当AI学会沉默地思考:Ouro如何用循环推理重塑大语言模型的认知边界
一条咬住自己尾巴的蛇,一座永不停止运转的齿轮,一组反复执行同一道工序的Transformer层。这三个看似风马牛不相及的意象,在2025年被一组来自字节跳动和加州大学圣克鲁兹分校的研究者缝合在了一起。他们把模型命名为Ouro,源自古老的衔尾蛇图腾。这篇万字长文,带你从零开始理解这项可能改变大模型推理范式的工作。
本文将从四个维度展开:首先剖析当今大模型推理范式的根本困境,然后深入拆解Ouro的核心技术机制,接着走进训练场见证实验结果,最后从知识论和安全性的视角解读其深层意义。无论你是AI领域的研究者、工程师,还是对前沿技术充满好奇的读者,都希望这篇文章能为你带来新的思考。
一、引子:为什么AI被迫"大声思考"
想象一个场景:你正在参加数学竞赛,面前摆着一道复杂的三重积分题。规则却很离奇,你必须在草稿纸上写下每一个念头、每一次试错、每一步心算,而且所有人都能看到。你不能默默在脑海中推演,必须把大脑运转的全过程用语言表达出来。
听起来很荒谬,对吧?但这恰恰是当今大语言模型面对推理任务时的真实处境。
自从思维链(Chain-of-Thought, CoT)技术横空出世,AI界的推理范式就被锁定在了一条"说出来才算数"的路径上。模型每一步推理都必须化为具体的文字token,逐字逐句地输出中间过程,才能抵达最终答案。这种方法确实带来了巨大的突破,让GPT、Claude等模型在数学、逻辑和编程任务上展现出惊人能力。然而,一个根本性的问题始终悬而未决:真正的思考,真的需要把每个念头都说出口吗?
人类显然不是这样运作的。面对一道9乘13的心算题,你不会默念"九乘以十三,先算九乘十等于九十,再算九乘三等于二十七,九十加二十七等于一百一十七"。你的大脑会在瞬息之间完成运算,那个过程是隐性的、高效的、无声的。这种在"隐空间"中完成的快速推理,恰恰是当前LLM所缺失的能力。
更深层的问题在于,CoT将推理能力推迟到了后训练阶段(post-training),意味着模型在海量预训练数据中吸收知识时,并没有同步学会如何"运用"这些知识进行深层推理。这就好比一个学生背下了整本教科书,却从未被要求在课堂上解题,直到考试前才开始突击练习解题技巧。知识是知识的积累,推理是推理的训练,两者被人为割裂了。
这便是当前LLM推理的核心困境:模型被训练成一个"只会大声思考"的机器,推理效率受限于文本生成速度,推理深度受限于输出token数量,推理能力受限于后训练阶段有限的数据和算力。我们需要一种全新的范式,让模型在预训练阶段就内化推理能力,在隐空间中自由地、反复地、自适应地"沉思"。

二、衔尾蛇的低语:Ouro的命名与哲学
2025年,研究团队(其中包括深度学习先驱Yoshua Bengio)提出了一个引人注目的方案。他们给模型起了一个意味深长的名字:Ouro,源自古老的"衔尾蛇"(Ouroboros)意象。
衔尾蛇,这条首尾相连、自我吞噬又自我诞生的蛇,是人类历史上最悠久的符号之一。它出现在古埃及的壁画中,出现在古希腊的炼金术手稿里,出现在北欧神话的世界之蛇耶梦加得身上。这个符号象征着循环、永恒、自我更新和无限的回归。
用这个符号来命名一个语言模型,绝非偶然的审美选择。Ouro的核心机制正是"循环":不是简单地堆叠更多Transformer层让模型变得更深,而是让同一组Transformer层反复执行,在隐空间中一遍又一遍地打磨和优化自己的"思考"。就像衔尾蛇不断吞噬自己的尾巴又不断重生一样,Ouro在每一次循环中重新审视、重新加工、重新塑造自己的隐层表示。
这个比喻的精妙之处在于:衔尾蛇是一个"有限"的生物,身体长度固定,但通过首尾相连获得了"无限"的意味。Ouro同样如此:模型的参数量有限(目前开源了1.4B和2.6B两个规模),但通过循环机制,可以获得理论上无限的推理深度。这不是靠蛮力堆参数换取智能,而是靠巧妙的结构设计释放已有的智能潜力。
