技术文章 | 绿色建筑设计软件暖通负荷模拟计算(上篇)

1
为什么要学习负荷计算?

空调负荷定义:
维持室内温湿度,单位时间供冷或热,如保持满杯水量,平衡室内热量变化。
就像给一个杯子倒水保持满的状态,流走多少(负荷),我们就得补多少(空调能力)

负荷计算目的:
确定空调系统容量,确保舒适度,优化能源使用,指导设备选型与建筑节能设计。

设备选型:
· 选大:
投资高、能耗高、频繁启停
· 选小:
达不到温湿度要求

系统设计:
确定风量、管径、水泵、机房大小

节能分析:
定位建筑能耗关键点(窗?人?设备?新风?)
2
负荷的分类与构成
1、负荷的分类与构成–按季节分类
冷负荷:夏季:需要从室内移除的热量
热负荷:冬季:需要向室内补充的热量
2、负荷的分类与构成–按性质分类
围护结构负荷:外墙、屋顶、地面导热,阳光透过玻璃直接得热,室内外温差导致热量传递。
室内负荷:人员散热(显热+潜热),设备如电脑、灯光散热,新风负荷占总负荷30%~50%。
3、关键区别:得热 vs 负荷
得热概念(heat gain):热量瞬时直入室内,如阳光直射。
负荷概念(load):热量被物体吸收,延后释出,如午后室内升温。
负荷不同于得热,区别就在于得热中的辐射部分。
3
负荷的计算方法
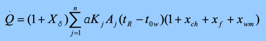
3.1 冬季建筑的热负荷
1、冷负荷:为保证房间低于周围环境温度所需供应的冷量,称为冷负荷。
2、热负荷:为保证房间高于周围环境温度所需供应的热量,称为热负荷。
3、湿负荷:为了维持房间湿度恒定需从房间除去湿量称为湿负荷。
4、正确确定冷热湿负荷的意义:负荷计算是暖通空调设计的依据,关系到环境指标保证设备容量大小、方案确定,系统管道大小等。
5、冷、热、湿负荷的计算依据:室外气象参数和室内设计的参数。

(1)室外空气计算参数:指在负荷计算中所采用的室外空气参数。
(2)确定室外空气计算参数:按现行的《采暖通风与空气调节设计规范》GB 50736-2012中规定的计算参数。
(3)我国确定室外空气计算参数的基本原则:按不保证天数法即全年允许有少数时间不保证室内温湿度标准。
1971年1月1日~2000年12月31日 三十年平均值,未采用近年的数据或考虑更新。工程计算已经比较保守,富裕量较大。
(4)室外空气计算参数的分类:
1、夏季空调室外计算干、湿球温度:
①确定原则:《规范》确定,夏季空调室外计算干球取室外空气历年平均不保证50h的干球温度;湿球温度也同样
②历年平均:近年来受气候变化影响,室外空气计算参数随环境温度的变化也发生了改变。本次统计选取1971年1月1日至2000年12月31日30年的每日4次(2、8、14、20点)定时观测数据为基础进行计算
③用途:用于计算夏季新风冷负荷

2、夏季空调室外计算日平均温度和逐时温度:
①空调因围护结构传热负荷计算原理:按不稳定传热过程计算,因此,须知夏季空调室外计算日平均温度和逐时温度
②逐时温度(应用少,公式符号与地点修正相同)


3、冬季空调室外空气计算温度、相对湿度:
①冬季空调室外空气计算温度的用途:在冬季利用空调供暖时,计算围护结构的热负荷和新风负荷均用此温度
②确定原则:规范规定历年平均不保证1天的日平均温度作为冬季空调室外空气计算温度。见附录A
③相对湿度:《规范》规定,采用历年一月份平均相对湿度的平均值作为冬季空调室外空气计算相对湿度
4、冬季采暖室外计算温度和冬季通风设计温度:
①采暖室外计算温度的确定:《规范》规定取历年平均不保证5天的日平均温度
②通风室外计算温度的确定:取累年最冷月平均温度
③采暖室外计算温度的用途:用于计算建筑物围护结构的热负荷及消除有害物通风的进风热负荷(也即供暖系统设计热负荷)
④通风室外计算温度的用途:计算全面通风的进风热负荷
5、夏季通风室外计算温度和夏季通风室外计算相对湿度:
①通风室外计算温度的确定《规范》规定取历年最热月14时的月平均温度的平均值
②通风室外计算相对湿度的确定:取历年最热月14时的月平均相对湿度的平均值
③温度及湿度用途:计算消除余热余湿的通风及自然通风进风需冷却时,进风冷负荷也采用

室内需空气计算参数选择考虑因素:
1、房间使用功能对舒适性的要求。主要因素是空气温度、湿度和气流速度,其次为衣着,空气新鲜程度,室内各表面的温度,人员活动情况等。
2、地区、冷热湿情况、经济条件和节能要求等因素。《规范》对舒适性空调采暖、室内计算参数如下:


