当前位置:首页>文档>87050708-多元复合函数的求导法则-194110_军队文职(1)_01.军队文职真题-专业课_(全)版本一(历年真题+章节练习+模拟题)_数学1(军队文职)_章节练习_题目+解析

87050708-多元复合函数的求导法则-194110_军队文职(1)_01.军队文职真题-专业课_(全)版本一(历年真题+章节练习+模拟题)_数学1(军队文职)_章节练习_题目+解析

  • 2026-03-12 22:32:52 2026-01-29 13:18:54

文档预览

87050708-多元复合函数的求导法则-194110_军队文职(1)_01.军队文职真题-专业课_(全)版本一(历年真题+章节练习+模拟题)_数学1(军队文职)_章节练习_题目+解析
87050708-多元复合函数的求导法则-194110_军队文职(1)_01.军队文职真题-专业课_(全)版本一(历年真题+章节练习+模拟题)_数学1(军队文职)_章节练习_题目+解析
87050708-多元复合函数的求导法则-194110_军队文职(1)_01.军队文职真题-专业课_(全)版本一(历年真题+章节练习+模拟题)_数学1(军队文职)_章节练习_题目+解析
87050708-多元复合函数的求导法则-194110_军队文职(1)_01.军队文职真题-专业课_(全)版本一(历年真题+章节练习+模拟题)_数学1(军队文职)_章节练习_题目+解析

文档信息

文档格式
pdf
文档大小
0.139 MB
文档页数
2 页
上传时间
2026-01-29 13:18:54

文档内容

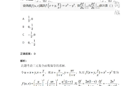
多元复合函数的求导法则 即刻题库 www.jike.vip 1 、 单选题 正确答案: D 解析: 2 、 单选题 设有三元方程 ,根 据隐函数存在定理,存在点(0,1,1)的一个邻域,在此邻域内该方程A : 只能确定一个具有连续偏导数的隐函数z=z(x,y) B : 可确定两个具有连续偏导数的隐函数x=x(y,z)和z=z(x,y) C : 可确定两个具有连续偏导数的隐函数y=y(x,z)和z=z(x,y) D : 可确定两个具有连续偏导数的隐函数x=x(y,z)和y=y(x,z) 正确答案: D 解析: 3 、 单选题 正确答案: A 解析: