 设 ,则 , , ,则直线 的斜率为 ,同理 , , 令 ,则 ,当 ,即 资料整理【淘宝店铺:向阳百分百】时等号成立, 而 ,则四边形 面积 的最小值为 . 题型四:弦长的取值范围问题 例10.(2023·河北·统考一模)如图所示,在平面直角坐标系 中,椭圆 的中心 在原点,点 在椭圆 上,且离心率为 . (1)求椭圆 的标准方程; (2)动直线 交椭圆 于 , 两点, 是椭圆 上一点,直线 的斜率为 ,且 , 是线段 上一点,圆 的半径为 ,且 ,求 的范围. 【解析】(1)椭圆 的离心率为 ,则 ,解得 ,椭圆 的方程为 又点 在椭圆 上,则 ,解得 所以椭圆 的标准方程为 . (2)设 ,由 消去y并整理得: , 显然 ,于是得 , , 则 , 从而得圆 的半径 , 资料整理【淘宝店铺:向阳百分百】由 得 ,即直线 的方程为 ,由 得 ,则 , 所以 因 ,有 ,从而有 ,即 , 所以 的取值范围为 . 例11.(2023·浙江·模拟预测)已知椭圆 ,点 ,斜率不为0的直线 与椭圆 交于点 ,与圆 相切且切点为 为 中点. (1)求圆 的半径 的取值范围; (2)求 的取值范围. 【解析】(1)如图所示, 由题意知,直线l的斜率存在且不为0,设直线l方程为 ( ), , ,设圆N 的半径为r, , , , , 资料整理【淘宝店铺:向阳百分百】所以 , 又因为M为 的中点,所以 , 又因为圆N与直线l相切于点M,所以 ,且 , 所以 , 所以 ,解得 , 所以 , ,解得: , 所以 ( ), 所以 ,即 , 所以圆N的半径r的取值范围为 . (2)由(1)知, , 所以 ( ), 令 ,则 ( ), 所以 , 显然 在 上单调递减, 所以 ,所以 ,即 , 故 的取值范围为 . 例12.数形结合法:利用待求量的几何意义,确定出极端位置后数形结合求解; 变式10.构建不等式法:利用已知或隐含的不等关系,构建以待求量为元的不等式求解; 变式11.构建函数法:先引入变量构建以待求量为因变量的函数,再求其值域. 变式12.(2023·广东深圳·高三校联考期中)已知点 在运动过程中,总满足关系式: . 资料整理【淘宝店铺:向阳百分百】(1)点 的轨迹是什么曲线?写出它的方程; (2)设圆 ,直线 与圆O相切且与点 的轨迹交于不同两点 ,当 且 时,求弦长 的取值范围. 【解析】(1)由关系式 ,结合椭圆的定义, 点 的轨迹是以 , 为焦点,长轴长为 的椭圆. ∴ , ∴点M的方程为 . (2)由题意,联立方程 ,则 设 , , 则 , , 因直线 与圆 相切,且 , ∴ , , , ① ② 将①代入② . 因为 ,所以 . 资料整理【淘宝店铺:向阳百分百】变式13.(2023·江苏南通·统考模拟预测)已知椭圆 的左、右顶点是双曲线 的顶点, 的焦点到 的渐近线的距离为 .直线 与 相交于 A,B两点, . (1)求证: (2)若直线l与 相交于P,Q两点,求 的取值范围. 【解析】(1)由题意得椭圆焦点坐标为 ,双曲线渐近线方程为 , 所以 ,解得 ,所以 的方程为 , 由 ,消y得 , 所以 得 , 设 , ,则 , 所以 , 化简得 ,得证; (2)由 消x,得 , 所以 ,即 , 结合 ,及 ,可得 , 资料整理【淘宝店铺:向阳百分百】设 , ,则 , 所以 , 所以 , 设 ,由 ,得 ,所以 , 所以 , 所以 . 变式14.(2023·陕西咸阳·校考三模) 已知双曲线 的离心率为 ,过双曲线 的右焦点 且垂直于 轴的直线 与双曲线交于 两点,且 . (1)求双曲线 的标准方程; (2)若直线 : 与双曲线 的左、右两支分别交于 两点,与双曲线的渐近线分别交于 两 点,求 的取值范围. 资料整理【淘宝店铺:向阳百分百】【解析】(1)由题可知, ,解得 ,所以双曲线 的标准方程为 ; (2)由题可知,直线 与双曲线 的左、右两支分别交于 两点, 联立 消去 ,得 , 所以 ,解得 , 且 , 所以 . 