
张慧,张雪梅,陈志光,秦朝葵
(同济大学 机械与能源工程学院,上海 201804)
摘要:分析了埋地天然气管道的水力特性、热力特性,介绍了利用BWRS方程求解天然气物性参数的方法。利用MATLAB App Designer模块开发埋地天然气管道物性参数分析软件(简称本软件),功能包括天然气物性参数计算、沿管长方向压力和温度计算。利用本软件对低压、中压、次高压3个天然气管道示例进行计算,得到了沿管长方向的天然气压力、温度及物性参数。为验证本软件的准确性,利用Pipeline Studio软件进行稳态模拟,将本软件计算结果与Pipeline Studio软件稳态模拟结果进行对比。本软件计算结果与Pipeline Studio软件稳态模拟结果基本吻合,本软件具有较高的准确性。
关键词:天然气管网模拟;物性参数;BWRS状态方程;MATLAB App Designer模块
参考文献示例:
张慧,张雪梅,陈志光,等. 埋地天然气管道物性参数分析软件设计[J]. 煤气与热力,2025,45(4):B01-B07.

1 概述
埋地管道中的天然气在流动过程中,由于受到沿程阻力、局部阻力、浮升力等因素的影响,其压力会不断地发生变化,流动过程中天然气通过管壁与周围土壤进行热交换其温度也不断地发生变化,天然气温度和压力发生变化导致其物性参数也随之变化。天然气流动过程中的压力变化、温度变化以及物性参数的计算繁琐且相互影响,利用MATLAB App Designer模块开发埋地天然气管道物性参数分析软件(简称软件),可提高计算效率与准确性。
2 埋地天然气管道特性分析
2.1 水力特性
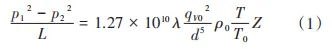
天然气流动的状态参数包括压力、密度、流速,可用运动方程、连续性方程、状态方程进行求解,对方程组进行简化可得到高中压天然气管道计算公式,见下式[1]。

式中p1——管道起点天然气的绝对压力,kPa
p2——管道终点天然气的绝对压力,kPa
L——管道的计算长度,km
λ——管道的摩擦阻力系数
qV0——管道的标准状态下计算流量,m3/h
d——管道内直径,mm
ρ0——0 ℃、101.325 kPa时天然气的密度,kg/m3
T——天然气的热力学温度,K
T0——标准状态的温度,K,为273.15 K
Z——压缩因子
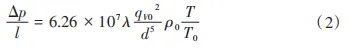
低压天然气管道计算公式见下式[1]。

式中Δp——天然气管道的压力损失,Pa
l——管道的计算长度,m
2.2 热力特性
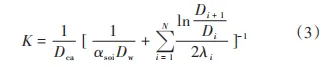
天然气与周围环境存在温差,天然气在管道中流动时不断与外界产生热交换[2],由于天然气与管道内壁的热阻较小,忽略天然气与管道内壁的热阻。此过程的总传热系数见下式[3]:

式中K——总传热系数,W/(m2·K)
Dca——管道的计算直径,无保温层的埋地天然气管道取防腐层外直径,m
αsoi——管道外壁与土壤的表面传热系数,W/(m2·K)
Dw——管道最外层直径,m
N——管道内壁与土壤间的管道层数,本文管道层数从管道内壁开始计算
Di——管道第i层内直径,m
Di+1——管道第i+1层内直径,m
λi——管道第i层的热导率,W/(m·K)
当i=N时,Di+1取第N层的外直径。


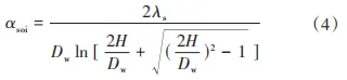
式中λs——土壤热导率,W/(m·K)
H——管中心埋深,m
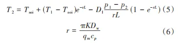
计算段的终点温度计算见下式:

式中T2——管道终点天然气温度,K
Tsoi——管道周围土壤温度,K
T1——管道起点天然气温度,K
r——中间变量
DI——焦耳-汤姆孙系数,℃/MPa,取3 ℃/MPa
qm——天然气的质量流量,kg/s
cp——天然气比定压热容,J/(kg·K)
3 BWRS状态方程
常用的天然气物性参数计算气体状态方程有Sarem状态方程、RK状态方程、SRK状态方程、PR状态方程、BWRS状态方程,天然气管网分析时BWRS状态方程是最佳选择[4-5]。
3.1 BWRS状态方程的形式
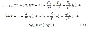
BWRS状态方程是1970年Starling和Han在BWR方程的基础上提出的具有11个参数的气体状态方程,其在很大的压力和温度范围内、在相变区或相变区附近、较多非碳氢化合物气体存在的情况下都具有很高的精确度,BWRS状态方程见下式[6]:

