当前位置:首页>文档>第06讲大气的组成、垂直结构及受热过程(解析版)_2025年新高考资料_一轮复习_备战2025年高考地理一轮复习考点帮(新高考通用)(完结)

第06讲大气的组成、垂直结构及受热过程(解析版)_2025年新高考资料_一轮复习_备战2025年高考地理一轮复习考点帮(新高考通用)(完结)

  • 2026-04-29 05:24:29 2026-04-29 05:10:05

文档预览

第06讲大气的组成、垂直结构及受热过程(解析版)_2025年新高考资料_一轮复习_备战2025年高考地理一轮复习考点帮(新高考通用)(完结)
第06讲大气的组成、垂直结构及受热过程(解析版)_2025年新高考资料_一轮复习_备战2025年高考地理一轮复习考点帮(新高考通用)(完结)
第06讲大气的组成、垂直结构及受热过程(解析版)_2025年新高考资料_一轮复习_备战2025年高考地理一轮复习考点帮(新高考通用)(完结)
第06讲大气的组成、垂直结构及受热过程(解析版)_2025年新高考资料_一轮复习_备战2025年高考地理一轮复习考点帮(新高考通用)(完结)
第06讲大气的组成、垂直结构及受热过程(解析版)_2025年新高考资料_一轮复习_备战2025年高考地理一轮复习考点帮(新高考通用)(完结)
第06讲大气的组成、垂直结构及受热过程(解析版)_2025年新高考资料_一轮复习_备战2025年高考地理一轮复习考点帮(新高考通用)(完结)
第06讲大气的组成、垂直结构及受热过程(解析版)_2025年新高考资料_一轮复习_备战2025年高考地理一轮复习考点帮(新高考通用)(完结)
第06讲大气的组成、垂直结构及受热过程(解析版)_2025年新高考资料_一轮复习_备战2025年高考地理一轮复习考点帮(新高考通用)(完结)
第06讲大气的组成、垂直结构及受热过程(解析版)_2025年新高考资料_一轮复习_备战2025年高考地理一轮复习考点帮(新高考通用)(完结)
第06讲大气的组成、垂直结构及受热过程(解析版)_2025年新高考资料_一轮复习_备战2025年高考地理一轮复习考点帮(新高考通用)(完结)
第06讲大气的组成、垂直结构及受热过程(解析版)_2025年新高考资料_一轮复习_备战2025年高考地理一轮复习考点帮(新高考通用)(完结)
第06讲大气的组成、垂直结构及受热过程(解析版)_2025年新高考资料_一轮复习_备战2025年高考地理一轮复习考点帮(新高考通用)(完结)
第06讲大气的组成、垂直结构及受热过程(解析版)_2025年新高考资料_一轮复习_备战2025年高考地理一轮复习考点帮(新高考通用)(完结)
第06讲大气的组成、垂直结构及受热过程(解析版)_2025年新高考资料_一轮复习_备战2025年高考地理一轮复习考点帮(新高考通用)(完结)

文档信息

文档格式
docx
文档大小
1.821 MB
文档页数
10 页
上传时间
2026-04-29 05:10:05

文档内容

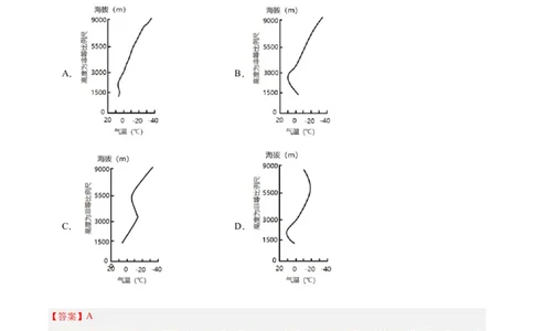
