与本文相关的定制开发需求可以联系我们:
QQ:2440864277;微信:jingjieyouxianyuan;
淘宝同名:静界有限元
京东购物:静界FEM工作室
往期相关:
关键词:壳单元,复合材料,有限元,渐进失效,失效分布,开孔板,强度准则
我自研的复合材料壳有限元软件第一个版本的目标,就是可以实现单零件复合材料结构渐进失效模拟,从而获取到模量、强度、失效载荷、失效分布的数据。如此才能保证这个软件具备一定的实用性。
从2025年1月开始进行理论推导,到后来软件搭建,再到现在完成这个目标刚好一年的时间。从读研究生开始,我做项目就有个习惯,就是会把项目相关核心的内容、大致方法、实现过程等等都记录在笔记本上,便于后续进行问题定位与复盘。

2025年1月针对启动理论推导

2025年5月,五七空战画着玩
这些年我负责开发的工业软件不少,对于大部分的复杂工业软件项目来说,正常半年左右可以跑通初步流程,一年左右具备可交付性。如果客户真的在使用这个软件,经过实际应用打磨个大半年就已经很好用了。
可惜的是,我做的很多软件都是课题交差,在国外工业软件仍然占据主导地位的当下,很少有企业或者单位真的会在自研软件上投入精力和经费。在没有实际应用场景打磨的情况下,一年左右开发的软件一旦交差后,就被束之高阁,再无人问津,更没有完善和持续升级的未来。
站在30多岁的当下,我感觉到自己未来能头脑清醒,具备充足的精力和热情在第一线搞复杂工业软件的时间,可能也就10多年。前面10年都花在求学、就业、成家、项目历练、业务历练上。
时间不等人,希望能坚持把这个软件开发下去,更希望有人能真正把它用起来,不断升级完善。
在前面文章介绍的基础上,我最近做了如下工作,完成了一个里程碑目标。
渐进失效的复合材料壳求解器
为了实现渐进失效模拟,之前开发的求解器就需要具备分级加载的功能,将线性求解器,转换为非线性有限元求解器。
ABAQUS软件在Step定义的时候,就是将一个分析步,分为若干个增量步,相应的载荷(或者位移)也会分成多级,逐步加载到结构上。
渐进失效模拟的思路是:在每一级加载后,可以把应力或者应变代入失效准则,从而判断单元是否失效,如果单元失效,我们将这个单元的性能做折减。随着失效单元的数量变多,结构失去承载能力。
对于复合材料来说,这个过程会更复杂。因为每个单元代表了很多铺层,需要逐层进行失效判断和性能折减。
在传统有限元方法中,上述过程可以通过“增量法”或者“迭代法”来实现。渐进失效模拟思路更接近增量法,这也是我们自研软件的思路。

增量法
迭代法则是根据总载荷,通过预设初值,反复迭代,得到能使方程平衡的位移分布。

迭代法
然而,简单的增量法会遇到一个致命的问题,就是如果每次施加载荷(或者位移)增量,然后计算应力等增量。那么即便发生失效,结构的应力是只增不减的,这明显不符合常理。
为了解决这个问题,ABAQUS的思路是一种增量和迭代结合的方法。它把加载过程设计成增量,把求解过程设计成迭代方法。根据每一步的刚度矩阵和应力,修正当前位移分布。这也是为什么,ABAQUS UMAT子程序必须要求返回应力的原因,用算出的新应力组装内力向量,然后做全局的牛顿迭代。这也是为什么静力不收敛的原因所在,就是如果应力和刚度矩阵过分不匹配,就无法迭代出符合精度的位移。


ABAQUS思路
我们当前的自研软件做了个取巧,没有去开发复杂的迭代算法。而是在增量过程中,基于全量思想的调整内力、反力、应力。从保密角度,这里就不展开了。
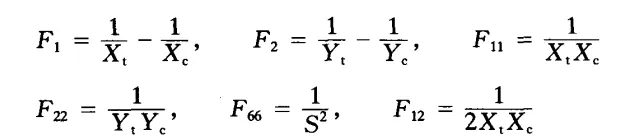
失效准则与处理
内置了“蔡吴准则”进行每个单元每一层的失效判断:


F12 = -0.5 * np.sqrt(F11 * F22)
失效的层,其弹性模量参数乘以一个小值进行折减,同时该层标记失效变量为1,未失效的默认为0,便于渲染和标识。

失效单元标记和渲染
结果提取
我们在做强度分析的时候,经常采用位移控制加载的方法。这时,为了得到加载载荷,需要把反力提取出来。为此,我设计了一个专门的结果提取弹窗,可以针对预设的节点集进行位移、应力、反力等变量的提取和运算(最大值、最小值、平均值、求和)。

案例验证
案例:
考虑一个开孔板,孔直径6mm,宽度36mm,厚度2.5mm,长度300mm。考虑到试验机的加持作用,实际建模长度取250mmm。


铺层共计20层,具体为:。

材料参数为:


分析步数设置为:20。

边界条件设置:一端固支,一段施加总位移3.5mm。

试验数据来源:参考文献
谢宗蕻,李想,郭家平,等.各向异性复合材料开孔板拉伸强度预测及模型验证[J].复合材料学报,2016,33(06):1242-1250.DOI:10.13801/j.cnki.fhclxb.20160315.009.
载荷曲线结果:
试验与仿真载荷曲线如下,峰值载荷都是50kN左右,最大位移3mm左右。仿真与试验结果完全吻合!

试验结果

仿真载荷曲线
表层渐进失效过程:
截取表层的失效分布结果,可以看出失效区域集中在开孔附近,表层失效区域与x轴呈现约45度角,与试验结果一致。表层单元失效渐进扩展过程如下:




表层渐进失效过程

试验结果
通过上述案例可以看出,自研的复合材料壳软件,强度、变形仿真精度良好,失效分布预测准确!
后续工作
下一步将开展大量测试,消除各种交互bug,以达到第一个版本的定型状态。
01
学术道德规范
我方仅提供技术方面的实现与咨询服务,不涉及具体论文、专利等知识产权方面的工作。
02
不涉密承诺
我方不承接涉密技术服务。
工作室面向在校学生、科研院所老师提供结构有限元仿真(含二次开发)、流体力学仿真、算法开发、软件开发服务。
QQ:2440864277;
微信:jingjieyouxianyuan;
淘宝同名:静界有限元
京东购物:静界FEM工作室


微信 QQ
2
0
2
6
点关注 不迷路
夜雨聆风