3.2 冬季建筑的热负荷
采暖设计热负荷的确定依据:按平衡原理,即:热负荷=失热量-得热量
民用建筑:
失热量:围护结构耗热量、由门窗缝隙渗入冷空气外门开启侵入冷空气。
得热量:太阳辐射。
工业建筑:
失热量:除上述民用建筑失热量项目,还有冷物料运输工具、水分蒸发。
得热量:设备散热,热物料。
围护结构的耗热量
围护结构耗热量包含内容:



①Aj的确定:
a、外墙高度,本层地面到上层地面(中间层)
底层:由地面下表面到上层地面。
顶层:平屋顶到屋顶外表面。
斜屋面:到门顶的保温层表面。
长:外表面到外表面,外表面到中心线,中心线到中心线
b、门、窗按净空尺寸
c、地面、屋顶面积,地面和门顶按内廓尺寸,平屋顶,按外廓
d、地下室,位于室外地面以下的外墙,按地面
②Kj的确定:
查有关手册
αn=8.72 W/㎡·℃
αW=23.26 W㎡·℃
计算(多层匀质平壁)
地面通常用地带划分法:



③ α的确定(围护结构温差修正系数):
在已知冷测温度或用热平衡法能计算出冷测温度的时候,可以直接用冷测温度代入,不用再用修正。

围护结构附加耗热量
①朝向修正耗热量
产生原因:太阳辐射对建筑物得失热量的影响,《规范》规定对不同朝向的垂直围护结构进行修正。
修正方法:采用修正率,需要考虑当地冬日日照率及辐射强度的大小
加减到基本耗热量上。

②风力附加耗热量
产生原因:风力增强。
在不避风的高地、河边、海岸、旷野上的建筑物以及城镇、厂区内特别高的建筑物,垂直的外围护结构热负荷附加5%~10%(一般城市中建筑物可不附加)。

③外门开启附加
产生原因:加热开启外门侵入的冷空气。
方法:短时间开启无热风幕按表格,阳台门不考虑


④高度附加
原因:高度过高,强度梯度方法:当净高起过4m时,每增加1米,附加率为2%,最大不超过15%。
高度附加是在基本耗热量和其他附加耗热量总和上。
通过某一围护结构传热量耗热量

门窗缝隙渗入冷空气的耗热量
1、产生原因:因风压与热质作用室外空气经门窗缝隙进入室内。
2、方法:《规范》规定,对六层以下的按缝隙法。

—加热渗入冷空气耗热量w
0.278—单位换算系数1KJ/h=0.278w
L—经每m门窗缝隙渗入室内的冷空气量
根据冬季室外平均风速.查表2-6

l—门窗可开启部分缝隙长度m
—室外空气密度kg/m3
Cp—空气压质量比热1Kj/kg. ℃
m—冷风渗适量的朝向修正系数,见表2-7


3.3 夏季建筑围护结构的冷负荷
空调负荷需要精确计算的原因
由于空调负荷计算的偏大,导致设备选型偏大,国外的空调发展也经历了这个发展阶段。
首先必须要区分的是得热量与冷负荷是两个不同的概念。通过围护结构进入房间的以及房间内部发散的各种热量称为房间得热量,这些热量中绝大多数具有时变性质且含有辐射成份(例如夏季进入室内的阳光辐射得热)。
空调系统是依靠空气为媒介,带走室内的余热量。空气只能带走对流热量,却不能直接吸收辐射热量。当房间的得热量中含有辐射成份时,这部分辐射成份必须经过吸收、反射、对流放热和辐射放热等多次过程才能使进入房间的辐射热量最终转化为对流热量被空调空气所带走。
建筑热湿环境是如何形成的
是建筑环境中最重要的内容。
主要成因是外扰和内扰的影响和建筑本身的热工性能。
外扰(外热源):室外气候参数,邻室的空气温湿度。
内扰(内热源):室内设备、照明、人员等室内热湿源。
均属瞬间得热量,未考虑得热后以辐射传递的衰减问题。


通过墙体的热传导
由于热惯性存在,通过围护结构的传热量和温度的波动幅度与外扰波动幅度之间存在衰减和延迟的关系。衰减和滞后的程度取决于围护结构的蓄热能力。



室内得热的重要概念
得热(Heat Gain — HG):某时刻在内、外扰作用下进入房间的总热量叫做该时刻的得热(内外热源)。
围护结构热过程特点:由于围护结构热惯性的存在,通过围护结构的得热量本身就会与外扰之间存在着衰减和延迟的关系。

