乐于分享
好东西不私藏

AppNote 117丨研究CALF-20材料的水蒸气与二氧化碳共吸附行为及其燃烧后碳捕集相关应用

AppNote 117丨研究CALF-20材料的水蒸气与二氧化碳共吸附行为及其燃烧后碳捕集相关应用

Water and CO₂ co-sorption landscape in CALF-20, a prototypical MOF, for post combustion capture

Connor Hewson1, Sean McIntyre1, and Paul IIacomi1

1) Surface Measurement Systems Ltd., London, UK

DVS Application Note 117

  摘要 

用于减缓人为CO₂排放并实现气候中和目标,高效碳捕集技术的开发至关重要。金属有机框架材料 (MOFs),尤其是具有适度疏水性的材料 (如CALF-20),已成为从含湿气体流中进行工业规模CO₂捕集的有前景的物理吸附剂。

本应用手册采用DVS Carbon Advanced型号仪器,对CALF-20的单组分及多组分CO₂与H₂O吸附行为进行了系统的重量法研究。该仪器能够在宽温度范围 (5-450°C) 内,独立控制CO₂浓度 (从 ppm级至100vol%) 以及相对湿度 (0-98%RH),从而为在接近实际运行条件下开展系统的共吸附研究提供了前所未有的研究能力。
通过在多个温度下测量单组分吸附等温线,系统表征了CO₂与水蒸气吸附量的温度依赖性。在共吸附实验中,通过保持其中一种组分的背景浓度恒定,同时扫描另一组分浓度,揭示了竞争吸附行为,并构建了完整的三维吸附响应曲面。这些结果为应用该类型MOF材料进行碳捕集过程的工艺设计与优化提供了关键的定量数据。

引言

碳捕集与封存 (CCS) 技术,包括工业烟气点源捕集以及直接空气捕集 (DAC),是实现全球气候目标所需解决方案体系中的关键组成部分 [1,2]。开发能够在真实运行条件下从复杂气体混合物中高效、稳定且具有成本优势地选择性捕集 CO₂ 的吸附材料,仍然是该领域面临的核心挑战。
金属有机框架材料 (MOFs) 因其优异的结构可设计性和高比表面积,被认为是下一代CO₂捕集材料,并在2025年获得诺贝尔奖的认可 [3]。然而,尽管许多MOF在理想的干燥条件下表现出极高的CO₂吸附容量,但大多数材料在水蒸气存在条件下会出现水热稳定性不足或性能显著下降的问题。由于水蒸气是工业烟气和环境空气中普遍存在的组分,这一关键限制在很大程度上阻碍了基于MOF材料的CO₂捕集技术从实验室研究向工业应用的转化。
Calgary Framework 20 (CALF-20) 在解决MOF基CO₂捕集材料的稳定性与性能问题方面取得了重要突破 [4]。这种锌-三唑-草酸配位框架材料兼具多种有利特性,使其成为工业应用研究中的基准MOF材料。CALF-20在保持适度吸附焓 (约30-35kJ/mol) 的物理吸附机制下,仍然表现出较高的CO₂吸附容量以及对N₂的良好选择性,从而有利于实现低能耗再生过程。此外,该材料轻微的疏水特性使其能够在含湿气体流中实现CO₂捕集,而其优异的化学与机械稳定性则支持在蒸气再生以及直接烟气接触等苛刻条件下稳定运行 [4]。
在接近实际运行条件下对吸附材料性能进行系统表征,需要对温度、CO₂浓度以及湿度等多种环境变量进行精确控制。传统吸附测试方法通常仅测量单组分吸附等温线,或采用简化的二元气体体系,因此难以全面揭示多组分体系中的竞争吸附和协同效应,从而限制了对真实工况下材料性能的深入理解。
DVS Carbon 仪器通过超高灵敏度微量天平实现亚微克级质量变化检测,同时能够独立且同步控制CO₂与H₂O浓度,从而有效弥补了这一关键测量空缺。
本应用手册采用DVS Carbon Advanced仪器对CALF-20的单组分与多组分CO₂和H₂O吸附行为进行了系统的重量法研究。

