【生物竞赛】(word版)2026生物联赛初赛试题与答案(重庆赛区)可下载打印
注意事项:
1.所有试题使用2B铅笔在机读卡上作答,多重判断赋分方式与2025年联赛赋分一致;
2.本试卷共80题,考试时间150分钟。
3.本试卷包含四个模块:细胞生物学/生物化学/分子生物学/微生物学(1-25题)、植物和动物的解剖/生理/组织/器官的结构与功能(26-43题)、动物行为学/生态学(44-63题)、遗传学/进化生物学/生物系统学(64-80题)。
模块一:细胞生物学、生物化学、分子生物学、微生物学(1-25题)
1.以下属于过氧化物酶体蛋白质的分选信号序列是()
A.信号肽B.转运肽C.导肽D.C端内在引导序列
2.下列关于常用模式生物芽殖酵母和裂殖酵母的叙述,判断下列说法的正误()
A.都是单细胞真核生物
B.基因组大小相近
C.染色体上均有ARS、TEL和CEN
D.均具有线性染色体
3.真核细胞中Ca2+是重要的第二信使,其浓度受到严格的时空调控。下列关于细胞内Ca2+稳态与调控的叙述,判断下列说法的正误()
A.肌质网/内质网是细胞内重要的Ca2+储存库,静息状态下其腔内Ca2+浓度远高于细胞质基质
B.质膜上维持Ca2+外流的机制主要有两种:P型钙泵直接消耗ATP进行主动运输,Na+/Ca2+逆向转运蛋白则利用Na+浓度梯度供能进行次级主动运输
C.当细胞受到信号刺激时,Ca2+通过通道蛋白顺浓度梯度进入细胞质基质,使胞内Ca2+浓度快速升高
D.细胞质基质中Ca2+浓度升高后,可与钙调蛋白(CaM)结合形成Ca2+-CaM复合物,进而激活下游蛋白激酶,启动一系列生理反应
4.关于CRISPR-Cas系统的衍生应用与分子机制,对以下的陈述进行正误判断()
A.CRISPR/dCas9与VP64激活结构域融合后,需通过gRNA靶向基因启动子区域才能激活转录,其激活效率与启动子区域的染色质开放程度正相关
B.单碱基编辑器(如BE3)结合了dCas9、胞嘧啶脱氨酶和尿嘧啶糖苷酶抑制剂,可在不产生双链断裂的情况下实现C→T突变,该过程依赖DNA复制或修复机制完成
C.碱基编辑技术可实现所有类型的单碱基突变,G→C突变可直接通过胞嘧啶脱氨酶介导完成,无需二次编辑
D.CRISPR/Cas13系统可特异性识别RNA并切割,其靶向特异性仅由gRNA与靶RNA的互补配对决定,不受RNA二级结构影响
5.下列关于蛋白质修饰与代谢调控的叙述,进行正误判断()
A.蛋白质的泛素化修饰可分为单泛素化和多聚泛素化,前者参与DNA修复,后者主要介导蛋白酶体降解,且泛素分子的连接方式决定修饰功能
B.N-连接糖基化始于内质网,修饰位点为天冬酰胺残基(N-X-S/T),O-连接糖基化始于高尔基体,两种修饰可同时存在于同一蛋白质
C.蛋白质磷酸化仅能通过改变蛋白质构象增强其与配体的结合能力,同一蛋白上不同位点的磷酸化介导的生物学功能完全一致
D.组蛋白的乙酰化修饰由组蛋白乙酰转移酶(HAT)催化,该修饰可增强染色质凝聚力,抑制基因转录,去乙酰化则相反
6.糖类是生物体重要的能源物质。下列关于糖类的叙述的正误判断()
A.蔗糖的溶解度很大,且大多数生物体的代谢活动不受高浓度蔗糖的显著影响,这使其适合作为植物组织间糖的运输形式
B.乳糖普遍存在于哺乳动物的乳汁中,此外在连翘属雄性生殖器官中也有乳糖的存在
C.麦芽糖是一种还原性糖,在食品工业中可用作膨松剂,有助于防止焙烤食品干瘪
D.与支链淀粉相比,直链淀粉更易溶于水,支链淀粉遇碘呈紫色
7.对于以下关于三羧酸循环的说法,请判断正误()
A.顺乌头酸酶将柠檬酸异构为异柠檬酸时,羟基是随机给到来自乙酰CoA的-CH2COOH或来自草酰乙酸的-CH2COOH
B.异柠檬酸脱氢酶位于线粒体内膜上,其他三羧酸循环的酶位于线粒体基质
C.Ca2+能抑制三羧酸循环中一些酶的活性,进而加快三羧酸循环的运转
D.α-酮戊二酸脱氢时,除了NAD+以外还需要FAD、CoA等多种辅因子
8.核酸的变性,指的是在特定因素作用下,其双螺旋区因氢键和碱基堆积力破坏而发生解链的过程,有关核酸变性,判断下列说法的正误()
A.DNA变性后黏度增加,浮力密度降低
B.DNA样品被污染可能使得Tm范围变宽
C.加入SSB可使得DNA的Tm值增加
D.加入盐离子可使得DNA的Tm值增加
9.细胞中的磷脂分子可自由运动和排列,以维持细胞膜的结构和功能。关于下图结构的描述,判断下列说法的正误()