式中p——天然气绝对压力,kPa
ρm——天然气物质的量密度,kmol/m3
R——摩尔气体常数,kJ/(kmol·K),取8.314 kJ/(kmol·K)
T——天然气热力学温度,K
A0、B0、C0、D0、E0、a、b、c、d、α、γ为BWRS状态方程的11个中间参数,对于多组分气体,需先计算出纯组分的各个参数,再根据混合法则计算混合气体的各个参数[6]。
3.2 物性参数求解
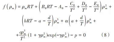
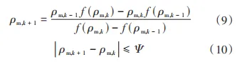
利用BWRS状态方程可以计算多组分气体的物性参数。下面主要介绍求解物质的量密度ρm、压缩因子Z、比焓h的计算方法。根据计算出的BWRS状态方程参数、天然气压力、温度与组分可计算该状态下的天然气物质的量密度,将BRWS状态方程改写,见下式:

式中f(ρm)——物质的量密度的函数



压缩因子Z的计算式为:

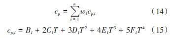
单一组分气体比焓hi计算式为:

式中hi——单一组分气体的比焓,kJ/kg
Ai、Bi、Ci、Di、Ei、Fi——组分i常数
混合气体比焓的计算式为:

式中h——混合气体比焓,kJ/kg
n——混合气体的组分数量
wi——混合气体中组分i的质量分数
混合气体的比定压热容的计算式为:

式中cp——混合气体的比定压热容,kJ/(kg·K)
cp,i——混合气体中组分i的比定压热容,kJ/(kg·K)
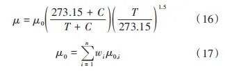
实际混合气体的黏度计算式为:

式中μ——温度为T时混合气体的黏度,Pa·s
μ0——0 ℃、101.325 kPa时混合气体的黏度,Pa·s
C——无因次系数
μ0,i——0℃、101.325 kPa时组分i的黏度,Pa·s
4 软件平台实现
4.1 MATLAB App Designer简介
MATLAB App Designer是的GUIDE的替代产品,不要求用户具有软件开发专业背景,其理念为拖放式编程[7]。App Designer界面主要分为4个部分,分别是组件库、设计/代码视图、组件浏览器、组件属性,用户根据需求拖动相应的可视化组件布局图形用户界面(GUI),跳转至代码视图进行相应的逻辑编写即可。软件设计完成后还可以将MATLAB App打包成单个文件,便于共享给其他用户[8]。
4.2 开发设计
软件主要包括3部分,分别为基础参数设置、天然气物性参数计算以及计算结果查看,各个界面均由可视化组件与回调函数组成。回调函数是一个响应用户操作的函数,当用户与软件中的某个组件(如按钮、滑块、表格)进行交互时,回调函数被自动触发,并执行相应的代码逻辑。可视化组件主要包括按钮、表、编辑字段、坐标轴等。
基础参数设置界面(软件截图)见图1,基础参数设置界面简称界面1。基础参数设置包括气体组分设置和管道基本信息设置。用户录入上述信息后,点击相应按钮即可运行相应回调函数。界面1可根据录入的天然气组分进行物性分析,计算结果会直接反馈至本界面相应数值字段显示。计算结果查看界面(软件截图)见图2,用户可在此界面查看相应的计算结果并以Excel表格的形式保存至文件夹内。

图1 基础参数设置界面(软件截图)

图2 计算结果查看界面(软件截图)
在界面1的右下方的两个按钮分别设置了回调函数Calculate和回调函数Skip。回调函数Calculate是本软件的核心,该函数可完成天然气物性参数、压力场、温度场的计算,并将计算结果存储至对应矩阵内。该函数主体由定义变量矩阵、定义循环计算主体、更新迭代数据、数据存储4部分构成。
回调函数Calculate计算流程见图3。软件主要包括3部分,第1部分为基础参数设置,要求用户输入基础参数,包括天然气组成、管道长度、管道埋深、管道内直径、管道壁厚、管材、管道起点的天然气压力、管道起点的天然气流量、管道起点的天然气温度、土壤温度等参数。第2部分为天然气物性参数计算,对给定的天然气组成进行物性分析,在一定步长下进行水力计算、温度场计算与BWRS方程运算,迭代计算直至管道末端时停止。第3部分为查看计算结果,计算结果将自动输出到对应路径文件夹下的Excel表格内,用户可以在软件内自行定义自变量与因变量,便于观察变化趋势。

图3 回调函数Calculate计算流程
5 软件计算示例与验证
大气压力取101.325 kPa,天然气组成见表1。
表1 天然气组成

5.1 低压管道软件计算示例
以中、低压管道为例,计算前参数设置(软件截图)见图4。管道计算长度为120 m(不考虑管道的局部阻力,取管道实际长度),管中心埋深为0.9 m,低压天然气钢管规格为D60×7,管道起点天然气压力为7 kPa,天然气流量为50 m3/h,管道起点供气温度为20 ℃,周围土壤温度为4 ℃。计算步长设定为10 m。低压管道计算结果界面(软件截图)见图5。低压管道天然气压力温度计算结果见表2,低压管道天然气物性参数计算结果见表3。