联立 可得 ,同理可得 , 所以 , 所以 , 其中 ,则 ,所以 . 变式15.(2023·全国·高三校联考开学考试)已知双曲线 的渐近线方程为 , 点 , 分别为双曲线 的左、右焦点,过 且垂直于 轴的直线与双曲线交于第一象限的点 ,且 的周长为 . (1)求双曲线 的方程; (2)若直线 与双曲线的左支、右支分别交于 , 两点,与直线 , 分别交于P,Q两 点,求 的取值范围. 资料整理【淘宝店铺:向阳百分百】【解析】(1)因为双曲线 的渐近线方程为 ,所以 , 设 ,则 , 所以 ,因为点 在第一象限,所以 ,即 , 所以 ,又 , 所以 ,所以 , 所以双曲线 的方程为 . (2)设 , , 联立 ,消去 并整理得 , 所以 ,解得 , , , 所以 , 联立 ,解得 ,所以 , 联立 ,解得 ,所以 , 所以 , 所以 ,其中 , 因为 ,所以 , . 资料整理【淘宝店铺:向阳百分百】所以 的取值范围为 . 题型五:三角形面积的取值范围问题 例13.(2023·浙江杭州·高三浙江省杭州第二中学校考阶段练习)已知双曲线 ,其 左、右焦点分别为 、 , 上有一点P满足 , . (1)求b; (2)过 作直线l交 于B、C,取BC中点D,连接OD交双曲线于E、H,当BD与EH的夹角为 时,求 的取值范围. 【解析】(1)由题意, , , , 在 中,由余弦定理得 , , 则 ,即 , . (2) 双曲线 , , 设直线BC的方程为 , 由 ,得 ,即 , 资料整理【淘宝店铺:向阳百分百】由题意 , , 设 ,则 , 则 , 则 , 则 , ,直线 的方程为 , 由 ,得 ,由题意 ,解得 , 设 ,则 , 当BD与EH的夹角为 时, , 则 ,得 ,可知 , 所以 , , , , , 所以 , 即 的取值范围是 . 资料整理【淘宝店铺:向阳百分百】例14.(2023·广东茂名·高三茂名市第一中学校考阶段练习)椭圆 的离心率为 , 左、右焦点分别为 , ,上顶点为 ,点 到直线 的距离为 . (1)求 的方程; (2)过点 的直线 交双曲线 右支于点 , ,点 在 上,求 面积的取值范 围. 【解析】(1)直线 方程为 ,即 , 到直线 的距离 ,化简得 , 又离心率 ,即 ,且 , 解得 , , , 所以 的方程为: . (2)设直线 的方程为 ,由于 的渐近线的斜率为 ,所以 . 将 方程代入 ,化简得 . 设 , ,则 , , , 设平行于 与椭圆 相切的直线为 , 由 得 , 由 得 , 直线 与 之间的较小距离 , 资料整理【淘宝店铺:向阳百分百】直线 与 之间的较大距离 , 则 面积的较小值为 , 面积的较大值为 , 设 , , ,则 , , , ∴ , . 所以 面积的取值范围为 . 例15.(2023·浙江金华·模拟预测)P是双曲线 右支上一点,A,B是双曲线的左右顶点,过 A,B分别作直线PA,PB的垂线AQ,BQ,AQ与BQ的交点为Q,PA与BQ的交点为C. (1)记P,Q的纵坐标分别为 ,求 的值; (2)记 的面积分别为 ,当 时,求 的取值范围. 【解析】(1)由已知条件得: ,设PA,PB的斜率分别为 , 则QA,QB的斜率分别为 , 由 即有 . 资料整理【淘宝店铺:向阳百分百】由 即有 而 , . (2)由于 , 显然P,Q,B,A四点共圆, PO为直径,PQ中点 为圆心, 又 则 , ①,又 ②, 得: ,解得 . 由 ,,而 . 资料整理【淘宝店铺:向阳百分百】. 因为 ,根据单调性,求得 变式16.(2023·云南·高三云南师大附中校考阶段练习)已知 , 为椭圆C: 的左、右顶点,且椭圆C过点 . (1)求C的方程; (2)过左焦点F的直线l交椭圆C于D,E两点(其中点D在x轴上方),求 的取值范围. 