A.可用于药物靶向运输
B.只运载水溶性药物,不能运载脂溶性药物
C.体现了细胞膜的流动性
D.将磷脂分子放入水中,还可能产生微团
10.关于细胞膜上的离子通道,对下列陈述进行正误判断()
A.离子通道具有高度选择性,仅允许特定离子跨膜通过
B.电压门控离子通道的开放与关闭受细胞膜电位变化调控
C.离子通道介导的离子跨膜运输需要消耗ATP,属于主动运输
D.配体门控离子通道可被神经递质、激素等信号分子激活
11.脂筏是细胞膜上富含胆固醇和鞘磷脂的动态微结构域,参与多种细胞过程。下列关于脂筏的说法,判断正误()
A.脂筏中的胆固醇和鞘磷脂使其具有较高的脂质有序性
B.脂筏常作为信号分子受体富集的平台,参与信号转导
C.脂筏在膜上是静态的结构,不会发生移动或成分交换
D.脂筏的形成与某些蛋白质的脂质修饰(如GPI锚定)有关
12.钠泵(Na+-K+ATP酶)是维持细胞正常功能的关键离子泵,关于其生理作用及相关药物影响,判断下列选项()
A.钠泵每分解一分子ATP,向胞内泵入2个Na+,向胞外泵出3个K+
B.钠泵的主要功能之一是维持细胞内高K+浓度,为蛋白质合成提供适宜环境
C.哇巴因可增强钠泵活性,使静息电位绝对值增大
D.哇巴因可抑制钠泵,导致细胞内Na+蓄积,动作电位幅度增大
13.2025年,广西医科大学团队首创“肿瘤伪装术”,激活人体免疫精准抗癌。请判断以下说法正误()
A.该疗法的原理是通过病毒感染免疫细胞,并诱导免疫细胞特异性杀灭癌细胞
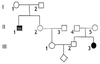
B.为了验证该疗法,需要先做动物实验确保安全性和有效性
C.在构建患癌动物时,可以使用CRISPR-Cas9技术对动物体细胞的p53基因进行敲除
D.为评估该疗法对细胞的毒性,可以Annexin V/PI双染色后用流式细胞术分析凋亡率
14.为什么p53的某些突变使它被归入癌抑制基因/隐性癌基因一类,而P53的其他突变又使它被归为显性癌基因一类?请判断正误()
A.p53基因很大而突变又很少
B.p53是与信号转导有关的酪氨酸激酶
C.是多基因家族中的一员,可能有几种突变
D.正常p53水平的降低或过多突变P53的表达都是有害的
15.细胞周期蛋白依赖性激酶(CDK)中,促进G2期向M期转换的是()
A.CDK1B.CDK2C.CDK3D.CDK4
16.荧光漂白恢复(FRAP)和荧光漂白损失(FLIP)技术研究膜分子流动性,判断下列说法()
A.FRAP是对特定区域强光漂白,观察该区域荧光恢复程度与恢复速率,可判断分子的流动性与扩散能力
B.FLIP是对细胞内同一区域反复漂白,监测荧光逐渐降低,反映分子的持续扩散运动
C.FRAP实验中,荧光恢复到稳定状态的时间越短,说明标记分子的扩散速率越慢
D.若FRAP最终荧光不能完全恢复,可能是样品中存在一部分运动受限、不能自由扩散的不可移动组分
17.溶酶体膜的结构特性与其功能密切相关,对以下的陈述进行正误判断()
A.溶酶体膜上的质子泵为V-型ATP酶,可将细胞质基质中的H+泵入溶酶体,维持内部pH为5.0左右,该过程的能量来自ATP水解
B.溶酶体膜上的糖蛋白可防止膜自身被内部水解酶降解,且膜脂的不饱和脂肪酸含量高,流动性强,利于吞噬泡与溶酶体融合
C.溶酶体通过自噬途径降解衰老细胞器时,自噬小体与溶酶体的融合仅依赖膜上的Rab蛋白,无需细胞骨架的参与和支撑
D.溶酶体膜上的载体蛋白将降解产物转运至细胞质基质时,均为被动运输,无需消耗能量
18.生物体中能量的利用与储存除了ATP与ADP的转换还有许多方式,进行正误判断()
A.磷酸肌酸是生物体高能磷酸键的储存形式,是磷氧型高能键化合物
B.葡萄糖的活化,脂肪酸的活化,磷脂酰乙醇胺的合成都会形成PPi
C.要让ATP合酶转一圈要消耗4个H+,所以NADH与FADH2分别产2.5ATP和1.5ATP
D.寡霉素可以抑制复合体Ⅲ,而抗霉素可以抑制F0
19.下列过程中,甲基由S-腺苷甲硫氨酸提供的是()
A.dUMP→dTMP
B.磷脂酰乙醇胺→磷脂酰胆碱
C.H3K27→H3K27me3
D.GpC岛中C→m5C
20.如图是酶蛋白经过酶抑制剂A、B试剂处理后的酶促反应速率曲线,请判断正误()

A.A是竞争性抑制剂处理
B.A是反竞争性抑制剂处理
C.B是非竞争性抑制剂处理
D.B是反竞争性抑制剂处理
21.关于细胞内信号传导的特点与机制,对下列陈述进行正误判断()
A.第二信使(如cAMP、Ca2+、IP3)可在胞内快速扩散,实现信号放大
B.蛋白激酶的磷酸化与蛋白磷酸酶的去磷酸化是信号通路常见的开关机制
C.受体酪氨酸激酶(RTK)需先形成二聚体并自磷酸化,才能启动下游信号
D.所有细胞内信号蛋白均通过核转位进入细胞核,直接调控基因转录
22.在某种乳酸发酵菌中,科学家提出以下代谢途径(以甘油-3-磷酸为唯一碳源)。其他科学家认为该途径无法支持该菌在无氧条件下正常生长,最可能的原因是什么?请判断正误()
A.该途径中NAD+被还原为NADH的次数远多于NADH被重新氧化的机会,导致NAD+耗竭
B.该途径每分子甘油-3-磷酸只能净生成1分子ATP,不足以支持维持生命活动
C.甘油-3-磷酸所含能量低于葡萄糖,无法满足乳酸发酵的能量需求
D.该途径中产生的乳酸带负电荷,与甘油-3-磷酸的电荷不匹配,影响代谢平衡
23.Ras蛋白是一种小GTP酶,位于细胞膜内表面。请结合信号转导相关原理,判断以下关于Ras蛋白激活与调控机制的说法()

A.促红细胞生成素(EPO)与其受体结合后,可间接导致Ras蛋白的活化
B.Sos蛋白的SH3结构域可识别Grb2中的脯氨酸序列
C.Grb2的SH2结构域具有酪氨酸激酶活性,可使RTK发生磷酸化
D.Ras与p53均属于原癌基因表达的蛋白质
24.利用CRISPR-Cas9系统进行基因编辑时,常会出现“脱靶效应”。为提高编辑的特异性,下列策略有效的是()
A.使用高保真度的Cas9变体(如eSpCas9或Cas9-HF1),降低非特异性DNA结合
B.缩短sgRNA的长度至10-12nt,减少与靶位点的互补配对
C.使用双切口酶(Cas9 nickase),需要两个sgRNA 同时结合才能产生双链断裂
D.在Cas9蛋白上融合核定位信号(NLS),提高其在细胞核内的浓度
25.Klenow片段具有什么活性()
A.3′-5’外切酶活性B.3′-5’内切酶活性C.5′-3’外切酶活性D.5′-3’聚合酶活性
模块二:植物和动物的解剖、生理、组织和器官的结构与功能(26-43题)
26.气孔是介导植物和大气之间气体交换的结构。据图,请判断正误()

