【2026版高考总复习红与勾讲与练数学电子版第二章2.7指数与指数函数

1.理解有理数指数幂的含义,了解实数指数幂的意义,掌握指数幂的运算性质.
2.理解指数函数的概念,理解指数函数的单调性,掌握指数函数图象经过的特殊点.


1.根式
(1)如果xn=a,那么x叫做a的n次方根.
(2)式子na叫做根式,其中n叫做根指数,a叫做被开方数.
(3)(na)n=a.当n为奇数时,nan=a;当n为偶数时,nan=|a|=a,a≥0,-a,a<0.)
2.有理数指数幂
|
概念 |
正分数指数幂:an)=nam |
a>0,m,n∈N*,n>1 |
|
负分数指数幂:a-n)=1\f(mn)=1nam |
||
|
0的正分数指数幂等于0,0的负分数指数幂没有意 义 |
||
|
运算 性质 |
ar·as=ar+s |
a>0,b>0,r,s∈Q |
|
(ar)s=ars |
||
|
(ab)r=arbr |
3.指数函数的概念、图象与性质
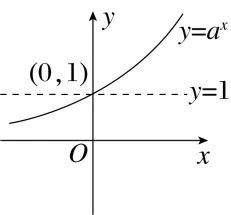
(1)概念:一般地,函数y=ax(a>0,且a≠1)叫做指数函数,其中指数x是自变量,定义域是R.
(2)图象与性质
|
项目 |
y=ax(a>0,且a≠1) |
|||
|
图象 |
0<a<1 |
a>1 |
||
|
|
|
|||
|
图象特征 |
在x轴上方,过定点(0,1) |
|||
|
当x逐渐增大时,图象逐渐下降 |
当x逐渐增大时,图象逐渐上升 |
|||
|
性 质 |
定义域 |
R |
||
|
值域 |
(0,+∞) |
|||
|
单调性 |
递减 |
递增 |
||
|
函数变 化规律 |
当x=0时,y=1 |
|||
|
当x<0时,y>1;当x>0时,0<y<1 |
当x<0时,0<y<1;当x>0时,y>1 |
|||

1.指数函数图象的画法
画指数函数y=ax(a>0,且a≠1)的图象,应抓住三个关键点:(1,a),(0,1),\a\vs4\al\co1(-1,\f(1a)).
2.指数函数的图象与底数大小的比较
如图是指数函数①y=mx,②y=bx,③y=cx,④y=dx的图象,底数m,b,c,d与1之间的大小关系为c>d>1>m>b>0.在第一象限内,指数函数y=ax(a>0,且a≠1)的图象越高,底数越大.


1.判断(正确的画“√”,错误的画“×”)
(1)函数y=2x-1是指数函数.(× )
(2)函数y=
(a>1)的值域是(0,+∞).(× )
(3)2-3>2-4.(√ )
(4)若am<an(a>0,且a≠1),则m<n.(× )
2.(人教A版必修第一册P119T6改编)已知a=0.750.1,b=1.012.7,c=1.013.5,则( C )
A.a>b>cB.a>c>b
C.c>b>aD.c>a>b
解析:因为函数y=1.01x在(-∞,+∞)上是增函数,且3.5>2.7,故1.013.5>1.012.7>1>0.750.1,即c>b>a.故选C.
3.(人教A版必修第一册P120T10改编)函数f(x)=
的单调递减区间为[1,+∞).
解析:复合函数f(x)=
可以分为外部函数y=0.7u与内部函数u=x2-2x,因为外部函数y=0.7u在公共定义域内单调递减,根据复合函数单调性“同增异减”的性质,所以求f(x)的减区间,等价于求内部函数u=x2-2x的增区间,易知u=x2-2x的增区间为[1,+∞),故f(x)的减区间为[1,+∞).
4.已知a>0,b>0,则
·5a4÷5b3=1.
解析:
·5a4÷5b3=
·
·a5)÷b5)=a-5)+5)·b5)-5)=a0·b0=1.

考点1 指数幂的运算
【例1】 计算:
(1)÷33a13(a>0);
(2)-338-π0;
(3) (a>0,b>0).
【解】 (1)原式=
÷
=(a3)3)÷(a2)2)=a÷a=1.
(2)原式=
-\a\vs4\al\co1(\f(278))3)-1=
-\b\lc\(\rc\2)))\s\up12(3))3)-1=52-32-1=0.
(3)原式=
=
·
=a-1=1a.

指数幂运算的一般原则
(1)有括号的先算括号里的,无括号的先进行指数运算.
(2)先乘除后加减,负指数幂化成正指数幂的倒数.
(3)底数是负数的,先确定符号;底数是小数的,先化成分数;底数是带分数的,先化成假分数.
(4)若是根式,应化为分数指数幂,尽可能用幂的形式表示,运用指数幂的运算性质来解答.
【对点训练1】(1)已知a+a-1=7,则a2)-
=( B )
A.5B.±5
通过网盘分享的文件:2026红对勾讲与练高三政治等9个文件
链接: https://pan.baidu.com/s/1PV9jm4aYOjX-uWLS9hJnUw?pwd=4321 提取码: 4321
–来自百度网盘超级会员v8的分享
夜雨聆风