【解析】(1)由题意得 ,把 代入 , 解得 , 所以C的方程为 ;. (2)由(1)知: , , ①当l斜率不存在时,易知 ; ②当l斜率存在时,设l: , , , 由 ,得 ,显然 , 所以 , , 因为 , , 所以 , 资料整理【淘宝店铺:向阳百分百】因为 , 所以 . 又 , 设 ,则 , ,解得 且 , 所以 , 因为 ,可得 的取值范围为 . 变式17.(2023·四川南充·模拟预测)如图所示,以原点 为圆心,分别以2和1为半径作两个同心圆, 设 为大圆上任意一点,连接 交小圆于点 ,设 ,过点 分别作 轴, 轴的垂线,两垂 线交于点 . (1)求动点 的轨迹 的方程; (2)点 分别是轨迹 上两点,且 ,求 面积的取值范围. 【解析】(1)因为 ,所以 , 设 ,则 ( 是参数),消去 得 , 资料整理【淘宝店铺:向阳百分百】即曲线 的方程为 ; (2) , , 当直线 或 的斜率不存在时,易得 当直线 和 的斜率都存在时,设 , 则 由 得 , , 同理可得 ,令 故 . 变式18.(2023·福建漳州·高三统考开学考试)已知椭圆 的左焦点为 ,且 过点 . (1)求C的方程; 资料整理【淘宝店铺:向阳百分百】(2)不过原点O的直线 与C交于P,Q两点,且直线OP,PQ,OQ的斜率成等比数列. (i)求 的斜率; (ii)求 的面积的取值范围. 【解析】(1)由题知, 椭圆C的右焦点为 ,且过点 , 所以 ,所以 . 又 ,所以 , 所以C的方程为 . (2)(ⅰ)由题知,直线l的斜率存在,且不为0. 设 , , , 则 ,所以 , 所以 , , 且 ,即 . 因为直线OP,PQ,OQ的斜率成等比数列. 所以 ,即 , 所以 ,且 . 因为 ,所以 ,所以 . (ii)由(ⅰ)知 , , 所以 ,且 . 资料整理【淘宝店铺:向阳百分百】设点O到直线PQ的距离为d,所以 . 因为 ,所以 , , 所以 , 又 ,且 .所以 即 的面积的取值范围 . 题型六:四边形面积的取值范围问题 例16.(2023·四川成都·高三石室中学校考开学考试)已知椭圆 : ( )左、右焦 点分别为 , ,且 为抛物线 的焦点, 为椭圆 上一点. (1)求椭圆 的方程; (2)已知 , 为椭圆 上不同两点,且都在 轴上方,满足 . (ⅰ)若 ,求直线 的斜率; (ⅱ)若直线 与抛物线 无交点,求四边形 面积的取值范围. 【解析】(1)依题意得 ,则 , ,而 , 于是 , 从而 . 又 ,解得 , 所以椭圆 的方程为 . (2)如图,设 直线交椭圆于另一点 , 直线交椭圆于另一点 , 由 ,故 ,由椭圆对称性, ,且四边形 为平行四边形. (ⅰ)由题意直线 的斜率不为0,设直线 : , 由 ,消去 整理得 , 设 , ,则 , , 资料整理【淘宝店铺:向阳百分百】由 (*)带入上式,解得: , 故 ,由于 , ,所以 , 所以 ,故 的斜率为1. (ⅱ)由 ,消去 整理得 ,由 得 . 所以 , 与 间的距离 (即点 到 的距离), 故 , 令 ,函数 在区间 上单调递增, 所以 , 则 , 所以四边形 的面积的取值范围为 . 例17.(2023·河北·高三统考阶段练习)已知椭圆C: 的离心率为 ,点 在椭圆上.直线 与椭圆交于 两点.且 ,其中 为坐标原点. (1)求椭圆 的方程; (2)若过原点的直线 与椭圆 交于 两点,且过 的中点 .求四边形 面积的取值范围. 【解析】(1)设椭圆的半焦距为 , 资料整理【淘宝店铺:向阳百分百】由题意可得: ,解得 , 所以椭圆 的方程为 . (2)当直线 斜率存在时,设其方程为 , , , 联立 ,可得 , 可得 ①,且 ②, ③ 若以 为直径的圆过原点,则 , 整理得 , 代入②③两式得 ,整理得 ④, 将④式代入①式,得 恒成立,则 , 由题意可设 ,所以 , 因为 , 且点 到直线 的距离 , 可得 , 又因为 ,则 点坐标为 , 化简可得 , 代入椭圆方程可得 ,整理得 , 资料整理【淘宝店铺:向阳百分百】则 , 因为 ,则 , 所以 ; 当直线 斜率不存在时,设 , , 则 ,且 ,解得 , 可知 方程为 , 因为直线 过 中点,即为 轴, 可知 , , , 综上所述:四边形 面积的取值范围为 . 