更令人兴奋的是,衔尾蛇是一个自我指涉(self-referential)的符号,蕴含着递归和反馈的哲学意味。这也正是Ouro循环机制的本质特征:上一轮循环的输出成为下一轮循环的输入,模型在自我反馈中不断精进,直到抵达满意的答案。这种自我指涉的迭代过程,在数学和计算机科学中早已被证明是一种极其强大的计算范式,从冯·诺依曼的细胞自动机到哥德尔不完备定理的自指构造,无一不在印证这一点。

三、CoT推理的四大局限
要真正理解Ouro的价值,需要深入剖析当前CoT推理范式的几大局限。
第一,推理效率的天花板。 模型每一步推理都必须显式生成文本,推理速度被牢牢绑定在token生成速度上。大量计算消耗在"表达推理过程"上,而非"执行推理本身"上。这就像要求数学家把每一步心算都写成完整句子,而非直接在脑海中运算。
第二,推理深度的限制。 CoT的推理深度直接受限于输出序列的最大长度。一旦问题复杂到需要更多中间步骤,模型就被迫截断思考过程。而且显式输出每一步会带来巨大的计算开销,实践中很难单纯通过增加CoT长度来提升推理能力。
第三,预训练与推理的脱节。 这可能是最根本的问题。当前主流LLM分为两个训练阶段:预训练阶段从海量文本中学习知识和语言模式,后训练阶段才专门训练推理能力。推理能力的提升严重依赖后训练阶段的数据质量,而预训练阶段积累的海量知识中蕴含的推理模式,在很大程度上被浪费了。
第四,语言表达的"信息瓶颈"。 人类很多推理过程难以用语言精确描述。我们有直觉、有模糊的联想、有难以言传的"感觉"。要求模型将所有推理都转化为线性文本序列,实际上是在强加一个信息瓶颈。语言是离散的、线性的、显式的,而推理可以是连续的、并行的、隐式的。强制将后者映射到前者的过程中,不可避免地会丢失信息。
这四大局限并非孤立存在,而是相互纠缠、彼此加剧。推理效率的天花板限制了实际可用的推理深度,推理深度不足又迫使模型依赖更多的后训练数据来弥补,而后训练数据的有限性又进一步制约了推理能力的上限。这就形成了一个恶性循环:模型被锁定在一个"浅层推理"的局部最优中,难以突破。Ouro的循环推理范式,正是要同时打破这个恶性循环的多个环节。
四、LoopLM核心机制:不是更深,而是反复
面对上述挑战,Ouro提出了一条截然不同的道路。其核心架构叫做循环语言模型(Looped Language Model, LoopLM)。接下来这一部分技术密度较高,但别担心,我会尽量用生活中的类比帮你越过抽象的门槛。
4.1 循环结构的设计思想
传统大语言模型的做法是搭建一条超长的"思维流水线",每一层Transformer就像一个工位,信息从第1层传到第32层、第64层甚至第128层,每个工位只对信息做一次处理。想增强推理能力?那就加更多层,也就是把流水线修得更长。但这带来一个尴尬的问题:层数越多,参数量越大,训练和推理成本越高。
Ouro提出了大胆的思路:与其把流水线修到无限长,不如让一条短流水线跑很多遍。
用更技术的语言来说,Ouro并没有不断增加Transformer的层数,而是让同一组Transformer层循环执行多次。这就像一个学生反复审题:第一遍大致理解题意,第二遍发现隐含条件,第三遍建立变量关系,最终在脑海中完成推理,整个过程一句话都没有说出口。每次循环不是简单的重复,而是在前一次的基础上进一步提炼和深化理解。传统流水线中信息只流经每个工位一次,而Ouro让信息反复流经同一组工位,每一次都从不同角度审视和加工,逐步逼近最优的内部表示。
这个设计的灵感可以追溯到Universal Transformer,它同样采用了共享参数的循环结构。但Ouro将这一思想发扬光大,并在7.7T tokens的预训练规模上验证了其可行性。循环结构带来的直接好处是参数效率极高:传统模型有N层就需要N份参数,而LoopLM只需要一份共享参数,通过反复执行达到更深的计算效果。更少的参数、更深的等效计算、灵活的计算深度,这也是为什么Ouro 1.4B和2.6B能和12B参数的模型掰手腕。

4.2 隐空间迭代计算
在LoopLM中,"隐空间"(latent space)是指模型内部那些不直接对应任何输出token的连续向量表示。你可以把它想象成模型的"内心独白空间":在这里,模型可以用一种连续的、高维的内部语言来"思考",不需要把每一步推理都翻译成人类可读的文字。
