PID控制原理详解及实例说明

1 PID 控制原理与程序流程
1.1 过程控制的基本概念
过程控制――对生产过程的某一或某些物理参数进行的自动控制。
一、模拟控制系统

图 1-1 基本模拟反馈控制回路
被控量的值由传感器或变送器来检测,这个值与给定值进行比较,得到偏差,模拟调节器依一定控制规律使操作变量变化,以使偏差趋近于零,其输出通过执行器作用于过程。
控制规律用对应的模拟硬件来实现,控制规律的修改需要更换模拟硬件。
二、微机过程控制系统

图 1-2 微机过程控制系统基本框图
以微型计算机作为控制器。控制规律的实现,是通过软件来完成的。改变控制规律,只要改变相应的程序即可。
三、数字控制系统 DDC

图1-3 DDC 系统构成框图
DDC(Direct Digital Congtrol)系统是计算机用于过程控制的最典型的一种系统。微型计算机通过过程输入通道对一个或多个物理量进行检测,并根据确定的控制规律(算法)进行计算,通过输出通道直接去控制执行机构,使各被控量达到预定的要求。由于计算机的决策直接作用于过程,故称为直接数字控制。
DDC 系统也是计算机在工业应用中最普遍的一种形式。
1.2 模拟 PID 调节器
一、模拟 PID 控制系统组成

图 1-4 模拟 PID 控制系统原理框图
二、模拟 PID 调节器的微分方程和传输函数
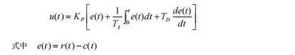
PID 调节器是一种线性调节器,它将给定值 r(t)与实际输出值 c(t)的偏差的比例(P)、积分(I)、微分(D)通过线性组合构成控制量,对控制对象进行控制。
1、PID 调节器的微分方程

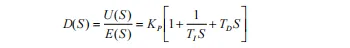
2、PID调节器的传输函数

三、PID 调节器各校正环节的作用
1、比例环节:即时成比例地反应控制系统的偏差信号 e(t),偏差一旦产生,调节器立即产生控制作用以减小偏差。
2、积分环节:主要用于消除静差,提高系统的无差度。积分作用的强弱取决于积分时间常数 TI,TI 越大,积分作用越弱,反之则越强。
3、微分环节:能反应偏差信号的变化趋势(变化速率),并能在偏差信号的值变得太大之前,在系统中引入一个有效的早期修正信号,从而加快系统的动作速度,减小调节时间。
1.3 数字 PID 控制器
一、模拟 PID 控制规律的离散化

二、数字 PID 控制器的差分方程

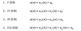
三、常用的控制方式

四、PID 算法的两种类型
1、位置型控制――例如图1-5 调节阀控制

2、增量型控制――例如图 1-6 步进电机控制

图1-6 数字PID增量型控制示意图

1.4 PID 算法的程序流程
一、增量型 PID 算法的程序流程
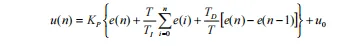
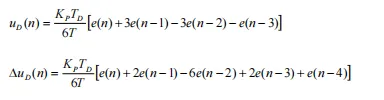
1、 增量型 PID 算法的算式

2、增量型 PID 算法的程序流程――图 1-7(程序清单见教材)

二、位置型 PID 算法的程序流程
1、位置型的递推形式

2、位置型 PID 算法的程序流程――图 1-9
只需在增量型 PID 算法的程序流程基础上增加一次加运算Δu(n)+u(n-1)=u(n)和更新 u(n-1)即可。
三、对控制量的限制
1、控制算法总是受到一定运算字长的限制
2、执行机构的实际位置不允许超过上(或下)极限

2 标准 PID 算法的改进
2.1 微分项的改进
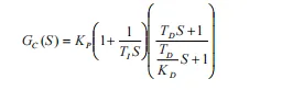
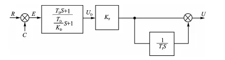
一、不完全微分型 PID 控制算法
1、不完全微分型 PID 算法传递函数


图 2-1 不完全微分型 PID 算法传递函数框图
2、完全微分和不完全微分作用的区别

图 2-2 完全微分和不完全微分作用的区别
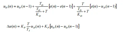
3、不完全微分型 PID 算法的差分方程

4、不完全微分型 PID 算法的程序流程――图 2-3
二、微分先行和输入滤波
1、 微分先行
微分先行是把对偏差的微分改为对被控量的微分,这样,在给定值变化时,不会产生输出的大幅度变化。而且由于被控量一般不会突变,即使给定值已发生改变,被控量也是缓慢变化的,从而不致引起微分项的突变。微分项的输出增量为

2、 输入滤波
输入滤波就是在计算微分项时,不是直接应用当前时刻的误差 e(n),而是采用滤波值 e(n),即用过去和当前四个采样时刻的误差的平均值,再通过加权求和形式近似构成微分项

