挑战:城市中心的“手术刀”式开挖
一个27米深的基坑如同在城市“心脏”进行的手术。基坑西侧距离已建成住宅仅15-30米,地下埋设有重要的城市管道。传统“试错法”在这里完全不可行——任何设计失误都可能导致周边建筑开裂、管道破裂,甚至引发更严重的安全事故。
桩锚支护是这类狭窄场地深基坑的优选方案,但其中涉及锚杆倾角、预应力大小、水平间距、锚固长度等多个关键参数。传统的经验取值往往偏于保守,既增加成本,又未必能达到最优支护效果。如何科学确定这些参数?ABAQUS有限元数值模拟提供了完美的解决方案。

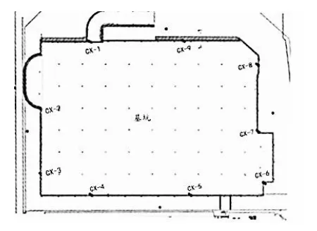
展示基坑在密集城区的具体位置,周边建筑、道路、管线的空间关系一目了然,凸显工程环境的复杂性和高风险性。
方法:构建“地层-支护”数字实验室
研究首先建立了精细的二维有限元模型。模型尺寸为100m×100m,划分了3935个平面应变单元,真实还原了现场的12种不同土层。
模型创新:
材料本构:土体采用能更好模拟土体剪切破坏的 Mohr-Coulomb塑性模型,支护桩和锚杆采用线弹性模型。
接触设置:精确模拟了桩-土之间的复杂相互作用。
生死单元技术:利用ABAQUS的“单元生死”功能,真实还原了基坑分步开挖、锚杆逐道施加的完整施工过程。

展示整个计算模型的网格划分,不同颜色代表不同土层,网格在基坑附近及支护结构处进行了加密,体现模型的精细程度。
验证先行:模拟结果首先与初步设计方案进行对比。结果显示,模拟预测的基坑侧壁最大水平位移为32.04mm,地表最大沉降为14.05mm,坑底最大隆起为31.41mm。所有值均远小于规范限值,且分布规律合理,证明了数值模型和初步设计方案的可靠性。



三张曲线图分别展示初始设计下,基坑侧壁水平位移、地表沉降和坑底隆起随基坑深度的变化曲线,为后续优化提供基准。
核心优化一:锚杆倾角——25°的“黄金角度”
传统设计采用15°倾角。模拟对比了15° 和 25° 两种方案。
水平位移对比:
模拟的水平位移云图清晰显示,25°倾角时,位移等值线分布更“密”,高位移区范围更小。


左右对比极具说服力。左图(15°)的红色/黄色高位移区域更大、更向深处延伸;右图(25°)的高位移区域明显收缩,颜色更偏蓝绿,表示位移值更小。
数据证实:当开挖至15m以下深度时,25°倾角方案的优势急剧放大。在最终工况下,其最大水平位移为26.77mm,比15°方案的31.98mm减小了5.2mm,降幅达16.3%。

两条曲线在浅层几乎重合,在深度大于10m后明显分开,25°曲线始终位于下方,证明其在控制深层土体变形上的优势。
竖向位移对比:25°倾角方案的地表沉降和坑底隆起也分别减少了4.3mm和3.5mm。
结论:对于该场地,将锚杆倾角从15°优化至25°,能更有效地调动深层土体的抗力,形成更优的支护力偶,是控制变形的第一个关键优化。
核心优化二:锚杆预应力——500kN的“主动约束力”
预应力是锚杆主动“拉住”支护桩的关键。研究对比了设计值350kN和优化值500kN。
水平位移云图显示,500kN预应力下,支护桩的整体“弯曲”形态被明显“扳直”,桩身中上部的位移得到极大抑制。


对比可见,350kN时,桩身呈明显的“弓形”弯曲(暖色区域贯穿桩身);500kN时,桩身大部分区域为蓝色,仅下部有较小黄色区域,桩身变形模式从“弯曲”为主变为“平动”为主。
量化效果:500kN预应力下,最大水平位移降至27.05mm,较350kN时减少4.9mm。更重要的是,地表沉降和坑底隆起分别减少了4.1mm和5.4mm,对周边环境的保护效果提升显著。