隐空间推理相对显式CoT有两大优势。其一,效率高。 每生成一个中间token都需要一次完整前向传播,而隐空间迭代无需生成任何中间文字。其二,表达能力强。 隐空间不受离散token的约束,可以用任意连续向量表示"思考状态",捕捉那些模糊的、直觉性的推理过程。
在每一次循环中,共享的Transformer层会对当前隐状态进行一次更新。第一次循环可能只是粗浅地识别关键词,第二次开始建立概念间的联系,第三次可能发现更深层的逻辑结构。有趣的是,这个过程与人类的认知过程有微妙的对应:我们面对一道难题时,第一反应往往是"抓住几个关键词",随后开始联想这些关键词之间的关系,最后才可能看穿问题的深层结构。LoopLM在隐空间中经历的不是机械的重复,而是一种逐步深化的"理解梯度"。每次循环结束后,模型还会做一个重要判断:这个问题我需要继续"想"下去吗?这就引出了Ouro最精巧的设计。
4.3 熵正则化:教模型"知道什么时候该停"
如果让LoopLM对每个输入都循环固定次数,虽然简单,但会带来巨大的计算浪费。"1+1=?"这种问题也许循环1次就够了,而一道复杂的逻辑推理题可能需要循环20次。
为实现自适应深度分配,模型在每次循环输出处引入了一个停止概率(halting probability)。模型在每一步都会评估"我已经想好了吗?",产出一个0到1之间的概率值。最终的计算深度通过加权求和确定:模型把每一步的隐状态按照停止概率进行加权平均,得到最终输出表示。
光有停止概率还不够。Ouro引入了熵正则化(Entropy Regularization)来鼓励模型合理分配概率。核心思想非常直觉:如果停止概率分布太"模糊"(每一步以差不多概率停止),熵值就高;如果模型果断在某一步集中概率,熵值就低。通过在目标函数中加入熵正则化项,Ouro鼓励模型做出更明确的停止决策。总损失包含两部分:标准语言建模损失确保输出准确,熵正则化损失鼓励清晰判断"在哪里停止"。这种设计使模型在训练中自然学会了"简单问题少循环,复杂问题多循环"的策略,无需人工设定任何规则。打个比方,这就像训练一个厨师判断一道菜是否烹饪到位:新手厨师总是反复查看(高熵,犹豫不决),而经验丰富的大厨只需看一眼色泽、闻一下香气就能果断判断(低熵,决策清晰)。熵正则化的作用,就是帮助模型从"新手"成长为"大厨"。

4.4 逐Token的"思考时间"
值得注意的是,Ouro的深度分配是逐token进行的。即使在同一个句子中,不同token也可以有不同循环次数。考虑"请计算23乘以47的结果"这句话,"请"、"的"、"结果"等常见词汇可能只需要很少循环次数;而"23"、"乘以"、"47"这些承载计算逻辑的关键token则需要更多循环来充分理解语义。这种差异化的计算分配与人类阅读时的注意力模式惊人地相似:我们读到数字和运算符时会自然放慢速度、反复审视,而跳过功能性的虚词时则几乎不假思索。
这种机制带来一个意外好处:整体推理效率的提升。因为大部分简单token只需少量循环,只有在遇到真正需要深度推理的内容时,模型才启动更多轮循环。从全局看,平均每个token的计算量远低于固定深度模型。
也许Ouro最令人兴奋的设计是:推理能力在预训练阶段就被培养出来。传统的CoT方法将推理推迟到后训练阶段,而Ouro将推理直接融入预训练过程。在处理海量预训练数据时,模型就在不断练习如何在隐空间中进行多步推理。这意味着7.7T tokens的预训练数据不仅是让模型"记住知识",更是在让模型"练习思考"。
现在,让我们把四个机制串起来,完整看一遍LoopLM如何处理一个输入:文本先经过Embedding层,然后进入共享Transformer层进行第1次循环并计算停止概率,接着第2次、第3次……直到达到最大循环次数或满足停止条件,最后按停止概率对各步隐状态加权求和,输出层生成最终预测。共享参数多次复用带来参数效率,隐空间静默推理无需中间token,熵正则化确保果断决策,逐token自适应深度实现灵活分配。四个机制环环相扣,构成了一个优雅的系统。