2.2 积分项的改进
一、抗积分饱和
积分作用虽能消除控制系统的静差,但它也有一个副作用,即会引起积分饱和。在偏差始终存在的情况下,造成积分过量。当偏差方向改变后,需经过一段时间后,输出 u(n)才脱离饱和区。这样就造成调节滞后,使系统出现明显的超调,恶化调节品质。这种由积分项引起的过积分作用称为积分饱和现象。
克服积分饱和的方法:
1、积分限幅法
积分限幅法的基本思想是当积分项输出达到输出限幅值时,即停止积分项的计算,这时积分项的输出取上一时刻的积分值。其算法流程如图 2-4 所示。
2、积分分离法
积分分离法的基本思想是在偏差大时不进行积分,仅当偏差的绝对值小于一预定的门限值ε时才进行积分累积。这样既防止了偏差大时有过大的控制量,也避免了过积分现象。
其算法流程如图 2-5。

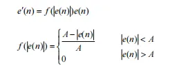
3、变速积分法
变速积分法的基本思想是在偏差较大时积分慢一些,而在偏差较小时积分快一些,以尽快消除静差。即用e(n)代替积分项中的e(n)

式中A为一预定的偏差限。
二、消除积分不灵敏区
1、积分不灵敏区产生的原因

当计算机的运行字长较短,采样周期T也短,而积分时间T₁较长时,△U₁(n))容易出现小于字长的精度而丢数,此积分作用消失,这就称为积分不灵敏区。

2、消除积分不灵敏区的措施:
1)增加 A/D 转换位数,加长运算字长,这样可以提高运算精度。
2)当积分项小于输出精度ε的情况时,把它们 一次次累加起来,即

其程序流程如图 2-6 所示。

3 数字 PID 参数的选择
3.1 采样周期的选择
一、选择采样周期的重要性
采样周期越小,数字模拟越精确,控制效果越接近连续控制。对大多数算法,缩短采样周期可使控制回路性能改善,但采样周期缩短时,频繁的采样必然会占用较多的计算工作时间,同时也会增加计算机的计算负担,而对有些变化缓慢的受控对象无需很高的采样频率即可满意地进行跟踪,过多的采样反而没有多少实际意义。
二、选择采样周期的原则――采样定理

三、选择采样周期应综合考虑的因素
1、给定值的变化频率
加到被控对象上的给定值变化频率越高,采样频率应越高,以使给定值的改变通过采样迅速得到反映,而不致在随动控制中产生大的时延。
2、被控对象的特性
1) 考虑对象变化的缓急,若对象是慢速的热工或化工对象时,T 一般取得较大。在对象变化较快的场合,T 应取得较小。
2) 考虑干扰的情况,从系统抗干扰的性能要求来看,要求采样周期短,使扰动能迅速得到校正。
3、使用的算式和执行机构的类型
1) 采样周期太小,会使积分作用、微分作用不明显。同时,因受微机计算精度的影响,当采样周期小到一定程度时,前后两次采样的差别反映不出来,使调节作用因此而减弱。
2) 执行机构的动作惯性大,采样周期的选择要与之适应,否则执行机构来不及反应数字控制器输出值的变化。
4、控制的回路数
要求控制的回路较多时,相应的采样周期越长,以使每个回路的调节算法都有足够的时间来完成。控制的回路数 n 与采样周期 T 有如下关系:

式中,Tj 是第 j 个回路控制程序的执行时间。
表 3-1 是常用被控量的经验采样周期。实践中,可按表中的数据为基础,通过试验最后确定最合适的采样周期。
3.2 数字 PID 控制的参数选择
一、数字 PID 参数的原则要求和整定方法
1、原则要求:
被控过程是稳定的,能迅速和准确地跟踪给定值的变化,超调量小,在不同干扰下系统输出应能保持在给定值,操作变量不宜过大,在系统与环境参数发生变化时控制应保持稳定。显然,要同时满足上述各项要求是困难的,必须根据具体过程的要求,满足主要方面,并兼顾其它方面。
2、PID 参数整定方法:
理论计算法――依赖被控对象准确的数学模型(一般较难做到)
工程整定法――不依赖被控对象准确的数学模型,直接在控制系统中进行现场整定(简单易行)
二、常用的简易工程整定法
1、扩充临界比例度法――适用于有自平衡特性的被控对象
整定数字调节器参数的步骤是:
(1)选择采样周期为被控对象纯滞后时间的十分之一以下。
(2)去掉积分作用和微分作用,逐渐增大比例度系数Kp直至系统对阶跃输入的响应达到临界振荡状态(稳定边缘),记下此时的临界比例系数Kk及系统的临界振荡周期Tk。
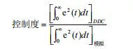
(3)选择控制度。

通常,当控制度为1.05 时。就可以认为DDC与模拟控制效果相当。
(4)根据选定的控制度,查表 3-2 求得T、Kp、Tt、Td
的值。
2、扩充响应曲线法――适用于多容量自平衡系统
参数整定步骤如下:
(1)让系统处于手动操作状态,将被调量调节到给定值附近,并使之稳定下来,然后突然改变给定值,给对象一个阶跃输入信号。
(2)用记录仪表记录被调量在阶跃输入下的整个变化过程曲线,如图 3-1 所示。