A.拟分生组织在分化成保卫母细胞之前,可以完成多次非自我更新的不对称分裂
B.一个GMC经过一个单一的对称分裂,成为一对GC
C.SLGCs只可以分化为保卫细胞
D.产生次生分生组织的分裂不仅是不对称的,而且还可以防止邻近气孔的形成
27.植物结构往往是不均匀的,它们在空间上相连,特性互补,共同完成某些功能。下列描述请判断正误()
A.有外切向壁角质化的表皮细胞伴随有气孔
B.有木栓层就必然有皮孔
C.有次生壁就肯定有纹孔
D.孢子囊壁有环带就必定有唇细胞
28.植物细胞初生壁的主要成分包括()
A.果胶B.纤维素C.半纤维素D.木质素
29.如图所示的分枝方式为()

A.单轴分枝B.合轴分枝C.假二叉分枝D.二叉分枝
30.如图为植物细胞结构的示意图,对下列叙述做出判断()

A.ML是一种无定形的胶状体,主要成分是果胶
B.P的主要成分是纤维素,细胞生长时,P可随细胞增大而增大
C.管胞、导管、木纤维均具有S1、S2、S3结构
D.结构A可以通过S结构上的初生纹孔场与邻近细胞沟通
31.判断下列有关动物血液循环的说法正确与否()
A.环毛蚓的血液流动方向为背部从后向前,腹部从前向后
B.文昌鱼无血细胞、无呼吸色素、无心脏、血管无动静脉之分
C.七鳃鳗由腹大动脉发出7对入鳃动脉进入鳃囊,再由7对出鳃动脉流出
D.家兔右前大静脉退化,左右后主静脉也分别退化为奇静脉和半奇静脉
32.关于植物气孔调节的分子机制,对以下的陈述进行正误判断()
A.脱落酸(ABA)可通过激活保卫细胞膜上的钙离子通道,使细胞质中Ca2+浓度升高,进而抑制质子泵活性,促进气孔关闭
B.光照下,保卫细胞中的叶绿体进行光合作用产生ATP,为质子泵提供能量,使保卫细胞吸水膨胀,气孔开放
C.蓝光受体PHOT1、PHOT2被蓝光激活后,可直接促进保卫细胞内钾离子内流,是调控气孔开放的核心蓝光受体
D.COP1蛋白在黑暗中不会降解光信号通路的转录因子,光照下COP1被激活,反而会抑制气孔开放的相关信号
33.判断以下每个陈述是否正确()
A.植物在盐渍胁迫环境中呼吸强度先升后降
B.植物在被病原菌侵染的时候会导致氧化酶活性升高
C.茉莉酸在植物抗病性中主要介导对腐生营养型病原菌的抗性
D.通常认为在植物对病原微生物的免疫反应中,茉莉酸和水杨酸之间存在拮抗作用
34.下列关于植物质体陈述正误判断()
A.质体可分为三种类型:有色体、叶绿体、白色体,三种类型可相互转换
B.有色体常见于植物的花瓣、果实中,内部没有发达的膜结构,但形成基粒,能积聚淀粉和脂类,还有吸引昆虫的作用
C.白色体有着淀粉和脂肪合成中心的作用,普遍存在于植物各部分的储藏细胞中,可以特化成为淀粉体、造油体、造蛋白体
D.所有类型质体都是由前质体直接发育而来,因外界条件而异
35.光照和植物激素如油菜素内酯(BR)对植物生长发育至关重要。使用不同浓度的BRZ处理野生型和突变体植株,检测子叶夹角,结果如下图所示。请判断正误()

A.油菜素内酯属于植物激素,对于植物的生长发育有重要的催化作用
B.过表达BBX28和BBX29的转基因植物在黑暗和光照条件下都下胚轴伸长,显示出对BR处理的敏感性增加
C.BBX28和BBX29是油菜素内酯信号通路的正向调节因子
D.BBX28和BBX29是油菜素内酯信号通路的负向调节因子
36.鲤科鱼类在最后一对鳃弓的下咽骨上着生有咽喉齿,下图为几种常见鲤科鱼类的咽喉齿形态,判断其与物种对应是否正确()

A.甲——草鱼B.乙——鲢鱼C.丙——金鱼D.丁——翘嘴红铂
37.下列鸟类的蹼中,属于半蹼足的是()

A.AB.BC.CD.D
38.如图为松茎三个切面的示意图,据此判断下列说法的正误()

A.若有一只昆虫被困于该树干中,则其需要按照由图A中由1→2的方向逃跑,才能以最快速度逃离树干
B.图B可以观测到木射线细胞的宽度和高度
C.图C是横切面
D.图B中3所标注的细胞若进一步放大,可能观察到该细胞的侧壁上具有具缘纹孔
39.随着脊椎动物演化登陆,为适应陆生肺呼吸,动脉弓发生了强烈的变化,判断下列对于动脉弓的叙述()
A.无尾两栖类第Ⅲ和Ⅳ对动脉弓之间联系消失
B.无尾两栖类第VI对动脉弓不与背大动脉联系
C.无尾两栖类第Ⅴ对动脉弓消失
D.哺乳类动脉弓从右往左依次是无名动脉、左锁骨下动脉、左颈总动脉
40.头骨是骨骼系统中最复杂的一部分,判断下列叙述()
A.咽颅在发生中主要由外胚层起源,包括软骨化骨和膜骨
B.舌颌骨在两栖类进入中耳充当听小骨,与镫骨同源
C.软颅是无顶盖的,头顶主要由膜骨(鼻骨、额骨、顶骨等)覆盖
D.鳄鱼、鸟类、现代爬行类、古代恐龙都是双颞窝类的后代
41.关于植物根的初生结构与发育,判断正误()
A.根的初生分生组织包括原表皮、基本分生组织和原形成层,发育为表皮、皮层和维管柱
B.根的内皮层细胞具凯氏带,其木质化和栓质化的带状增厚出现在细胞的径向壁和切向壁
C.根毛是表皮细胞外壁向外突出形成的单细胞结构,根毛区是根吸收水分和矿质离子的主要部位
D.双子叶植物根的初生木质部为外始式发育,初生韧皮部与初生木质部相间排列,无髓部
42.关于双子叶植物根的初生结构,对下列陈述进行正误判断()
A.根的初生结构由表皮、皮层和维管柱三部分组成
B.内皮层细胞具有凯氏带,可控制物质的横向运输
C.初生木质部呈辐射状排列,初生韧皮部位于木质部之间
D.根毛由表皮细胞向外突起形成,可增加吸收面积
43.水分在植物木质部导管中上升的动力主要来自根压和蒸腾拉力。根据材料、泊肃叶定律及植物解剖生理知识,判断下列叙述()