备战 2025 年高考地理一轮复习考点帮(新高考通用) 第06讲 大气的组成、垂直结构及受热过程解析版 一、单选题 (2024·江西萍乡·模拟预测)位于土耳其安纳托利亚高原的卡帕多西亚被誉为地球十大美景之一,是 地球上最适合乘热气球的地方。该地有许多冲天而立的、“顶着石头帽子”的“石柱森林”,被人们形象 地称为“精灵的烟囱”(下图),其组成主要是凝灰岩和玄武岩层。据此完成下面小题。 1.形成“精灵的烟囱”主要的内力作用是( ) A.岩浆活动 B.风化作用 C.地壳运动 D.沉积作用 2.该地热气球飞行一般会选在日出前后一两个小时,其主要考虑的是( ) A.光线条件好 B.气流较稳定 C.视野更开阔 D.气温最适宜 【答案】1.A 2.B 【解析】1.“精灵的烟囱”主要是由凝灰岩和玄武岩层组成,而凝灰岩和玄武岩属于岩浆岩,故形成 “精灵的烟囱”主要的内力作用是岩浆活动,A正确;风化作用、沉积作用属于外力作用,BD错误;形 成“精灵的烟囱”主要的内力作用是岩浆活动,与地壳运动关系小,C错误。故选A。 2.日出前后一两个小时气温低,大气对流运动弱,气流较稳定,利于热气球飞行,B正确;日出前后一两 个小时光线条件较差,视线差,视野不会更开阔,AC错误;日出前后一两个小时气温低,不是气温最适 宜的时候,D错误。故选B。 (2023·四川内江·一模)常见的积状云,水平范围小,具有孤立分散、云底平坦和顶部凸起的外貌形 态。积状云形成总是与不稳定的大气对流运动有关,大气对流强度不同,分别会形成淡积云、浓积云和积 雨云三种积状云(如图)。据此完成下面小题。3.在我国季风区,积雨云出现概率最大的时间是( ) A.冬季午后 B.夏季午后 C.夏季清晨 D.冬季清晨 4.积状云出现冰雹天气概率最大的是( ) A.淡积云 B.浓积云 C.积雨云 D.卷层云 5.导致积状云底部平坦的主要原因是大气对流上升地区的( ) A.地面各处海拔高度都相同 B.气温和水汽水平分布均匀 C气压随高度增加均匀降低 D.太阳辐射量水平分布均匀 【答案】3.B 4.C 5.B 【解析】3.根据材料信息可知,积雨云的形成主要是空气对流上升形成,所以积雨云出现概率最大的时 间及对流最旺盛的时间,也就是近地面温度最高的时间,根据所学知识可知,一年中夏季气高,一天中最 高温出现在午后2:00左右,故积雨云出现频率最高的时间应该是夏季午后,故B正确,A、C、D错误。 故选B。 4.形成冰雹天气的条件是水汽必须凝集成固态,即冻结,所以对流高度要达到冻结高度,能达到这个高 度的有积雨云和卷层云,故A、B错误,但是卷层云含水量较小,云底又高,所以除了在冬季高纬度地区 的卷云可以降微雪以外,卷层云一般是不降水的,故D错误,C正确。故选C。 5.根据所学知识可知,一般除平坦的地形处海拔高度比较接近外其余海拔高度均不同,故A错误;因为 空气密度的变化呈现不均匀变化,高度越高,空气密度越小,气压减小的越快,故C错误;同一水平面因 太阳高度角、大气中水汽、云雾等差异,造成太阳辐射在水平方向差异较大,故D错误;因为对流区大气 携带水汽做上升运动,温度虽高度递减,所以导致同水平面温度相同的同时水汽饱和度也相近,故水平方 向两者分布均匀,故B正确。故选B。 6.(2024高三·全国·专题练习)贵州中西部地区冬季多出现水平能见度小于1千米的锋面雨雾,雾区位于 锋线附近。下图为贵州某次锋面雨雾发生过程中,大致呈纬向分布的三个测站测得的能见度变化图。这次 雨雾形成的气象条件是西南气流沿锋后弱冷平流爬升,形成弱降水。雨雾随锋面缓慢东移消亡。完成本次 试卷第2页,共3页锋面雨雾出现时,雾区地面以上气温垂直变化最接近的是( ) A. B. C. D. 