(3)在曲线最大斜率处作切线,求得滞后时间t,被控对象时间常数Tt以及它们的比值Tt/t。
(4)由求得的t、Tt及Tt/t查表3-3,即可求得数字调节器的有关参数Kp、Tt、Td及采样周期 T。
3、归一参数整定法

4 数字 PID 控制的工程实现

4.1 给定值和被控量处理
一、给定值处理

图 4-2 给定值处理
1、选择给定值 SV――通过选择软开关 CL/CR 和 CAS/SCC 选择:
内给定状态――给定值由操作员设置
外给定状态――给定值来自外部,通过软开关 CAS/SCC 选择:
串级控制――给定值 SVS 来自主调节模块
SCC 控制――给定值 SVS 来自上位计算机
2、给定值变化率限制――变化率的选取要适中
二、被控量处理

图 4-3 被控量处理
1、被控量超限报警:
当 PV>PH(上限值)时,则上限报警状态(PHA)为“1”;
当 PV<PL(下限值)时,则下限报警状态(PLA)为“1”。
为了不使 PHA/PLA 的状态频率改变,可以设置一定的报警死区(HY)。
2、被控量变化率限制――变化率的选取要适中
4.2 偏差处理

图 4-4 偏差处理
一、计算偏差――根据正/反作用方式(D/R)计算偏差 DV
二、偏差报警――偏差过大时报警 DLA 为“1”
三、输入补偿――根据输入补偿方式 ICM 的四种状态,决定偏差输出 CDV:
四、非线性特性

图 4-5 非线性特性
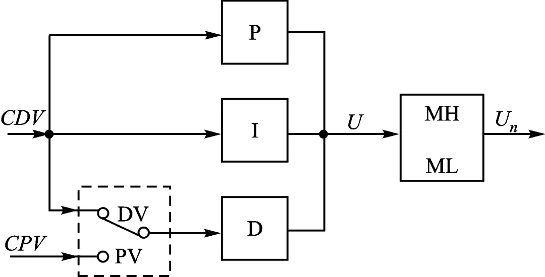
4.3 控制算法的实现

图 4-6 PID 计算
当软开关 DV/PV 切向 DV 位置时,则选用偏差微分方式;
当软开关 DV/PV 切向 PV 位置时,则选用测量(即被控量)微分方式。
4.4 控制量处理

图 4-7 控制量处理
一、输出补偿――根据输出补偿方式 OCM 的四种状态,决定控制量输出UC
二、变化率限制――控制量的变化率 MR 的选取要适中
三、输出保持――――通过选择软开关 FH/NH 选择
当软开关 FH/NH 切向 NH 位置时,输出控制量保持不变;
当软开关 FH/NH 切向 FH 位置时,又恢复正常输出方式。
四、安全输出
当软开关 FS/NS 切向 NS 位置时,现时刻的控制量等于预置的安全输出量 MS;
当软开关 FS/NS 切向 FS 位置时,又恢复正常输出方式。
4.5自动/手动切换
在正常运行时,系统处于自动状态;而在调试阶段或出现故障时,系统处于手动状态。

图 4-8 为自动/手动切换处理框图。
一、软自动/软手动
当软开关 SA/SM 切向 SA 位置时,系统处于正常的自动状态,称为软自动(SA);
当软开关SA/SM切向SM位置时,控制量来自操作键盘或上位计算机,称为软手动(SM)。
一般在调试阶段,采用软手动(SM)方式。
二、控制量限幅――对控制量MV进行上、下限限处理, 使得 MH≤MV≤ML.
三、自动/手动
当开关处于 HA 位置时,控制量 MV 通过 D/A 输出,称为自动状态(HA)状态);
当开关处于 HM 位置时,手动操作器对执行机构进行操作,称为手动状态(HM 状态)。
四、无平衡无扰动切换
1、无平衡无扰切换的要求
在进行手动到自动或自动到手动的切换之前,无须由人工进行手动输出控制信号与自动输出控制信号之间的对位平衡操作,就可以保证切换时不会对执行机构的现有位置产生扰动。
2、无平衡无扰切换的措施。
在手动(SM 或 HM)状态下,应使给定值(CSV)跟踪被控量(CPV),同时也要把历史数据,如 e(n-1)和 e(n-2)清零,还要使 u(n-1)跟踪手动控制量(MV 或 VM)。从输出保持状态或安全输出状态切向正常的自动工作状态时,可采取类似的措施。
特邀你“阅读全文”或“扫码下方二维码”加入【厂务知识库】知识星球,知识星球上万份资料均支持手机查看、下载,快来解锁厂务全技能包!助你薪资翻倍!阅读全文可下载

半导体二次配(特气化、排气、电力) turn on 流程技术
夜雨聆风