当前位置:首页>文档>高中励志作文摘抄《既然选择了远方,便只顾风雨兼程》虽然辛苦,但我还是选择那种滚烫的人生#作文#高中#抖音图文来了_中小学精品资料(高清可打印)_初中大全集高清资料整理版

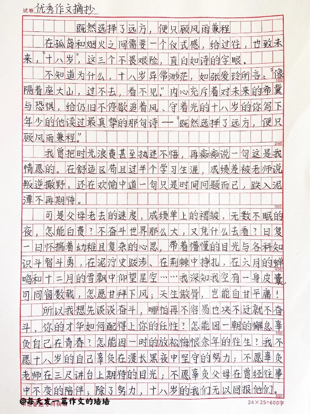
高中励志作文摘抄《既然选择了远方,便只顾风雨兼程》虽然辛苦,但我还是选择那种滚烫的人生#作文#高中#抖音图文来了_中小学精品资料(高清可打印)_初中大全集高清资料整理版

  • 2026-03-30 23:05:36 2026-01-23 05:15:00

文档预览

高中励志作文摘抄《既然选择了远方,便只顾风雨兼程》虽然辛苦,但我还是选择那种滚烫的人生#作文#高中#抖音图文来了_中小学精品资料(高清可打印)_初中大全集高清资料整理版
高中励志作文摘抄《既然选择了远方,便只顾风雨兼程》虽然辛苦,但我还是选择那种滚烫的人生#作文#高中#抖音图文来了_中小学精品资料(高清可打印)_初中大全集高清资料整理版
高中励志作文摘抄《既然选择了远方,便只顾风雨兼程》虽然辛苦,但我还是选择那种滚烫的人生#作文#高中#抖音图文来了_中小学精品资料(高清可打印)_初中大全集高清资料整理版
高中励志作文摘抄《既然选择了远方,便只顾风雨兼程》虽然辛苦,但我还是选择那种滚烫的人生#作文#高中#抖音图文来了_中小学精品资料(高清可打印)_初中大全集高清资料整理版

文档信息

文档格式
pdf
文档大小
1.798 MB
文档页数
2 页
上传时间
2026-01-23 05:15:00