【答案】A 【详解】结合材料可知,锋面附近上方为暖气团西南风,锋面下方为冷气团,所以说锋面附近出现逆温现 象,然后向高空气温随海拔高度的增加而降低,A正确;锋面下方,不会出现逆温,BD错误;逆温出现 在锋面附近,而不是锋面上方,C错误。故答案选A。 (21-22高三下·湖北武汉·阶段练习)低层气流与高层气流共同作用会形成各种各样的云。“帽状 云”是特殊情况下形成的极为罕见的云,它中间高、四周低,像一顶天然戴在山顶的帽子。下图是2018年 9月19日在西藏南迦巴瓦峰顶出现的帽状云,拍摄者位于山峰西北方。完成下面小题。7.“帽状云”出现在( ) A.平流层 B.对流层 C.中间层 D.高层大气 8.与积雨云相比,帽状云的形成对低层气流水汽的要求为( ) A.水汽含量较少,输送量稳定 B.水汽含量较多,输送量稳定 C.水汽含量较多,输送量波动 D.水汽含量较少,输送量波动 9.图中帽状云形成时,高层气流的运动状态为( ) A.垂直向上运动为主 B.水平偏东运动为主 C.垂直向下运动为主 D.水平偏西运动为主 【答案】7.B 8.A 9.C 【解析】7.“帽状云”属于是在特殊的地形和气流条件下形成的云,其高度和山体高度相当,对流层平 均高度为11km,即使在极地也有9km左右,世界上最高的山峰也低于这一高度,因此“帽状云”出现在 对流层,ACD错误,B项正确。故选B。 8.积雨云是在空气上升强烈的地区形成的庞大、浓厚的云体,垂直发展旺盛,变化迅速,顶部常呈花椰 菜型、城堡型等形态,底部阴暗,常伴有雷暴、冰雹、强降水等天气。图中的帽状云显然不具有浓厚高耸 的云体,即水汽含量较少,且为了保持“帽状”形态,水汽输送需要维持相对稳定的状态,因此BCD错 误,故选A。 9.低层空气热力或动力抬升,水汽降温凝结,为云提供了物质基础,塑造了底部形态,而云的形态往往 还受到高空气流的作用。帽状云中间高、四周低,一方面是山地地形引导气流上升使中间隆起,另一方面 则是高空气流垂直向下压制周围的上升气流,而周围的上升气流缺少地形的支撑,从而出现了中间高、四 周低的形态,因此ABD错误,C正确。故选C。 (2024·安徽淮北·二模)冻雨是大气中过冷却水滴降落过程中,与地面温度低于0℃物体接触后发生 冻结的一种天气现象。下图示意冻雨天气大气垂直分层。2024年2月初,湖北省遭遇连续冻雨天气,造成 严重危害。据此完成下面小题。 试卷第4页,共3页10.此次局部冻雨发生区域从高空到近地面的气温变化是( ) A.冷—暖 B.暖—冷 C.冷—暖—冷 D.暖—冷—暖 11.冬季我国冻雨发生的中心位置往往在贵州、湘西一带。而此次冻雨发生的中心位置明显偏北,其原因 可能是( ) A.冷、暖空气势均力敌 B.冷空气异常偏强 C.冷、暖空气交汇频繁 D.暖空气异常偏强 12.推测此次冻雨灾害对湖北农业造成的影响可能为( ) A.小麦播种时间推迟 B.苹果采摘时间提前 C.早稻育苗时间提前 D.油菜抽苔时间推迟 【答案】10.C 11.D 12.D 【解析】10.冻雨是指低于0°C的雨滴在温度略低于0°C的空气中能够保持过冷状态,其外观与一般雨滴 相同,当它落到温度为0°C以下的物体上时,立刻冻结成外表光滑而透明的冰层,因此,冻雨发生区域高 空温度和近地面温度低于0°C,半空温度高于0°C,从高空到近地面的气温变化是冷—暖—冷,C正确, ABD错误。所以选C。 11.冷暖空气势均力敌,冻雨发生的中心位置应该在贵州、湘西一带,A错误;冷空气异常偏强,冻雨发 生的中心位置应该偏南,B错误;冷暖空气交汇频繁对于冻雨发生的中心位置影响较小,C错误;暖空气 异常偏强,冻雨发生的中心位置偏北,D正确。