得热后又会以对流和辐射(有延迟)方式形成冷负荷。





空调负荷计算必然分为两部分:
1.在室内、室外热源(墙体为非稳态)作用下的得热量计算。
2.得热量以对流和辐射方式逐步释放形成空调冷负荷的计算。
注:工程计算常简化为一步。
(1)在上世纪40年代,没有区分得热量和房间冷负荷两个不同概念。
(2)准稳态传热计算时期:用室外气温和太阳辐射的傅立叶展开式做为墙体导热方程的边界条件求解传热量,采用稳态传热计算形式来简化,得出当量温差的概念。50年代,苏联提出了谐波分解的类似方程,并用衰减度和延迟时间来表示。
(3)动态负荷计算时期:上世纪70年代出现了反应系数法,和用在Z传递函数的改进的反应系数法。空调负荷计算的发展,使得空调设计负荷更加精确,降低能耗和节省投资,为房间的全年能耗逐时模拟、建筑物能耗分析奠定了基础。
(4)目前国内的空调负荷计算方法有两种:
·谐波法的改进法:谐波反应法
·基于传递函数和反应系数法的冷负荷系数法。
典型负荷计算方法原理介绍

谐波反应法和反应系数法比较
谐波法计算空调负荷比较直观,采用了衰减度和延迟时间两个重要概念,反映的是以24小时为波动的完整。
反应系数法求解单位三角波扰量(1℃的扰量)在后来的每个间隔点时产生热传递效应的系数,即传热反应系数,与衰减和延迟两个概念无关,不必再构造连续函数。
无论何时发生多大的热扰动,均以该时刻为起点按此传热反应系数的顺序递推求出该扰动对其后各点的传热效应,继而求出逐时负荷值,因此对于全年的逐时空调负荷和非周期的传热计算更加方便。
谐波反应法(《空气调节》第三版,清华大学出版社):
第一:由于室外综合温度形成的室内围护结构得热量的过程。此过程要考虑外扰的周期性和围护结构对外扰的衰减和延迟性质。

第二:室内围护结构得热量形成空调负荷过程:此过程将该得热量分成对流和辐射两个成份。对流部分形成瞬时冷负荷,辐射部分则要考虑房间各个表面总体的蓄热作用(表现为放热衰减和放热延迟)后才转化为瞬时冷负荷。

查瞬时传热量的比例分配表、房间类型及围护结构放热特性表
第二步用于室内以辐射方式传递热量的衰减情况计算。
理论计算时分为第一阶段和第二阶段两步骤计算内容,但在查表计算时一步完成(即所谓简化计算)。


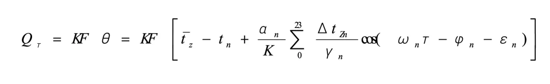
冷负荷系数法:
冷负荷系数法,基础是传递函数法将围护结构或空调房间连同空气视为热力系数将外扰或室内得热作为系统的输入,当计算某建筑物空调冷负荷时,按条件查出相应的冷负荷温度与冷负荷系数,用稳定传热方法,便于手算。
第一:
A、围护结构各部件的基本得热量(《建筑热过程》)

B、 房间发应系数的定义是:房间在某种单位单元得热量的作用下,从作用时刻j=0起,其后的各个时刻jvτ(j=0,1,2 …)房间所得到的热量的数值称为该时刻的房间反应系数。
为了简化计算,将房间反应系数简化为W(0),W(1),CW(1),C2W(1),C为房间反应系数的公比。此时的冷负荷计算公式为:
CL(n)=W(0)·HG(n)+[W(1)-CW(0)]·HG(n-1)+C·CL(n-1)
围护结构瞬变传热形成冷负荷的计算方法:
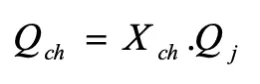
1、外墙和屋顶瞬变传热引起的冷负荷
逐时冷负荷按下式

2、内围护结构冷负荷
①产生原因:邻室为非空调房间,或有发热量。
②负荷计算:
a、邻室为非空调房间,且通风良好,通过内墙与楼板
传热冷负荷,可按式(2-5)计算。
b、当邻室有发热量时,可视作稳定传热,按下式


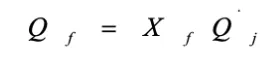
3、外玻璃窗口瞬变传热引起的冷负荷
通过外玻璃窗冷负荷(因温差作用)

通过玻璃窗的日射得热引起冷负荷的计算方法。
(一)日射得热因数的概念。
1、日射得热的分类:
通过玻璃窗直接进入室内的太阳辐射热
窗玻璃吸收太阳辐射后使入室内热量
2、影响因素:
窗类型
遮阳设施
太阳入射角
太阳辐射强度

通过玻璃窗的反射得热引起的冷负荷的计算方法


· END ·
网址:https://www.yjk.cn/
服务热线:400-021-0116
技术支持邮箱:support@yjk.cn

夜雨聆风