五、7.7T Tokens淬炼:训练与实验
机制再精妙,终究要靠实验来说话。一个理论想法从白板走向现实,中间隔着海量数据、日夜不歇的GPU集群,以及无数工程细节的打磨。接下来,让我们走进Ouro的训练场和实验室,看看这条衔尾蛇是如何在7.7万亿个token的淬炼下,以不到30亿参数的身板,硬刚120亿参数量级的顶级选手的。

5.1 预训练规模的意义
先说最直观的数字:7.7万亿个token。这个规模意味着什么?假设一个人一辈子不间断阅读,每天读书24小时不眠不休,一辈子的阅读量大约也就几十亿词的水平。7.7T tokens相当于数十万个"人生阅读量"的总和。这就是现代大语言模型预训练的底色:在人类文明积累的浩瀚文本中,模型需要吞吐相当于几万年阅读量的数据。
Ouro选择这个规模并非偶然。传统CoT推理将"思考"推迟到后训练阶段,实际上浪费了预训练数据中蕴含的推理信号。而Ouro的LoopLM机制直接在预训练阶段引入循环推理,让模型在吃进每个token时,都已经在"暗中练习"如何推理。这7.7T tokens不仅是知识灌入的过程,更是推理能力从零生长的过程。
在训练基础设施方面,循环结构带来了有趣的工程挑战:同一个batch中不同token可能需要不同次数循环,计算负载在训练中动态变化。熵正则化机制在这里不仅是学习信号,更是隐式的"计算资源调度器",帮助训练过程保持稳定和高效。
5.2 模型规格与"以小博大"
Ouro开源了两个规模的模型:Ouro 1.4B和Ouro 2.6B。在当今大模型生态中,主流开放权重模型参数量动辄7B、13B甚至70B起步,1.4B和2.6B在很多人认知里还停留在"玩具模型"阶段。
但Ouro偏偏选择在这个量级证明自己。逻辑非常清晰:如果循环推理真的有效,最令人信服的证明就是用更少参数做到更多参数才能做到的事。与其在7B或13B尺度上和其他模型打平手,不如在1.4B和2.6B尺度上打赢12B的对手。这才叫真正的效率革命。具体来说,两个模型的参数差异主要在于Transformer层的宽度和深度配置,但核心机制完全一致:都是通过共享参数的循环结构,配合熵正则化的自适应深度分配,在隐空间中实现迭代推理。这种一致性也使得跨规模的对比分析更加可靠,因为性能差异可以更干净地归因于参数量本身,而非架构变化。
值得一提的是,循环结构带来了一个天然的"参数效率"优势:同一组参数被复用多次,相当于用更少的参数完成了更多的计算。这就像是一个擅长"以一当十"的士兵,虽然人数少,但每个士兵都能在战场上多次出击。传统的深层模型则是招募更多士兵,每人只打一次。显然,前者对资源的利用更加充分。
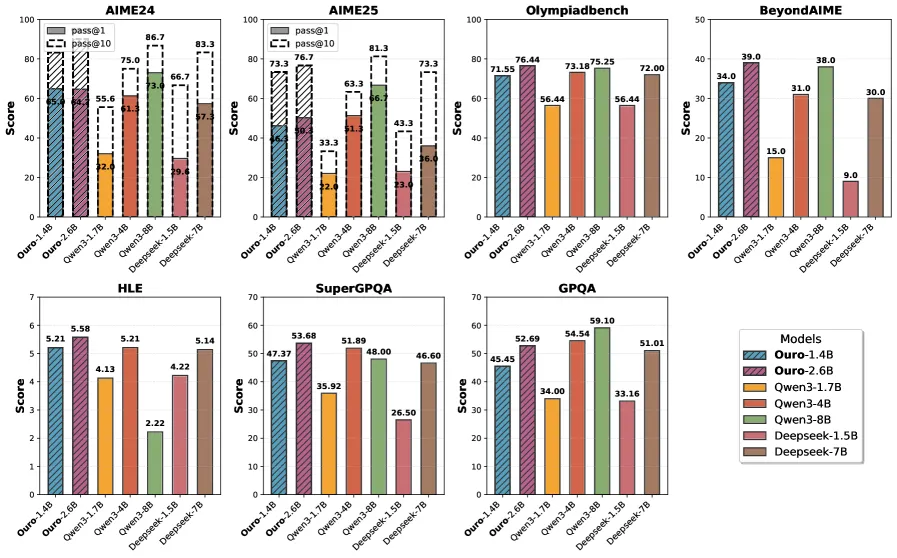
5.3 以小博大:与12B SOTA的对决
现在来到整篇论文最具戏剧性的部分:Ouro 1.4B和2.6B的性能,可以匹配高达12B参数的SOTA大语言模型。
想象一场举重比赛,一个60公斤级选手走进90公斤级赛场,然后举起了同样的重量。这不仅是"表现出出色",这简直在挑战人们对重量级别的根本认知。
论文详细列出了各项基准测试的具体得分,涵盖通用语言理解、推理能力和数学等多个维度。综合来看,Ouro整体性能达到了12B级别SOTA模型的水平。这意味着:
第一,参数量不是唯一的标尺。 通过循环计算,模型可以在不增加参数的情况下,获得远超参数规模所"应该"拥有的能力。
第二,推理时的计算量是被低估的维度。 Ouro的成功表明,与其一味追求更大模型,不如在推理时给模型更多"思考时间"。循环结构本质上就是在推理阶段为模型提供额外计算预算。这种"思考即计算"的范式,可能比"参数即能力"的范式更加高效。
第三,预训练阶段的推理学习确实有效。 Ouro的推理能力不是通过后训练教学获得的,而是在7.7T tokens的预训练中自然生长出来的。这证明了将推理融入预训练是一条可行的技术路线。

六、深度洞察:循环到底带来了什么
看到Ouro以小博大的结果,一个自然的问题是:这种优势到底从何而来?是模型"记住"了更多知识,还是"学会"了更好地使用已有知识?