A.在相同的水势差下,B植物单根导管的理论最大导水效率大约是A植物的16倍
B.A植物最可能生长在水资源丰富的温暖湿润地区,其木质部导管主要进行加厚的环纹导管和螺纹导管,以保证高效的输水
C.在寒冬来临前,A植物和B植物均可通过增加原生质胶体亲水性和可溶性糖含量来提高根压,以维持微弱的水分运输
D.若对B植物进行环割处理,破坏其筛管和伴胞,但由于木质部导管完整,在土壤水分充足、大气湿度饱和的夜晚,其幼叶依然能够通过吐露水的方式表现根压的存在
模块三:动物行为学、生态学(44-63题)
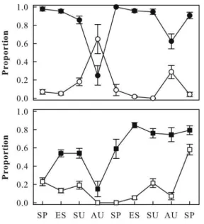
44.下图是中国胡塞国家级自然保护区四种主要食物类别利用MARK计划对猪獾(野猪)饮食贡献的估计(带有标准误差条)。上面是蚯蚓(黑圆圈)和果实(开圆圈),下面是节肢动物图像(黑色方形)和无脊椎动物幼虫(开方形)。SP、ES、SU、AU分别表示春季初夏、夏、秋季。猪獾在秋季的食物有哪些()

A.蚯蚓B.水果C.节肢动物成虫D.无脊椎动物幼虫
45.合作行为是动物行为学家的研究内容之一,其典型的代表如鸟类的共同抚幼行为(指除父母外的其他成鸟一同抚育幼鸟)。2007年一位学者对这种行为进行了深入研究。请根据描述与图示回答下面题目:在鸟类中,合作抚育后代可以很明显地提高后代的成活率,例如长尾大山雀。但是在另一种南澳大利亚的鸟类壮丽细尾鹩莺中,后代的体重与成活率在是否有额外的帮手时却没有明显差异,见图(a)。学者经过研究,通过实验得出了(b)、(c)、(d)的结论,据此推断下列说法()

A.图(b)反驳了合作抚育后代可以提高后代的成活率的观点
B.在(c)的实验中,研究者更换了鸟卵,使得有帮手和无帮手的两种情况下孵育初始大小相同的后代
C.研究结果说明,雌性对卵投资的减少可以被帮手提供的帮助所补偿
D.(c)证实了合作抚育后代可以提高后代的成活率的观点
46.承接上题中的内容,为何鸟类雌性减少了对卵的投资,从而使拥有帮手所带来的生殖优势被卵的变小所抵消。根据图(d),判断下列的解释()
A.帮手的存在使得食物资源的竞争更加紧张,雌性成鸟在生殖上的分配相应减小
B.帮手可能会在资源短缺时食用雌性成鸟的卵
C.雌鸟将更多的能量分配于保卫领地
D.雌鸟当前生殖分配的减小,使得未来存活与生殖的可能性加大
47.Trivers等在1984年做了如下实验:在饲养瓶中放入等量的雄性和雌性黄猩猩果蝇,然后用能识别父母身份的遗传标记法,比较每只果蝇的交配次数和产仔数,如下图:判断下列说法()