图4 计算前参数设置(软件截图)

图5 低压管道计算结果界面(软件截图)
表2 低压管道天然气压力温度计算结果

表3 低压管道天然气物性参数计算结果

5.2 中压管道软件计算示例
管道计算长度为10 km,管中心埋深为1.2 m,中压天然气钢管规格为D219×7,管道起点天然气压力为150 kPa,天然气流量为1 500 m3/h,管道起点供气温度为20 ℃,周围土壤温度为4 ℃,计算步长设定为100 m。计算结果见图6。

图6 中压管道计算结果界面(软件截图)
5.3 次高压管道软件计算示例
管道计算长度为15 km,管中心埋深为1.5 m,次高压天然气钢管规格为D326×7,管道起点天然气压力为500 kPa,天然气流量为3 000 m3/h,管道起点供气温度为15 ℃,周围土壤温度为4 ℃,计算步长设定为100 m。次高压管道计算结果界面(软件截图)见图7。

图7 次高压管道计算结果界面(软件截图)
5.4 Pipeline Studio软件模拟验证
为验证软件的准确性,在Pipeline Studio软件内设置与低、中、次高压管道示例同样的天然气组成、管道参数、埋深等基础参数信息,进行稳态模拟。将软件计算结果与Pipeline Studio软件计算结果进行对比,计算结果对比见图8。低压管道软件计算天然气压力与Pipeline Studio软件模拟天然气压力的最大偏离值为0.06 kPa,温度的最大偏离值为0.22 K。中压管道软件计算天然气压力与Pipeline Studio软件模拟天然气压力的最大偏离值为4.12 kPa,温度的最大偏离值为0.4 K。次高压管道软件计算天然气压力与Pipeline Studio软件模拟天然气压力结果的最大偏离值为2.76 kPa,温度的最大偏离值为3.4 K。

图8 计算结果对比
6 结论
① 分析了埋地天然气管道的水力特性、热力特性,介绍了利用BWRS方程求解天然气物性参数的方法。
② 利用MATLAB App Designer模块开发埋地天然气管道物性参数分析软件(简称本软件),功能包括天然气物性参数计算、沿管长方向压力和温度计算。
③ 利用本软件对低压、中压、次高压3个天然气管道示例进行计算,得到了沿管长方向的天然气压力、温度及物性参数。
③ 为验证本软件的准确性,利用Pipeline Studio软件进行稳态模拟,将本软件计算结果与Pipeline Studio软件稳态模拟结果进行对比。本软件计算结果与Pipeline Studio软件稳态模拟结果基本吻合,本软件具有较高的准确性。
参考文献:
[1] 段常贵. 燃气输配[M]. 5版. 北京:中国建筑工业出版社,2015:89.
[2] 朱彤,严磊,吴家正,等. 燃气管道温度场的分析与计算[J]. 煤气与热力,2004(1):5-8.
[3] 李胜国,钱迪,赵欣,等. 冬供期埋地燃气管道温度变化规律及水合物生成区域识别[J]. 城市燃气, 2020(5):12-17.
[4] 吴玉国,陈保东. BWRS方程在天然气物性计算中的应用[J]. 油气储运,2003(10):16-21.
[5] 杨广峰,杨帆,杨霆浩,等. 五种状态方程对饱和气液相密度的预测[J]. 油气田地面工程,2018(8):9-12.
[6] STARLING K E, HAN M S. Thermo Data Refined for LPG (Part 14: Mixture)[J], Hydrocarbon Processing, 1972(5):129-132.
[7] 韦超毅,许哲,黄大明,等. 基于MATLAB App Designer的电动汽车动力参数匹配[J]. 汽车实用技术, 2020(15):4-7.
[8] 郭向红,马娟娟,肖娟,等. 基于MATLAB App Designer的非饱和土壤入渗数值仿真实验研究[J]. 山西水利科技,2021(1):7-9.
(本文责任编辑:马艳)



声明:本文著作权(版权)归《煤气与热力》杂志社所有,严禁任何微信号及媒体未经授权许可随意转载。PS: 当然欢迎大家转发到朋友圈!
更多论文请登录煤气与热力杂志官方网站,免费注册会员阅读电子期刊。阅读步骤:登录http://www.gasheat.cn/→页面右上角注册会员→注册成功后点击《煤气与热力》→期刊索引→点击某期期刊封面即可阅读当期文章。
夜雨聆风