例18.(2023·全国·模拟预测)设椭圆 的左焦点为F,上顶点为P,离心率为 , O是坐标原点,且 . (1)求椭圆C的方程; (2)过点F作两条互相垂直的直线,分别与C交于A,B,M,N四点,求四边形 面积的取值范围. 【解析】(1)设椭圆 的焦距为 ,则 ,所以 因为 ,所以 , 又 , ,所以 ,即 所以 所以 资料整理【淘宝店铺:向阳百分百】(2)当 , 中有一条斜率不存在时, 设直线 的方程为 ,此时直线 与 轴重合, 即 ,所以 ; 当 , 的斜率都存在时,设过点 的两条互相垂直的直线 : ,直线 : 由 得 此时 , , 则 . 把上式中的 换成 得: 则四边形 的面积为 令 ,则 ,且 , , , , 所以四边形 的面积的取值范围是 . 变式19.(2023·辽宁辽阳·高三辽阳县第一高级中学校考阶段练习)已知双曲线 过点 ,且 的渐近线方程为 . 资料整理【淘宝店铺:向阳百分百】(1)求 的方程; (2)如图,过原点 作互相垂直的直线 , 分别交双曲线于 , 两点和 , 两点, , 在 轴同侧. ①求四边形 面积的取值范围; ②设直线 与两渐近线分别交于 , 两点,是否存在直线 使 , 为线段 的三等分点,若存 在,求出直线 的方程;若不存在,请说明理由. 【解析】(1)由题意有 ,则 , 将点 代入双曲线方程得 , 联立 解得 , 故 的方程为 ; (2)①,易知直线 , 的斜率均存在且不为 , 设 , 的方程为 ,则 的方程为 , 联立 ,消 整理得 , 直线 与双曲线 交于两点, 故 且 ,则 , 则 , 则 , 联立 ,消 整理得 , 直线 与双曲线 交于两点, 故 且 ,解得 , 则 , 资料整理【淘宝店铺:向阳百分百】则 , 根据对称性可知四边形 为菱形, 其面积 , ,∴ ,∴ , ∴ , ; ②,假设满足题意的直线 存在, 易知直线 斜率存在,设直线 的方程为 , , 联立 ,整理得 , 则 且 , 解得 且 , 由韦达定理有 , 则 资料整理【淘宝店铺:向阳百分百】, 不妨设 为直线 与渐近线 的交点, 联立 ,解得 , , 同理可得 点的坐标为 , 则 , 因为 , 为线段 的三等分点, , 即 , 整理得 ,① , , 则 ,即 , , 整理得 ,② 联立①②得 ,无解, 故没有满足条件的直线 . 变式20.(2023·浙江·校联考模拟预测)已知椭圆 的离心率为 ,抛物线 的准线与 相交,所得弦长为 . (1)求 的方程; (2)若 在 上,且 ,分别以 为切点,作 的切线相交于点 ,点 恰好在 上,直线 分别交 轴于 两点.求四边形 面积的取值范围. 资料整理【淘宝店铺:向阳百分百】【解析】(1)由题知 过点 ,则 ,解得 , . (2)设直线 的方程为 , 联立 ,得 , , 则 ,而 ,则 , 故以 为切点的切线为 ,即 , 同理以 为切点的切线为 ,则 , 由 ,故两式作差得: ,所以 , 两式求和得: , 所以点 由 在椭圆上 ,即 . 点 到直线 的距离 , 所以 , , 资料整理【淘宝店铺:向阳百分百】, 而 、 在 上递增且恒正, 则 在 上递增, . 题型七:向量数量积的取值范围问题 例19.(2023·吉林长春·长春市第八中学校考模拟预测)已知 ,直线 不过原点 且不平行于坐标轴, 与 有两个交点 , ,线段 的中点为 . (1)若 ,点 在椭圆 上, 、 分别为椭圆的两个焦点,求 的范围; (2)若 过点 ,射线 与椭圆 交于点 ,四边形 能否为平行四边形?若能,求此时直线 斜率;若不能,说明理由. 