A.雄果蝇的生殖成功率与交配次数成正相关
B.雌果蝇的生殖成功率与交配次数成正相关
C.出现这种结果的原因是雌性对每个子代的投入要远大于雄性
D.可以预测,在雄性投资大于雌性的物种(如水鸡)中,同种实验的结果不会相同
48.判断下列关于两性关系和生殖投资的说法()
A.动物的所有求偶和交配行为都完美地展示了雌雄两性间的和谐合作
B.雌雄两性的利益完全一致,因为双方都致力于提高自身的适合度
C.由于雄性动物具有使极多卵子受精的巨大潜力,雌性动物常常被看作需竞争的稀缺资源
D.子代的存活对两性都有50%的利害关系,因此双方会实行有限的合作
49.关于生态因子的叙述如下,结合所学知识做出判断。()
A.利比希最小因子定律适用于“严格稳定状态下、其他因子适宜”的条件
B.不同物种对同一生态因子的耐受性范围相同,这是物种共存的关键
C.生态因子的补偿作用可在一定程度上缓解限制因子的影响
D.食物、天敌、温度等生态因子属于密度制约因子
50.请根据所学知识,对r-对策者与K-对策者的描述做出判断。()
A.r-对策者慢速发育,大型成体,寿命长,繁殖投资低
B.K-对策者幼体存活率高,对环境波动的适应能力强
C.杂草、昆虫多为r-对策者,其种群数量易出现“爆发式增长”
D.大型哺乳动物多为K-对策者,种群增长曲线呈“S”型
51.生物多样性普查的采样策略需考虑物种分布特征和环境异质性,下列关于采样策略的设计与分析,进行正误判断()
A.采样距离的确定需通过预采样绘制物种-面积曲线,当曲线趋于平缓时的距离即为最佳采样距离,该距离在森林中通常大于开阔地
B.采样点的设置应采用随机抽样或分层抽样方法,避免主观偏差,分层抽样可根据环境类型划分层次,提高采样的代表性
C.采样半径越小,采样效率和物种检出率越高,因此普查中应尽量采用小半径采样,无需考虑稀有物种的检出问题
D.采样点数量仅与研究区域的面积有关,与物种丰富度无关,且采样点之间的距离应小于物种的活动范围,保证采样的全面性
52.哺乳动物肾脏髓质部与皮质部厚度比(髓皮比)反映了其对水分的调节能力,下列关于髓皮比与生态适应的叙述,进行正误判断()
A.髓皮比越高,肾脏的浓缩尿液能力越强,越适应干旱环境,因为髓质部的肾小管更长,可形成更高的渗透压梯度
B.沙漠啮齿类动物的髓皮比与热带雨林啮齿类无明显差异,其肾脏的集合管对水的通透性相同,重吸收水分能力一致
C.水生哺乳动物的髓皮比最低,因为其生活环境水分充足,无需浓缩尿液,肾脏的主要功能是排出多余水分和代谢废物
D.髓皮比是哺乳动物的先天特征,不受环境影响,同一物种的不同个体髓皮比完全相同,仅由遗传物质决定
53.陆生脊椎动物的鲜艳体色具有多种生态功能,下列关于鲜艳体色功能的叙述,进行正误判断()
A.鲜艳体色的主要功能是性选择或警示天敌,性选择导致雄性个体体色更鲜艳,警示色则告知天敌自身有毒或不可食
B.某些动物的鲜艳体色可作为拟态的一部分,如无毒蛇模拟有毒蛇的体色,属于贝氏拟态,可避免被捕食者攻击
C.鲜艳体色的形成仅与环境温度和湿度有关,与遗传因素和自然选择无关,同一物种在不同环境中的体色鲜艳程度差异显著
D.雌性个体的体色通常较暗淡,这一特征与性选择密切相关,鲜艳的体色会提高雌性的孵卵和育幼成功率
54.生活史对策是指生物在自然选择作用下,通过资源权衡所形成的、关于出生、生长、繁殖与死亡的适应性模式。下列关于生活史对策的正误判断()
A.一般来说,物种的体型大小与其寿命成正比,与其内禀增长率成反比
B.r-选择者通常具有发育慢、繁殖率低、体型大、寿命长的特点
C.K-选择者的种群数量通常稳定在环境容纳量(K值)附近,竞争能力较强
D.老虎、大象等属于典型的r-选择者,而蚜虫、鱼类等适应K-选择
55.《诗经·小雅·小宛》中有这样的描述“螟蛉有子,蜾蠃负之”请问这句话描述的是蜾蠃的什么行为()
A.护幼行为B.捕食行为C.攻击行为D.求偶行为
56.判断下列有关动物社群生活与捕食的关系的说法()
A.对猎物而言,相对于单个行动,集群行动使有猎物被捕食者发现的概率降低
B.随着猎物群体中个体数量的增加,捕食者发现该猎物群的概率上升
C.社群生活有利于捕食者在与其他捕食者的竞争中取胜
D.捕食者能通过社群中的信息交流更快找到食物
57.种群是在同一时期内占有一定空间的同种生物个体的集合,它是_________的基本单位()
A.自然界中物种存在B.物种进化C.生物群落组成D.以上所有
58.某科学家获取了一批同时出生的某种昆虫100个,并研究了这批昆虫由出生到死亡的全过程,得到数据如下表。判断以下说法的正误:
|
出生(0个月) |
1个月 |
2个月 |
3个月 |
4个月 |
5个月 |
6个月 |
7个月 |
8个月 |
|
100个 |
60个 |
36个 |
22个 |
13个 |
8个 |
5个 |
3个 |
0个 |
A.该数据可用于绘制静态生命表
B.该数据说明这种昆虫的存活曲线为Ⅲ型(凹型)
C.利用该数据计算得到的昆虫平均寿命为1.47个月
D.利用该数据可进行关键因子分析,从而确定对昆虫种群数量波动最重要的生命阶段
59.关于交配策略转化和进化稳定对策(ESS),判断下列叙述()

A.体型大的雄性甲虫有大角,以通过战斗保卫雌性,依靠雄性优势求偶交配
B.体型小的雄性甲虫一般无角,通过跑动快偷配以获得交配权
C.当种群中都是“偷配”个体时,选择保卫雌性的策略更有效
D.当种群中都是“保卫雌性”个体时,选择偷配的策略更有效
60.当鹅发现卵在它的巢外边的时候,它会伸长脖子慢慢地用喙将卵取回。它看到其他物体(如啤酒瓶、高尔夫球)时也有同样的行为,甚至在它开始这一套收回动作时把物体驱走,它也会有这一套行为。根据上述表述,判断正误()
A.鹅将完全不像卵的物体收回是因为它无法辨认自己的卵,这是视觉缺陷导致的
B.这种行为是先天性的本能行为,由特定的释放刺激触发,属于固定动作模式
C.这一行为的目的是为了将巢填满以保持孵化条件,体现了鹅的理性思维
D.这是通过学习从亲代获得的行为,幼鹅通过观察成年鹅学会如何回收卵
61.科研人员对肾癌患者进行外显子测序,发现PBRM1基因部分编码区序列存在poly-A插入导致的移码突变,并根据PBRM1突变状态分组绘制了免疫治疗后的生存曲线。下列能从图像信息得出的结论是()

A.PBRM1基因编码区中的poly-A序列插入会导致翻译提前终止,说明该基因属于抑癌基因
B.PBRM1基因突变型患者生存率显著高于野生型患者,表明PBRM1失活可增强对免疫治疗的敏感性
C.PBRM1与VHL突变在肾癌发生中相互拮抗,两者双突变的患者预后最差
D.通过配对样本t检验比较两组患者的生存时间,可以判断PBRM1突变是否影响预后
62.人的神经系统的复杂程度不亚于世界上任何一台机械,据此判断以下每个陈述是否正确:()
A.小脑和基底神经节都与人体的运动有关,但相对而言,前者主要在运动进行过程中发挥作用,后者主要在运动的准备和发动阶段起作用
B.巴宾斯基征阴性提示可能有皮层脊髓束受损
C.神经递质乙酰胆碱的N受体都是五聚体,又称烟碱受体,一般是促离子型受体
D.不同神经细胞氯离子通道的开放导致的结果可能不同
63.图示为眼球外肌的分布,请判断以下说法的正误:()

A.结构①为上睑提肌,受动眼神经支配
B.结构③为外直肌,其收缩的效果是使瞳孔转向外侧
C.结构⑥为上斜肌,其主要受滑车神经支配,其收缩的效果是使瞳孔转向下外
D.多数眼外肌受动眼神经支配
模块四:遗传学与进化生物学、生物系统学(64-80题)
64.某种植物的花色同时受A、a与B、b两对基因控制,基因型为A_bb的植株开蓝花,基因型为aaB_的植株开黄花。将蓝花植株(♀)与黄花植株(♂)杂交,取F1红花植株自交得F2。F2的表现型及其比例为∶红花∶黄花∶蓝花∶白花=7∶3∶1∶1,判断下列分析正误()

