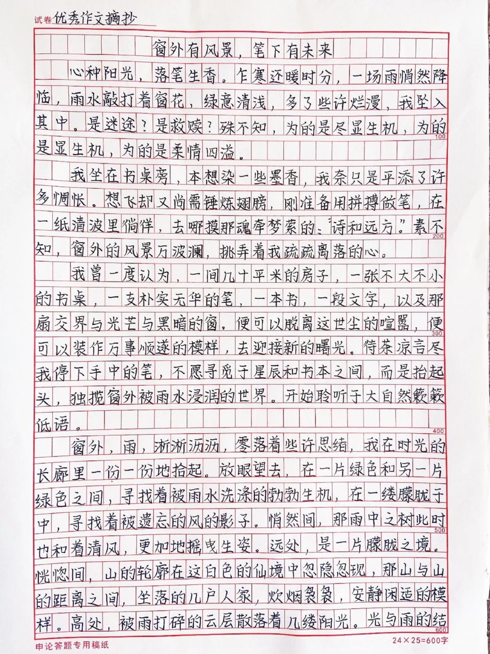
当前位置:首页>文档>高分作文范文摘抄《窗外有风景,笔下有未来》心种阳光,落笔生香#作文#满分作文#抖音图文来了_中小学精品资料(高清可打印)_初中大全集高清资料整理版

高分作文范文摘抄《窗外有风景,笔下有未来》心种阳光,落笔生香#作文#满分作文#抖音图文来了_中小学精品资料(高清可打印)_初中大全集高清资料整理版

  • 2026-04-16 03:02:12 2026-01-23 05:30:06

文档预览

高分作文范文摘抄《窗外有风景,笔下有未来》心种阳光,落笔生香#作文#满分作文#抖音图文来了_中小学精品资料(高清可打印)_初中大全集高清资料整理版
高分作文范文摘抄《窗外有风景,笔下有未来》心种阳光,落笔生香#作文#满分作文#抖音图文来了_中小学精品资料(高清可打印)_初中大全集高清资料整理版
高分作文范文摘抄《窗外有风景,笔下有未来》心种阳光,落笔生香#作文#满分作文#抖音图文来了_中小学精品资料(高清可打印)_初中大全集高清资料整理版
高分作文范文摘抄《窗外有风景,笔下有未来》心种阳光,落笔生香#作文#满分作文#抖音图文来了_中小学精品资料(高清可打印)_初中大全集高清资料整理版

文档信息

文档格式
pdf
文档大小
1.490 MB
文档页数
2 页
上传时间
2026-01-23 05:30:06