曲线组显示,增大预应力对控制各项位移,尤其是中浅层位移,效果是全面的。
核心优化三:锚杆水平间距——2.3m的“经济密度”
锚杆并非越密越好。研究在规范允许范围内,将间距从1.5m调整至2.3m。
令人惊喜的发现:适度增大间距,不仅没有削弱支护效果,反而有所改善。这是因为过密的锚杆会产生“群锚效应”,相互干扰,削弱单根锚杆的承载效率。
水平位移云图对比显示,间距2.3m时,位移场分布更为均匀。


两图高位移区形态和数值接近,但2.3m间距的云图在细节上更平滑,无异常突变,说明受力更合理。
数据证明:2.3m间距方案的最大水平位移为25.07mm,反而比1.5m间距的31.98mm降低了6.9mm,降幅高达21.6%!同时,地表沉降减少了4.8mm。


曲线清晰显示,2.3m间距的曲线全程低于1.5m间距曲线,颠覆了“越密越好”的传统认知。
工程价值:此优化在提升支护效果的同时,直接减少了约34%的锚杆数量,经济效益巨大。
核心发现:15m——变形的“临界深度”
通过对所有模拟结果的综合分析,研究揭示了一个关键规律:当基坑开挖深度小于15m时,调整支护参数对变形的影响较小;一旦超过15m,变形对参数变化变得异常敏感,优化参数能产生“事半功倍”的效果。



这组曲线表明,锚固段长度存在最优值,过短或过长都会导致位移增大,且这种非线性效应在深部(>15m)更为明显。
这为动态设计和施工提供了重要指导:在开挖前15m可采用标准参数,之后必须采用优化参数并加强监测。
从虚拟到现实:模拟与监测的毫米级吻合
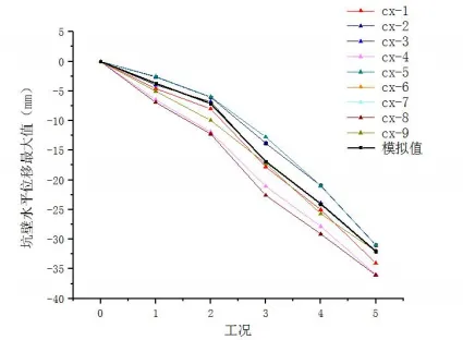
研究将优化后的参数(倾角25°、预应力500kN、间距2.3m)应用于实际工程,并布置了9个监测点进行验证。

展示现场监测点的实际位置,体现研究的实践性。
监测数据与优化后的模拟结果高度吻合。例如,最大水平位移监测值为35.94mm,模拟预测值约为34mm;最大地表沉降监测值为15.99mm,模拟值约为14mm。误差在工程允许范围内,且变化趋势完全一致。


将多个监测点的实测数据曲线与模拟曲线绘制在同一张图上,两者高度重叠,强有力地证明了数值模拟的准确性和优化方案的有效性。
结论:数值模拟驱动基坑智能设计
这项研究完整展示了ABAQUS有限元数值模拟在复杂深基坑工程中的强大能力:
机理透视:可视化揭示了基坑土体与桩锚结构相互作用的微观机理。
参数优化:通过系统的参数化分析,找到了倾角25°、预应力500kN、水平间距2.3m的最优组合,在保证安全的前提下,预计可节约大量工程造价。
规律发现:明确了15m是该基坑变形的敏感性临界深度,为类似工程提供了重要的设计阈值。
风险预控:在施工前完成“数字预演”,提前发现潜在问题,将传统的事后补救转变为事前精准控制。
这项研究将数值模拟从“辅助工具”提升为“决策核心”。它标志着岩土工程的设计,正从依赖经验的“模糊艺术”,走向基于数据和仿真的“精准科学”,为在复杂城市环境中安全、经济、高效地开发地下空间,提供了可靠的技术范式。
【注意!!!】

有需要岩土 材料 的都可以联系我,主要是代做和会议指导,不卖案列,专业在线,欢迎咨询,不怕打扰
版权说明:本文基于公开文献整理,图片 数据来源于原文,仅供学术交流
夜雨聆风