实验方法

所有实验均使用 SMS DVS Carbon Advanced 型号重量法吸附分析仪进行测试。该仪器集成了超高分辨率的SMS UltraBalance微量天平、温度可控样品腔体以及独立的CO₂与H₂O生成系统,能够在精确调控气体组成和温度的同时,以高灵敏度实时记录样品质量变化。
DVS Carbon仪器能够在常压条件下将CO₂浓度从ppm级调控至100 vol%,并在宽温度范围内实现从干燥到接近饱和的湿度控制。CO₂与水蒸气浓度均可按照阶梯式或斜坡式 (ramp) 程序独立设定,从而支持复杂的共吸附、循环吸附以及再生实验方案。仪器通过恒温箱体与局部高温加热装置的组合设计,实现 5-450°C 的精确温度控制。
上述功能的独特组合,使得该仪器能够在与碳捕集应用相关的多维参数空间中,对吸附行为进行系统研究,包括烟气处理、生物气提纯以及直接空气捕集 (DAC) 等应用场景。
▲ 图1. 上图为DVS Carbon Advanced仪器原理示意图。下图为DVS Carbon系列仪器可实现的CO₂与H₂O共吸附相空间范围。
本研究中所用CALF-20样品均为原始材料直接使用。在实验开始前,样品需在干燥气体吹扫条件下于180°C活化至少180分钟,以去除残留溶剂及已吸附物种。实验中采用约10-50mg的样品量,以在保证良好信噪比的同时实现快速吸附平衡动力学,并尽量减小样品床层中的温度梯度。

实验结果

  • 单组分吸附等温线
在1 bar总压条件下,于5°C (低温) 至105°C (高温) 范围内测量了CO₂与H₂O的单组分吸附等温线。实验中通过阶梯式提高CO₂浓度或相对湿度 (RH) 进行测试,并以质量变化速率作为平衡判据 (10分钟内质量变化速率<0.002%/min),以确保每个测试点达到吸附平衡。随后通过按相反顺序降低浓度测量脱附分支,用于评估吸附滞后行为。此外,还测量了20 vol% CO₂条件下的等压线,以及20%RH条件下的等湿线,温度范围为5-150°C,以10°C为步长增长。
▲ 图2a. CO₂吸附等温线
▲ 图2b. CO₂吸附三维响应曲面
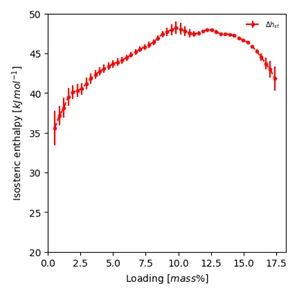
▲ 图2c. CALF-20上CO₂的等量吸附焓
图2a展示了CALF-20的CO₂吸附数据。根据IUPAC分类,该等温线表现出典型的 I 型等温线特征,对应于微孔填充机制。在15-50% CO₂ (燃烧后捕集常见浓度范围) 条件下,材料表现出显著吸附容量,在25°C时吸附量超过3 mmol/g。随着温度升高,吸附量明显下降,反映了物理吸附过程的放热特性。该温度依赖关系可通过Clausius-Clapeyron方程进行定量描述,并可据此计算不同负载下的等量吸附焓 (见图2c)。用于快速评估固定浓度下吸附温度依赖性的测试方式为等压线 (isobar),其数据在图2a中以灰色方块表示。这些实验数据可进一步构建完整的三维吸附响应曲面,如图2b所示。
吸附与脱附分支之间几乎没有明显滞后现象,表明CALF-20中CO₂的吸附过程为可逆的物理吸附。这一结果与该框架结构不含开放金属位点或强相互作用官能团的特征相一致。良好的可逆性对于循环捕集-释放过程至关重要,也是该材料在数十万次循环运行中保持长期稳定性的重要原因之一 [4]。
▲ 图2d. H₂O吸附等温线
▲ 图2e. H₂O吸附三维响应曲面
▲ 图2f. CALF-20上H₂O的等量吸附焓
图2d展示了水蒸气吸附等温线,结果表明CALF-20具有一定程度的疏水性。在整个温度范围内,当相对湿度低于10%RH时,水蒸气吸附量始终很低,说明水分子与框架之间的相互作用较弱,材料表面亲水性有限。当湿度升高至20%RH以上时,吸附量明显增加,表明微孔网络中开始发生毛细凝结。CALF-20框架由锌金属中心与草酸根及三唑配体完全配位形成,并具有芳香结构特征,这种疏水结构特性使得水的凝结发生在较高RH条件下,相比亲水性材料明显延迟。这一特征也可从图2f计算得到的吸附焓中得到验证:在初始吸附阶段,吸附焓低于25°C下水的汽化焓 (44 kJ/mol)。
水蒸气吸附的温度依赖性进一步揭示了CALF-20孔结构中水分子团簇形成及凝结的热力学特征。随着温度升高,等温线在相对湿度坐标下保持相似形状,但由典型的S型逐渐向更接近线性形态转变。
近期研究报道,CALF-20在湿度变化过程中存在完全可逆的结构转变 [7]。本研究所涉及的较宽温度范围在很大程度上超出了此前针对该转变的研究区间。然而,可以推测等温线中出现的多个拐点很可能与这些结构转变有关,并可能对观察到的吸附行为产生影响。与CO₂情况类似,完整的水蒸气三维吸附曲面如图2e所示。
  • 多组分共吸附实验
为了全面表征CALF-20在CO₂与H₂O共存条件下的吸附行为,本研究采用两种互补策略开展系统的共吸附实验。
在第一种方法中,保持H₂O浓度为恒定背景值,同时在整个范围内扫描CO₂浓度,从而获得在固定水负载条件下CO₂分压与吸附量之间的关系,示例如图3c所示。
在第二种方法中,则保持CO₂浓度为恒定背景值,同时改变湿度水平,对应结果见图3a。
针对每一种组分均设置了多个背景浓度,以在0-100 vol%CO₂和0-98%RH的完整范围内构建系统数据集。需要指出的是,DVS Carbon Advanced仪器能够独立调控任意组分浓度参数,从而实现对多组分吸附行为的全面研究。
将单组分吸附数据与协同吸附实验数据整合后,可构建在固定温度条件下总吸附量随CO₂与H₂O同时变化的三维吸附曲面,如图3b所示。该三维曲面能够直观展示多组分体系中的整体吸附行为分布 (sorption landscape),并为过程模拟与工艺优化提供重要数据基础。
此外,该吸附曲面还揭示了参数空间中可能存在共吸附效应的区域。针对这些区域,可结合其他表征方法开展进一步研究,例如通过SMS BTA Frontier动态穿透曲线分析仪进行多组分动态吸附测试。