所以选D。 12.湖北主要种植水稻,小麦种植面积较小,A错误;苹果为温带水果,主要在我国山东、陕西、河南、 甘肃等地,湖北苹果种植面积较小,B错误;冻雨发生,会导致热量条件变差,早稻育苗时间推迟,油菜 抽苔时间推迟,C错误,D正确。所以选D。(2024·广东·高考真题)有效辐射为下垫面向上长波辐射与大气逆辐射的差值。如图表示2003— 2012年云南省西双版纳热带季雨林林冠层向上长波辐射(L↑)及其上大气逆辐射(L↓)的月平均变化。据 此完成下面小题。 13.与7—9月相比,2—4月西双版纳热带季雨林林冠层之上的大气逆辐射值较低,主要是因为2—4月期 间( ) A.降水较多 B.云雾较少 C.地表植被覆盖度较低 D.正午太阳高度角较大 14.根据有效辐射变化可知,一年中该地热带季雨林的林冠层( ) A.表面的温度保持恒定 B.热量主要来自大气层 C.各月都是其上表层大气的冷源 D.夏季对大气加热效果小于冬季 【答案】13.B 14.D 【解析】13.云南西双版纳热带季雨林植被带对应热带季风气候,7-9月降水量远大于2-4月,2-4月由于 降水较少,云雾日数少,天气以晴朗为主,故此林冠之上的大气逆辐射较弱,B正确,A错误;热带季雨 林的植被覆盖度没有明显的季节变化,排除C;2-4月相比于7-9月西双版纳更远离太阳直射点,对应的正 午太阳高度角较小,D错误。故选B。 14.受太阳辐射的季节变化影响,当地热带季雨林林冠层表面温度也会出现季节变化,夏季高于冬季,A 错误;林冠向上的长波辐射在不同时间尺度上总是高于大气逆辐射,因此林冠层有效辐射在不同时间尺度 上均是正值,这表明热带季节雨林林冠始终是大气的一个热源,是林冠层向大气提供热源,BC错误;据 图示信息可知林冠层的长波辐射与大气逆辐射差值在夏季较冬季小,说明林冠层有效辐射夏季小于冬季, 林冠层对大气的加热效果夏季小于冬季,D正确。故选D。 (2024·天津·三模)2020年11月19日凌晨至5时,长春市大范围地区出现冻雨。下图为该日2时世 试卷第6页,共3页界局部地区海平面等压线图(单位:hpa)。冻雨是指当大气垂直结构呈上下冷、中间暖的状态时,从高 空落下的雪花通过暖层化成雨滴,雨滴在靠近地面的冷气层时,迅速冷却至0℃以下形成的天气现象。读 图,据此完成下面小题。 15.正确示意冻雨发生时长春市近地面气温垂直结构特点的是( ) A. B. C. D. 16.下列关于本次冻雨说法正确的是( ) A.冷空气北上进入长春市 B.乙地风向为西北风 C.长春市位于低压中心附近,气流上升 D.甲地出现大风扬尘天气 【答案】15.D 16.C 【解析】15.对流层温度的变化特点是随高度的增加而减小,上冷下热,对流运动显著。当大气垂直结构 呈上下冷、中间暖的状态时,从高空冰晶层掉下来的雪花通过暖层时融化成雨滴。那对流层中要出现逆温 层(随着高度的增加温度上升),AC错误;当雨滴进入靠近地面的冷气层时,雨滴便迅速冷却至0℃以下形 成冻雨,D正确,B错误。故选D。 16.根据材料信息可知,长春出现大范围的冻雨,说明水汽的量较多,根据图示信息可知,该地位于暖锋 的锋前,暖空气北上,为长春带来充沛水汽,形成冻雨,A错误;乙地风向受到地转偏向力的影响,向右 偏转形成东南风,B错误;根据图示信息可知,甲地位于东北地区,不会产生扬尘天气,D错误;长春市 位于低压中心附近,盛行上升气流,C正确。