【解析】(1) 时,椭圆 ,两个焦点 , , , , 设 ,可得 ,即 , , , , , , 因为 , 所以 的范围是 ; (2)设 , 的坐标分别为 , , , ,可得 , , 则 ,两式相减可得 , ,即 , 故 ,又设 , ,直线 , 即直线 的方程为 , 资料整理【淘宝店铺:向阳百分百】从而 ,代入椭圆方程可得, , 由 与 ,联立得 , 若四边形 为平行四边形,那么 也是 的中点, 所以 ,即 ,整理可得 , 解得 ,经检验满足题意, 所以当 时,四边形 为平行四边形. 例20.(2023·安徽合肥·合肥市庐阳高级中学校考模拟预测)已知椭圆 的左,右焦 点分别为 , ,焦距为 ,点 在 上. (1) 是 上一动点,求 的范围; (2)过 的右焦点 ,且斜率不为零的直线 交 于 , 两点,求 的内切圆面积的最大值. 【解析】(1)由题意知 ,所以 . 将点 代入 ,解得 ,所以椭圆 的方程为: . 设点 ,则 . 又因为 ,所以 的范围是 . (2)依题意可设直线 的方程为 , , . 联立 得 . 所以 , , 所以 , 又因为 , 资料整理【淘宝店铺:向阳百分百】当且仅当 时等号成立.所以 . 又因为三角形内切圆半径 满足 . 所以 的内切圆面积的最大值为 . 例21.(2023·全国·高三专题练习)已知椭圆 : 经过点 ,一个焦点 的坐 标为 . (1)求椭圆 的方程; (2)设直线 : 与椭圆 交于 , 两点, 为坐标原点,若 ,求 的取值范 围. 【解析】(1)由题意得, , 根据椭圆定义可得: ,解得 根据 ,解得 , 所以椭圆 的方程为 ; (2)设 , , 由 得: , ,即 , , , , 所以 ,所以 , 故 ,解得 , 所以 . 故 的取值范围为 变式21.(2023·全国·高三专题练习)已知椭圆 : 经过点 ,一个焦点 的 坐标为 . 资料整理【淘宝店铺:向阳百分百】(1)求椭圆 的方程; (2)设直线 : 与椭圆 交于 , 两点, 为坐标原点,若 ,求 的取值范 围. 【解析】(1) , , ∴椭圆 的方程为 . (2)设 , , 由 得: , , 即 , , , , , ∴ 即 ,故 , . 故 的取值范围为 . 变式22.(2023·黑龙江佳木斯·高二佳木斯一中校考阶段练习)已知椭圆 经过点 ,一个焦点 的坐标为 . (1)求椭圆 的方程; (2)设直线 与椭圆 交于 两点, 为坐标原点,求 · 的取值范围. 【解析】(1)由题意可知再焦点坐标 , (-2,0),再由椭圆定义 .(2)椭圆与直线 组方程组, ,所以代入韦达,利用判别式控制范围. 试题解析 资料整理【淘宝店铺:向阳百分百】题型八:参数的取值范围 例22.(2023·全国·高三专题练习)已知曲线 表示焦点在 轴上的椭圆. (1)求 的取值范围; (2)设 ,过点 的直线 交椭圆于不同的两点 , ( 在 , 之间),且满足 , 求 的取值范围. 【解析】(1)因为曲线 表示焦点在 轴上的椭圆, 所以 解得: , 所以m的取值范围是 ; (2)因为 ,所以椭圆方程为: ; 当直线l的斜率不存在时,即直线 ,此时 , , 由 解得: ; 当直线l的斜率存在时,设直线 , , , 联立直线l与椭圆 消 得 , 资料整理【淘宝店铺:向阳百分百】所以 , ,即 ,解得 , 由 ,得 , 而 , 即 , 又 在 上单调递增, 所以 ,又 在 , 之间,即 ,解得: ; 综上所述, 的取值范围是 . 例23.(2023·黑龙江大庆·统考三模)已知中心在原点,焦点在x轴上的椭圆,离心率 ,且经过抛 物线 的焦点.若过点 的直线 斜率不等于零 与椭圆交于不同的两点E、 在B、F之间 , 求椭圆的标准方程; 求直线l斜率的取值范围; 若 与 面积之比为 ,求 的取值范围. 【解析】 设椭圆的方程为 ,则 , 抛物线 的焦点为 由 解得 , 椭圆的标准方程为 ; 如图,由题意知l的斜率存在且不为0, 资料整理【淘宝店铺:向阳百分百】设l 方程为 , 将 代入 整理得: ,由 得 , ; 设 ,,则 令 ,则 , 由此可得 ,且 , ,即 , , ,解得 又 , , 与 面积之比的取值范围是 . 例24.