6.1 知识操纵优于知识容量
研究团队设计了精心控制的实验来回答这个问题。他们首先考察了一个基础假设:循环是否增加了模型的知识存储容量?通过知识探测实验,系统评估了不同循环次数下模型对事实性知识的回忆能力。结果给出了明确的否定答案:无论循环多少次,模型的知识存储量基本保持不变,始终维持在每参数约2比特的水平。

这个发现初看似乎令人失望,但仔细思考后会发现其深刻含义。它告诉我们,LoopLM卓越性能的秘密不在于"知道得更多",而在于"用得更好"。这从根本上区分了两种能力:知识存储与知识操纵。
知识操纵是指模型对已存储知识进行组合、推理和转换的能力。具体来说,它包括两个关键维度:事实组合(fact composition)和多跳推理(multi-hop reasoning)。在事实组合方面,当面对需要将多个独立事实整合才能回答的问题时(例如"某国首都的建立者出生在哪个城市"这类需要串联多条知识的查询),循环模型的表现远超同等参数量的非循环模型。在多跳推理方面,循环优势更加突出:每一次循环迭代恰好可以对应一个推理步骤,模型在隐空间中反复迭代的过程,本质上就是在逐步完成多跳推理中的每一个环节。这就像走迷宫时在脑海中反复推演不同的路径,而不是在纸上画出每一条线。
控制实验进一步验证了这一点。在知识探测任务上,增加循环次数并未带来显著性能提升;但在需要知识操纵的任务上,更多循环带来了明显增益。当将LoopLM与参数量相同但不使用循环的基线模型对比时,两者在纯知识回忆上表现相当,但在推理密集型任务上LoopLM大幅领先。打个比方,两个学生背了同一本教科书,但其中一个更擅长灵活运用所学知识来解题。Ouro就是后者。这些实验共同指向一个清晰结论:循环机制的收益不在于知识编码,而在于知识运用。这一发现具有深远的实践意义:如果我们希望提升模型推理能力,与其单纯增加参数来存储更多知识,不如通过循环机制增强对已有知识的操纵效率。
6.2 推理轨迹的忠实性
论文还发现了一个令人振奋的现象:LoopLM产生的推理轨迹比显式CoT更加与最终输出一致。
在显式CoT推理中,模型先生成文本形式的推理过程,然后基于这段推理给出最终答案。然而已有研究表明,CoT推理存在"不忠实"的问题:模型生成的推理文本并不总是真正驱动最终输出的因素。有时模型可能已经"知道"答案,生成的CoT文本不过是一种事后的合理化叙事。更极端的情况下,CoT文本指向一个答案,模型最终却给出另一个答案。
相比之下,LoopLM的隐空间推理在忠实性方面表现出显著优势。由于其推理过程直接嵌入模型计算路径中(每次循环迭代的输出直接作为下一次迭代的输入),推理轨迹与最终输出之间存在天然的因果联系。这种架构设计使得"不忠实推理"在LoopLM中更难发生。

6.3 安全性的协同提升
在HEx-PHI安全基准上的评估结果同样令人鼓舞。LoopLM在安全性指标上展现出了显著提升,与同等规模的基线模型相比,在有害输出拒绝率方面有明显改善。更重要的是,这种安全性提升并非以牺牲有用性为代价。
一个可能的解释在于循环推理的结构特性。在隐空间中的迭代推理为模型提供了多次"自我审查"的机会,每次循环迭代都可以被视为一次隐式的安全检查。这类似于人类在表达观点前的内心斟酌过程。
从安全性角度看,高忠实性尤为关键。一个推理过程不忠实的模型,其安全护栏可能形同虚设:即使推理文本中包含了安全检查,模型仍可能绕过这些检查直接生成有害输出。而LoopLM的高忠实性意味着,其在隐空间中的安全推理能够更可靠地转化为安全的最终输出。