故选C。二、综合题 17.(2024·广西·高考真题)阅读图文材料,完成下列要求。 图a示意欧洲部分区域一种典型的海平面气压分布形势。冬季受该气压形势控制时,瑞士中部高原 地区(图b)风速较大,最大风速位于莱芒湖区,时速可超过100千米。这种风会使瑞士中部高原地区出 现逆温层,逆温层下方常有层云(低空中呈层状的云层)形成;当有其他条件配合时,莱芒湖畔局地还容 易出现冰冻现象。右图为莱芒湖畔某次发生冰冻时的街景。 (1)结合图,分析莱芒湖区大风的形成过程。 (2)说明冬季受该气压形势控制时,瑞士中部高原地区层云的成因。 (3)指出除大风外,莱芒湖畔局地出现冰冻现象所需的自然条件。 【答案】(1)等压线较为密集,水平气压梯度力较大;偏北风越过汝拉山脉后下沉过程中,受重力影响加速; 地处阿尔卑斯山和汝拉山脉之间,谷地呈东北一西南走向,与风向平行,具有狭管效应;湖面摩擦力小, 风速大。 (2)气压北高南低,偏北风越过汝拉山脉下沉增温,高空气团性质温暖;冷空气因密度大,堆积在阿尔卑斯 山和汝拉山脉之间的谷底,下部气团性质较冷,上下气团形成逆温;莱芒湖的蒸发为下部气团提供水汽; 大气稳定,晴天多,(夜晚)辐射散热强,下部气团的水汽易冷却凝结成云;由于逆温层的存在,难以对 流,云系难以向上发展,形成层状展开。 (3)气温下降到0℃以下;天气晴朗;近地面相对湿度较大;具有逆温现象,对流较弱。 18.(2024高三·全国·专题练习)阅读图文资料,回答下列问题。 2022年1月15日,南太平洋岛国汤加发生火山猛烈喷发,喷出的火山灰最高约为39千米,形成直 径近500千米的伞形云团(下图),致使汤加全境迅速被遮蔽。汤加当地居民生活用水主要来自收集的雨 水和地下水。火山喷发后,当地最急迫的需求是安全的饮用水。中国驻汤加大使馆首先捐赠了28万元的饮 用水、食品等,这是汤加收到的第一批救援物资。 试卷第8页,共3页(1)在火山灰穿越大气层的过程中,气温先 (升高或降低),再 (升高或降低)。 (2)此次喷出的火山灰最大高度所在大气垂直分层是 ,简述该层大气对人类活动的有利影响 。 (3)简述汤加灾后需要大量饮用水的原因。 【答案】(1) 降低 升高 (2) 平流层 平流层中的臭氧层能大量吸收太阳的紫外线,减少地球生命受紫外线的伤害。平流层 大气平稳,天气晴朗,有利于航空飞机飞行。 (3)收集的雨水和地下水被火山灰污染,短时间内无法净化、更新。 19.(2024·山东·高考真题)阅读图文材料,完成下列要求。 我国沿海某区域某时段经历了一次大范围的浓雾天气,给当地交通带来了较大影响。气象部门指出, 此次浓雾为平流雾,是由暖湿空气流经冷的下垫面而形成的。如图示意该区域0时(雾过程初期)近地面 主要气象要素的分布。(1)分析此次浓雾天气形成的主要原因。 (2)夜间,该区域被厚厚的云层覆盖,低层的雾逐渐发展增强,形成了“上云下雾、云雾共存”的特征。说 明在夜间,云对雾发展快慢的影响。 【答案】(1)暖湿空气与地表之间有较大的温差;有适当的风向和风速;冷锋过境,气温较低,空气迅速降 温;空气中水汽含量较高。 (2)云的存在对平流雾的持续发展有促进作用,云层具有增加向下长波辐射通量起保温的作用,也具有阻挡 太阳辐射的作用,起到降温的作用;雾顶高度升高,利于水汽凝结,促进雾的生成;高层逆温的形成也有 利于雾的维持,阻止雾的消散。 试卷第10页,共3页