乐于分享
好东西不私藏

可下载:2025年中考数学【甘肃省平凉市卷】(含解析)

可下载:2025年中考数学【甘肃省平凉市卷】(含解析)

原卷版(答案在后面)
关注公众号,回复:电子版 自动领
关注公众号,回复:电子版 自动领
解析版
关注公众号,回复:电子版 自动领
关注公众号,回复:电子版 自动领
关注公众号,回复:电子版 自动领

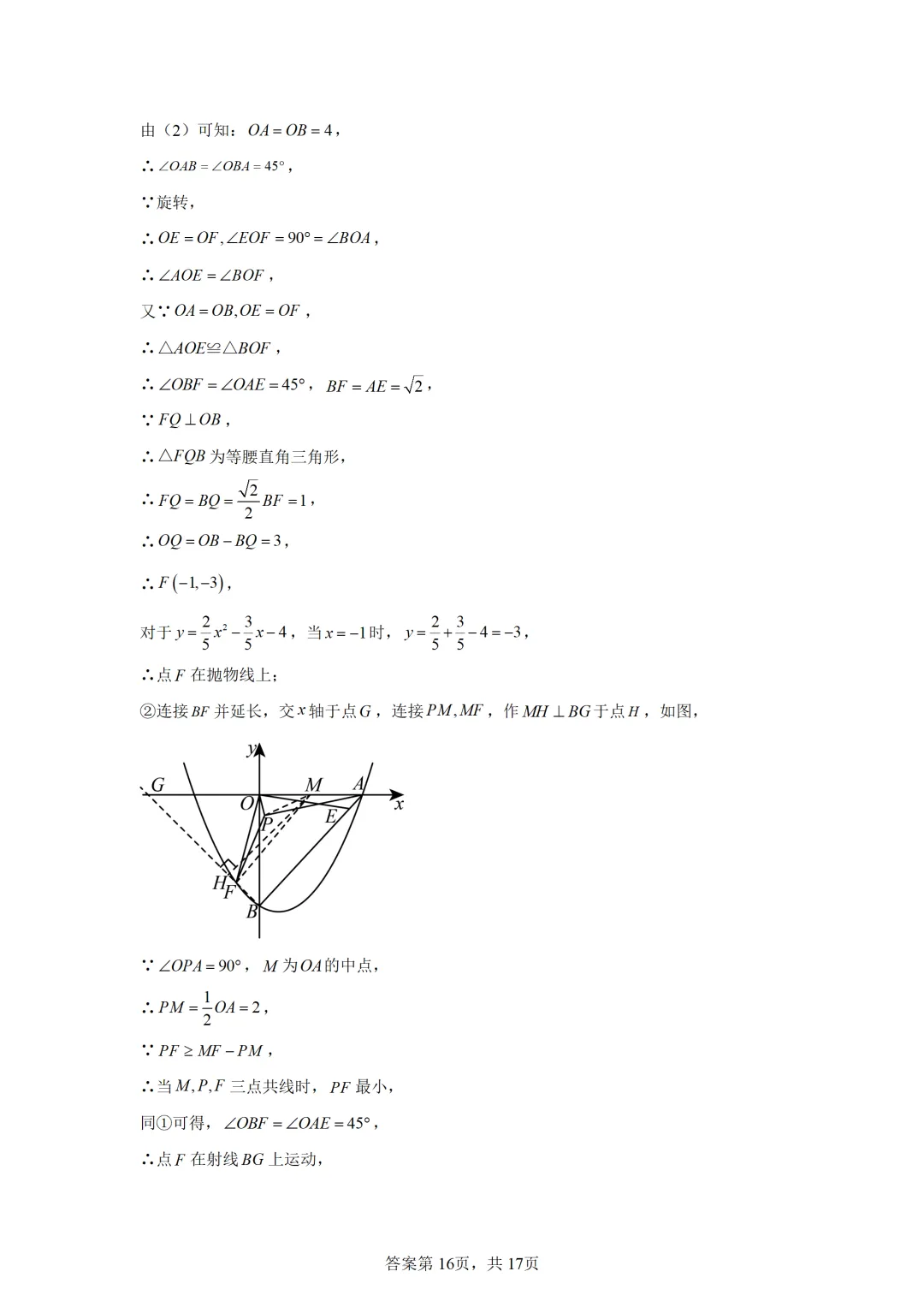
(试卷著作权归属于相关教育部门

关注公众号,回复:电子版 自动领