▲ 图3a. 在恒定CO₂背景浓度条件下扫描相对湿度(RH)

▲ 图3b. CO₂-H₂O 共吸附三维响应曲面

▲ 图3c. 在恒定H₂O背景浓度条件下扫描CO₂浓度

结论

本研究通过系统的重量法实验,展示了DVS Carbon仪器在研究先进吸附材料的CO₂与H₂O多组分共吸附行为方面的强大能力。通过对温度、CO₂浓度以及湿度进行系统调控,并实现CO₂与H₂O分压的独立控制 (DVS Carbon仪器的独特功能),能够获得完整的吸附数据集,从而全面表征材料在与工业碳捕集相关的多维参数空间中的性能表现。
本文所提出的实验方案与数据分析方法同样适用于其他类型碳捕集材料的评估,包括功能化MOF材料、胺接枝吸附剂、沸石以及多孔碳材料等。通过在实验中再现工业相关浓度和温度条件下CO₂与水蒸气同时存在的真实运行环境,DVS Carbon仪器为新一代碳捕集材料的开发与工业化应用提供了关键研究工具,有助于加速实现全球气候减排目标所需的碳捕集技术发展。

References

[1] United Nations. (2015). The Paris Agreement. United Nations. https://www.un.org/en/climatechange/paris-agreement
[2] Carrascal-Hernández, D. C., Grande-Tovar, C. D., et al. (2025). CO₂ capture: A comprehensive review and bibliometric analysis of scalable materials and sustainable solutions. Molecules, 30(3), 563. https://doi.org/10.3390/molecules30030563
[3] Hack, J., Maeda, N., & Meier, D. M. (2022). Review on CO₂ capture using amine-functionalized materials. ACS Omega, 7(44), 39520-39530. https://doi.org/10.1021/acsomega.2c03385
[4] Bolisetty, S., Peydayesh, M., & Mezzenga, R. (2021). A scalable metal-organic framework as a durable physisorbent for carbon dioxide capture. Science, 374(6574), 1464-1469. https://doi.org/10.1126/science.abi7281
[5] Steenhaut, T., Hermans, S., & Filinchuk, Y. (2024). Enhancing CO₂ capture via fast microwave-assisted synthesis of the CALF-20 metal-organic framework. Inorganic Chemistry, 64(6), 2594-2604. https://doi.org/10.1021/acs.inorgchem.4c04727
[6] Sharma, V., Agrawal, M., Borhani, D. W., & Ediger, M. D. (2024). Gas sorption and framework flexibility of CALF-20 explored via experiments and simulations. Nature Communications, 15, 3981. https://doi.org/10.1038/s41467-024-48136-0
[7] Lin, R.-B., Li, L., Wu, H., Arman, H., Li, B., Lin, R.-G., Zhou, W., & Chen, B. (2023). Humidity-responsive polymorphism in CALF-20: A resilient MOF physisorbent for CO₂ capture. ACS Materials Letters, 5(11), 3173-3180. https://doi.org/10.1021/acsmaterialslett.3c00930
如需参考原版应用手册(英文版),或了解关于仪器参数及其他应用案例等,更多详细信息,欢迎私信交流,或访问原文链接

Surface Measurement Systems Ltd.

英国SMS公司 – 中国分公司

萨默斯科技 (上海有限公司

SMS Technology (Shanghai) Co., Ltd.

联系人: 王经理 136 0271 1380

网址: www.smsinstruments.cn

邮箱: smschina@surfacemeasurementsystems.com

微信公众号: SMS Technology

本站文章均为手工撰写未经允许谢绝转载:夜雨聆风 » AppNote 117丨研究CALF-20材料的水蒸气与二氧化碳共吸附行为及其燃烧后碳捕集相关应用

猜你喜欢

  • 暂无文章