(2023·广东广州·高二执信中学校考期末)已知中心在坐标原点,焦点在x轴上的椭圆过点 ,且它的离心率 (I)求椭圆的标准方程; 资料整理【淘宝店铺:向阳百分百】(II)与圆 相切的直线 交椭圆于 、 两点,若椭圆上一点 满足 ,求实数 的取值范围 【解析】(1)设椭圆的标准方程为 , 由已知得 解得 所以椭圆的标准方程为 . (2)因为直线 :y=kx+t与圆(x-1)2+y2=1相切, 所以 =1, 整理得 (t≠0). 由 消去y整理得(3+4k2)x2+8ktx+4t2-24=0, 因为直线 与椭圆交于M,N两点, 所以 , 将 代入上式可得 恒成立. 设M(x ,y),N(x ,y), 1 1 2 2 则有x+x=- , 1 2 所以y+y=kx+t+kx+t=k(x+x)+2t= , 1 2 1 2 1 2 因为 ), 所以可得C , 又因为点C在椭圆上, 资料整理【淘宝店铺:向阳百分百】所以 + =1, 所以 , 因为t2>0,所以 + +1>1, 所以 , 所以 的取值范围为 . 变式23.(2023·全国·高三专题练习)设椭圆: 的左顶点为 ,右顶点为 .已知椭圆 的离心率为 ,且以线段 为直径的圆被直线 所截得的弦长为 . (1)求椭圆的标准方程; (2)设过点 的直线 与椭圆交于点 ,且点 在第一象限,点 关于 轴对称点为点 ,直线 与 直线 交于点 ,若直线 斜率大于 ,求直线 的斜率 的取值范围. 【解析】(1)以线段 为直径的圆的圆心为: ,半径 , 圆心到直线 的距离 , 直线 被圆截得的弦长为 , 解得: ,又椭圆离心率 , ∴ , , 椭圆的标准方程为: . (2)设 ,其中 , ,则 , ∴ , , 则直线 为: ;直线 为: , 资料整理【淘宝店铺:向阳百分百】由 得: , ∴ , ∴ , ∴ , 令 , ,则 , ∴ , ∵ ∴ , ∴ , 即 . 变式24.(2023·天津河西·天津市新华中学校考一模)设椭圆 的左顶点为 ,右顶点 为 .已知椭圆的离心率为 ,且以线段 为直径的圆被直线 所截得的弦长为 . (Ⅰ)求椭圆的标准方程; (Ⅱ)设过点 的直线 与椭圆交于点 ,且点 在第一象限,点 关于 轴对称点为点 ,直线 与 直线 交于点 ,若直线 斜率大于 ,求直线 的斜率 的取值范围. 【解析】(Ⅰ)以线段 为直径的圆的圆心为: ,半径 圆心到直线 的距离 直线 被圆截得的弦长为 解得: ,又椭圆离心率 资料整理【淘宝店铺:向阳百分百】, 椭圆的标准方程为: (Ⅱ)设 ,其中 , ,则 , 则直线 为: ;直线 为: 由 得: 令 , ,则 即 变式25.(2023·全国·高三专题练习)已知椭圆 的离心率为 ,过焦点且垂直于 长轴的直线被椭圆截得的弦长为1,过点 的直线与椭圆 相交于不同的两点 , . (1)求椭圆 的方程; (2)设 为椭圆 上一点,且满足 为坐标原点),试求实数 的取值范围. 【解析】(1) 椭圆 的离心率为 , 过焦点且垂直于长轴的直线被椭圆截得的弦长为1, , 又 , 资料整理【淘宝店铺:向阳百分百】解得 , 椭圆方程为 . (2)设 , , , , , 设 , 联立 得 , , 解得 , , , , , 由点 在椭圆上得 , 整理可得 , 当 时, ; 当 时, , , , 据此可得实数 的取值范围是 . 变式26.(2023·四川南充·高二四川省南充高级中学校考期中)已知椭圆 的离心率 为 ,过焦点且垂直于长轴的直线被椭圆截得的弦长为 ,过点 的直线与椭圆 相交于两点 (1)求椭圆 的方程; (2)设 为椭圆上一点,且满足 ( 为坐标原点),当 时,求实数 的取值范围. 【解析】解(1) 由已知 ,所以 ,所以 所以 资料整理【淘宝店铺:向阳百分百】又由过焦点且垂直于长轴的直线被椭圆截得的弦长为 所以 所以 (2)设 设 与椭圆联立得 整理得 得 由点 在椭圆上得 又由 , 所以 所以 所以 由 得 所以 ,所以 或 资料整理【淘宝店铺:向阳百分百】