A.F2中基因型为Aa_ _的杂合子致死
B.F1产生的配子中某种雌雄配子同时致死
C.亲本蓝花植株和F2蓝花植株的基因型一定为AAbb
D.F1产生的配子中,Ab雌配子或Ab雄配子致死
65.在近亲结婚中后代患常染色体隐性遗传病风险会提高,运用Bayes法可以准确计算发病风险。下图中一个常染色体隐性遗传的先天性聋哑患者(Ⅲ1)与他姨表妹(Ⅲ2)结婚婚后生有一女(IV1)并不聋哑,如果再生孩子(IV2),患聋哑的风险是多少?()
A.1/2B.1/14C.1/8D.1/16
66.DNA复制过程中,5’→3’亲链作模板时,子链的合成方式为()
A.3’→5’连续合成子链
B.5’→3’合成若干冈崎片段,然后由 DNA 连接酶连接这些冈崎片段,形成完整子链
C.5’→3’连续合成子链
D.3’→5’合成若干冈崎片段,然后由DNA连接酶连接这些冈崎片段,形成完整子链
67.下面的家系显示了一个隐性性状的遗传,深色个体为患病个体。如果没有相反的证据,我们就假设与该家族成员婚配的人都不带有该隐性等位基因。Ⅲ-1×Ⅲ-12的后代表现该性状的概率是多少?()

A.1/16B.1/8C.1/6D.1/12
68.一名果蝇遗传学家将纯合的X连锁三隐性突变(y,黄体;ec,棘眼;w,白眼)雌果蝇与野生雄果蝇交配。再将F1代雌性与三突变体雄性交配,结果如下表。这三个基因在X染色体上的正确顺序如何()
|
雌蝇 |
雄蝇 |
数目 |
|
+++/yecw |
+++ |
475 |
|
y ec w /y ec w |
y ec w |
469 |
|
y++/yecw |
y++ |
8 |
|
+ecw/yecw |
+ec w |
7 |
|
y+w/yecw |
y+w |
18 |
|
+ec+/yec w |
+ec+ |
23 |
|
++w/yecw |
++w |
0 |
|
yec+/yec w |
y ec+ |
0 |
A.y-ec-wB.y-w-ecC.w-y-ecD.无法确定
69.1900年,奥地利科学家兰德斯坦纳发现了ABO血型……结合所学知识对下列叙述做出判断。()
A.MN血型系统中两个基因为并显性,M型个体的红细胞表面具有M抗原
B.ABO血型系统由复等位基因控制,其中形成ABO抗原的前体物质为H物质
C.孟买型个体由于无法合成H物质,因此在表型呈现为O型
D.Rh阴性个体生下一个Rh阳性胎儿,若第二胎也是Rh阳性胎儿可能会导致胎儿死亡
70.基因连锁与交换是遗传学中非常重要的两个概念,结合所学知识对下列叙述做出判断。()
A.若两对等位基因位于同一对同源染色体上,则其遗传必然遵循连锁定律,后代不会出现重组型个体
B.交换率一般大于重组率,重组率最大值为50%,此时两基因表现为完全独立遗传
C.三点测交可同时测定三对基因的相对位置,其中双交换产生的重组型个体数量通常最少,是判断基因顺序的关键
D.某生物体在减数分裂过程中有40%孢母细胞发生交换重组,则重组型配子比例为20%
71.基因树与物种树不一致是进化生物学中的常见现象,下列关于其原因的分析,进行正误判断()
A.不完全谱系分选是指祖先种群的基因多态性在物种分化后随机固定,导致基因树与物种树不一致,物种快速分化时更常见
B.物种间杂交与基因流可导致基因树与物种树不一致,杂交后代携带双亲基因,使部分基因的系统发生关系与物种分化不符
C.基因复制与丢失不会导致基因树与物种树不一致,复制基因的演化路径与物种分化路径完全一致,无明显差异
D.线粒体基因的母系遗传不会导致基因树与物种树不一致,核基因的双亲遗传反而会使基因树与物种树出现偏差
72.关于基因组重复序列的类型与功能,对以下的陈述进行正误判断()
A.LINEs(长散在重复序列)属于自主转座子,可编码逆转录酶和整合酶,转座可导致基因突变或基因表达调控改变
B.SINEs(短散在重复序列)可自主编码转座相关蛋白,独立完成转座过程,对基因组的稳定性具有重要的保护作用
C.串联重复序列(如微卫星DNA)的重复次数无多态性,无法作为遗传标记,仅能参与基因组的结构支撑
D.部分重复序列可参与基因表达调控,如启动子区域的重复序列可影响转录因子结合,3’非编码区的可影响mRNA稳定性
73.有丝分裂与减数分裂是真核细胞的两种重要分裂方式,下列关于两者的比较与进化意义的叙述,进行正误判断()
A.减数分裂存在同源染色体配对、交叉互换和分离,可产生遗传多样性,有丝分裂无这些过程,遗传物质保持稳定
B.有丝分裂发生在体细胞中,用于细胞增殖和组织修复,减数分裂发生在生殖细胞形成过程中,分裂前均发生一次染色体复制
C.减数分裂产生的子细胞染色体数与亲代相同,受精作用会使染色体数加倍,无法维持物种染色体数的稳定
D.有丝分裂和减数分裂的纺锤体形成仅与中心体有关,与细胞两极的微管组织中心无关,且不受基因的调控
74.血友病是凝血因子缺乏所导致的凝血功能障碍,最常见的是VIII因子缺乏导致的甲型血友病,如果一对健康的夫妻到医院进行遗传咨询,如果男子的父亲与女子的母亲均患有甲型血友病,则两人之后生下的两个孩子(非双胞胎)至少有一个患病的概率是:()
A.1/16B.3/16C.5/16D.7/16
75.某种昆虫的体色受常染色体上的等位基因A/a控制。已知雄虫的体色只有黑色,雌虫有黑色和灰色两种表型……雌雄虫杂交实验结果如下表所示。判断下列叙述正误()
|
杂交组合 |
亲本 |
F1 |
|
1 |
雌虫甲×雄虫丙 |
灰色∶黑色=3∶5 |
|
2 |
雌虫乙×雄虫丁 |
灰色∶黑色=1∶3 |
A.据实验结果分析,灰色为显性性状
B.雌虫甲、雌虫乙、雄虫丙的基因型相同
C.两组实验结果均能证明该相对性状的遗传遵循分离定律
D.若让杂交组合2中F1雌雄个体随机交配,F2中灰色个体的比例为7/16
76.下图示一种人群中十分罕见的隐性遗传病,其致病基因位于XY染色体同源区。据此判断以下选项的正误()

A.Ⅲ-1和Ⅲ-2生一个患病孩子的概率是1/32
B.若已知生了一个女儿,则其患病概率是1/16
C.若已知Ⅲ-2携带致病基因,且Ⅲ-1和Ⅲ-2已经生了三个不患病的女儿,则下一个孩子患病的概率是1/100
D.若Ⅰ-1和Ⅱ-5是亲姐妹,Ⅰ-2和Ⅱ-4是亲兄弟,则Ⅲ-1和Ⅲ-2常染色体基因的亲缘系数为1/8
77.一个表型正常的夫妇生了一个正常男孩和一个患病女孩,如果男孩与一个父亲为该病携带者的正常女子结婚,生了一个正常儿子M,下列说法判断正误()
A.该病的遗传方式为常染色体隐性遗传
B.这个儿子M携带致病遗传因子概率为5/11
C.该夫妻再生一个患病女儿的概率为1/24
D.该夫妻再生一个患病女儿的概率为3/88
78.遗传学家利用黑腹果蝇的近缘模式种(Drosophila pseudomelanogaster)研究了常染色体上三个隐性突变基因:黄体(y)、卷翅(c)和短刚毛(s)。野生型等位基因(y+、c+、s+)均为完全显性。研究人员将基因型为ycs/y+c+s+的三杂合雌蝇与隐性纯合的雄蝇进行测交,统计得到的1000只子代昆虫表型及数量如下表所示。基于上述遗传学实验数据,请对以下陈述进行正误判断()
|
子代表型特征 |
表现型简写 |
观察数量(只) |
|
野生型 |
y+c+s+ |
410 |
|
黄体、卷翅、短刚毛 |
ycs |
420 |
|
黄体、卷翅 |
ycs+ |
1 |
|
短刚毛 |
y+c+s |
2 |
|
黄体 |
yc+s+ |
51 |
|
卷翅、短刚毛 |
y+cs |
46 |
|
卷翅 |
y+cs+ |
36 |
|
黄体、短刚毛 |
yc+s |
34 |
A.根据测交子代表型重新组合的种类及比例推断,这三个基因在染色体上的真实排列顺序为y-c-s。
B.经过基因交换重组数据计算,基因y与s之间的遗传距离约为10.0cM。
C.该染色体区段的交叉并发系数(C)约为0.59,这表明一次单交换的发生促进了邻近区域的第二次交叉。
D.若实验改用F1代的三杂合雄蝇与隐性纯合雌蝇进行测交,其子代的表型种类及比例将与上述结果完全一致。
79.Kaa代表的是两个同源序列中每个位点氨基酸的平均替代数,kaa代表的是每个位点氨基酸平均替代速率,请对以下陈述进行正误判断()
A.kaa=Kaa/(2T)B.当发生同时替代时,kaa会被低估
C.当发生平行替代时,kaa会被高估D.当发生回复替代时,kaa会被低估
80.关于陆生脊椎动物肺的起源的叙述,对下列陈述进行正误判断()
A.陆生脊椎动物的肺直接由鳃演化而来
B.肺与鱼类的鳔属于同源器官,均起源于原肠的突出
C.肺最早出现在爬行类动物中
D.鱼类无肺结构,与陆生脊椎动物呼吸系统无演化关联

模块一 细胞/生化/分子/微生物(1–25)
1. 答案:D
解析:过氧化物酶体分选信号为C端内在引导序列;信号肽→内质网;转运肽→叶绿体;导肽→线粒体。
2. A(T) B(T) C(T) D(T)
解析:二者均为单细胞真核;基因组大小相近;均含ARS、CEN、TEL;均为线性染色体。
3. A(T) B(T) C(T) D(T)
解析:内质网/肌质网是Ca²⁺库;钙泵+Na⁺/Ca²⁺交换维持稳态;刺激后通道开放内流;Ca²⁺-CaM激活下游激酶。
4. A(T) B(T) C(F) D(F)
解析:C:胞嘧啶脱氨酶只做C→T,G→C不能直接完成;D:Cas13受RNA二级结构影响。
5. A(T) B(T) C(F) D(F)
解析:C:磷酸化可增强/减弱结合,不同位点功能不同;D:乙酰化松弛染色质、促进转录。
6. A(T) B(T) C(T) D(F)
解析:D:直链淀粉水溶性更差,遇碘蓝黑;支链淀粉遇碘紫红。
7. A(F) B(F) C(F) D(T)
解析:A:顺乌头酸酶异构有位置特异性;B:异柠檬酸脱氢酶在基质;C:Ca²⁺激活三羧酸循环。
8. A(F) B(T) C(F) D(T)
解析:A:变性后黏度下降、浮力密度上升;C:SSB使Tm降低;D:盐离子中和负电,Tm升高。
9. A(T) B(F) C(T) D(T)
解析:B:脂质体可包水溶性(内腔)+脂溶性(膜层)药物。
10. A(T) B(T) C(F) D(T)
解析:C:通道是协助扩散,不消耗ATP。
11. A(T) B(T) C(F) D(T)
解析:C:脂筏是动态结构,可移动、可交换成分。
12. A(F) B(T) C(F) D(F)
解析:A:3Na⁺出、2K⁺进;C:哇巴因抑制钠泵;D:钠泵抑制→动作电位幅度减小。
13. A(F) B(T) C(T) D(T)
解析:A:“肿瘤伪装术”不是病毒感染免疫细胞。
14. A(F) B(F) C(F) D(T)
解析:A:p53易突变;B:p53不是酪氨酸激酶;D:正常p53下降/突变p53过量均致癌。
15. 答案:A
解析:CDK1→G2→M;CDK2→G1→S;CDK4→G1期。
16. A(T) B(T) C(F) D(T)
解析:C:恢复越快→扩散越快。
17. A(T) B(F) C(F) D(F)
解析:B:溶酶体膜脂饱和脂肪酸高,流动性低;C:融合需细胞骨架;D:产物运输有主动运输。
18. A(T) B(T) C(T) D(F)
解析:D:寡霉素抑制F₀;抗霉素抑制复合体Ⅲ。
19. 答案:ABCD
解析:SAM是体内通用甲基供体,四项均需要。
20. A(T) B(F) C(F) D(T)
解析:A:竞争性抑制剂:Vmax不变、Km增大;D:反竞争性:Vmax、Km均减小。
21. A(T) B(T) C(T) D(F)
解析:D:并非所有信号蛋白都进入细胞核。
22. 答案:A(T)
解析:核心:NAD⁺被还原后无法再生,代谢停滞。
23. A(T) B(T) C(F) D(F)
解析:C:Grb2无激酶活性;D:p53是抑癌基因产物,非原癌基因。
24. 答案:AC
解析:B:缩短sgRNA降低特异性;D:NLS不降低脱靶。
25. 答案:AD
解析:Klenow:5’→3’聚合酶 + 3’→5’外切酶;无5’→3’外切酶。
模块二 动植物解剖生理(26–43)
26. A(F) B(T) C(F) D(T)
解析:A:拟分生组织可自我更新;C:SLGC可分化为表皮细胞。
27. A(T) B(F) C(T) D(T)
解析:B:有木栓层不一定有皮孔。
28. 答案:ABC
解析:初生壁:纤维素、半纤维素、果胶;木质素是次生壁成分。
29. 答案:B
解析:合轴分枝:顶芽停止,侧芽交替生长。
30. A(T) B(T) C(F) D(T)
解析:C:木纤维无S3层。
31. A(T) B(T) C(T) D(T)
解析:均为无脊椎/脊椎动物循环系统标准描述。
32. A(T) B(T) C(T) D(F)
解析:D:COP1光照下降解,促进气孔开放。
33. A(T) B(T) C(T) D(T)
解析:盐胁迫呼吸先升后降;病原菌诱导氧化酶;JA抗腐生菌;JA与SA拮抗。
34. A(T) B(F) C(T) D(T)
解析:B:有色体无基粒。
35. A(F) B(F) C(F) D(T)
解析:A:激素无催化作用;D:BBX28/29是BR通路负调控。
36. A(T) B(T) C(T) D(T)
解析:草鱼梳状齿;鲢鱼滤食齿;金鱼臼齿;翘嘴红鲌尖锐齿。
37. 答案:C
解析:半蹼足:趾间基部具蹼。
38. A(F) B(T) C(F) D(T)
解析:A:逃跑应顺纹理;C:C是径向切面。
39. A(T) B(T) C(T) D(F)
解析:D:哺乳类从右到左:无名动脉→左颈总→左锁骨下。
40. A(F) B(T) C(T) D(T)
解析:A:咽颅主要中胚层起源。
41. A(T) B(F) C(T) D(T)
解析:B:凯氏带在径向壁+横向壁。
42. A(T) B(T) C(T) D(T)
解析:根初生结构标准知识点。
43. A(T) B(F) C(T) D(T)
解析:B:环纹/螺纹导管管径小,输水效率低。
模块三 动物行为/生态(44–63)
44. 答案:ABCD
解析:秋季四类食物均被利用。
45. 答案:BC
解析:B:更换鸟卵统一初始条件;C:雌鸟减少卵投资被帮手补偿。
46. 答案:D
解析:雌鸟降低当前投入,提高未来存活与繁殖。
47. 答案:ACD
解析:B:雌果蝇生殖成功率与交配次数无正相关。
48. 答案:CD
解析:A/B:两性生殖利益存在冲突,非完全和谐。
49. A(T) B(F) C(T) D(T)
解析:B:不同物种耐受范围不同。
50. 答案:CD
解析:A:r-对策快速发育、小型、短命;B:K-对策对波动环境适应弱。
51. A(T) B(T) C(F) D(F)
解析:C:小半径易漏稀有种;D:采样数与物种丰富度相关。
52. A(T) B(F) C(T) D(F)
解析:B:沙漠动物髓皮比更高;D:髓皮比受环境影响。
53. A(T) B(T) C(F) D(F)
解析:C:体色由遗传+选择决定;D:雌鸟暗淡降低被捕食风险。
54. 答案:AC
解析:B:r-选择发育快、繁殖高;D:虎/象是K-选择。
55. 答案:B
解析:蜾蠃捕螟蛉作为子代食源,捕食行为。
56. 答案:BCD
解析:A:集群提高被发现概率。
57. 答案:D
解析:种群是物种存在、进化、群落组成的基本单位。
58. A(F) B(F) C(T) D(T)
解析:A:为动态生命表;B:存活曲线Ⅱ型。
59. A(T) B(T) C(T) D(T)
解析:大角保卫、小角偷配;ESS稳定对策。
60. 答案:B
解析:固定动作模式,先天性本能,与学习无关。
61. 答案:B
解析:PBRM1突变型生存率更高,失活增强免疫治疗敏感性。
62. A(T) B(F) C(T) D(T)
解析:B:巴宾斯基征阳性提示锥体束受损。
63. A(T) B(T) C(T) D(T)
解析:眼外肌支配标准考点。
模块四 遗传/进化/系统(64–80)
64. 答案:D
解析:F₂=7:3:1:1 → Ab雌或雄配子致死。
65. 答案:T
解析:近亲婚配显著提高常隐发病风险,Bayes法可精确计算。
66. A(F) B(T) C(T) D(T)
67. A(T) B(F) C(F) D(T)
68. A(T) B(T) C(F) D(F)
69. A(F) B(T) C(T) D(F)
70. A(F) B(T) C(T) D(T)
解析:D:40%孢母细胞交换→重组配子=20%。
71. A(T) B(T) C(F) D(F)
解析:C:基因复制丢失会导致不一致;D:线粒体母系遗传可导致不一致。
72. A(T) B(F) C(F) D(T)
解析:B:SINEs不能自主编码;C:串联重复多态性高,是遗传标记。
73. A(T) B(T) C(F) D(F)
解析:C:减数分裂染色体减半,受精恢复;D:纺锤体受基因调控。
74. 答案:D
解析:父XᵃY→儿子XᴬY;母亲XᴬXᵃ→子代患病1/4;两孩至少1个患病=1–(3/4)²=7/16。
75. 答案:D
解析:组合2 F₁随机交配,F₂灰色=7/16。
76. A(F) B(F) C(F) D(T)
77. 答案:ABD
78. A(T) B(T) C(T) D(F)
解析:D:雄果蝇完全连锁,测交表型比例不同。
79. A(T) B(T) C(F) D(T)
解析:C:平行替代会低估kaa。
80. 答案:B
解析:肺与鱼鳔同源,均来自原肠突出;肺最早出现于两栖类。

|
我用夸克网盘给你分享了「重庆.tar」,点击链接或复制整段内容,打开「夸克APP」即可获取。 /~28c53Y99o3~:/ 链接: https://pan.quark.cn/s/f7a89fbbe6b4 |
夜雨聆风