LoopLM在安全性和忠实性方面的表现揭示了一个重要规律:推理能力的增强并不一定以牺牲安全性为代价。恰恰相反,通过合理的架构设计,推理能力和安全性可以实现协同提升。LoopLM通过在预训练阶段就将推理能力融入模型(而非仅仅依赖后训练阶段的对齐),使得安全和推理在训练过程中共同进化。循环机制为模型提供了更深层次的"思考"空间,使安全判断能够在推理过程的早期阶段就介入并发挥作用。这种"原生安全"的设计理念,为构建既强大又安全的推理模型提供了有价值的参考方向。

七、第三条Scaling轴:产业影响与未来展望
7.1 不止于"更大"
自从大语言模型走上历史舞台,Scaling Law始终是这个领域最核心的指导原则。过去数年间,从业者遵循着两条经典路径:增大参数量,从数亿一路攀升至数千亿乃至万亿级别;扩充预训练数据,从数百亿token扩展到数万亿乃至更多。然而这两条路径的边际收益正在递减,所需计算资源和资金成本却在指数级增长。
Ouro提出的LoopLM范式,开辟了截然不同的第三条Scaling轴:在推理阶段增加隐空间的循环计算深度。不改变参数规模,也不增加训练数据总量,而是通过让同一组Transformer层多次迭代执行,将更多计算资源投入到推理过程中。这种"以计算换智能"的思路,与人类面对复杂问题时"反复思考"的认知模式高度契合。
从产业战略视角来看,这条路径意义不容小觑。当前头部科技公司在参数规模和数据规模两条赛道上已形成高度竞争格局,后来者很难在这两个维度上实现超越。而LoopLM提供了一条差异化路径:中小型团队可以通过优化循环推理机制,在有限参数规模内逼近甚至匹配大模型表现。
7.2 边缘部署的价值
在产业落地的真实场景中,并非所有应用都能依赖云端大规模计算集群。边缘设备、移动终端、物联网节点对模型大小和推理效率有着严苛要求。传统做法是通过知识蒸馏、量化、剪枝等技术将大型模型"缩小"以适配这些场景,但这往往伴随着显著的能力损失。
LoopLM提供了一种优雅的解决方案:训练阶段通过大规模循环计算学到强大的隐空间推理能力;部署阶段可根据目标设备计算预算灵活调整循环次数。面对简单任务时减少循环以提升响应速度,面对复杂问题时增加循环以确保推理质量。这种自适应计算分配,使得同一个模型能够跨越不同算力级别的设备,像一个可以调节思考深度的智能体,在手机上浅尝辄止,在服务器上深思熟虑。
特别值得关注的是医疗、金融、工业控制等对数据隐私高度敏感的领域。这些场景通常要求模型在本地端侧运行,LoopLM的小参数量加深度循环推理模式恰好满足需求:在保护数据隐私的同时,仍能维持接近云端大模型的推理能力。
7.3 局限与未来方向
当然,Ouro也存在局限。当前模型最大为2.6B参数,在更大规模(7B、13B乃至70B级别)上能否持续保持高效参数利用率,仍需进一步验证。循环次数与推理能力之间的关系尚未被完全刻画,"多少次循环才足够"这一关键问题仍需深入研究。此外,隐空间推理的可解释性也是一个挑战:与显式CoT不同,LoopLM的推理过程发生在模型内部,人类无法直接观察推理路径,这在需要高度透明性的场景(如医疗诊断、法律分析)中可能构成障碍。如何在不牺牲隐空间推理效率的前提下,提供一定程度的可解释性,将是一个值得探索的研究方向。
从更宏观的产业生态来看,LoopLM的出现也为芯片设计提供了新思路。传统的AI芯片主要围绕单次前向传播优化,而LoopLM要求芯片能高效支持同一组参数的反复加载和计算。未来AI加速器可能需要专门优化循环计算的微架构,从而开辟一条新的硬件创新赛道。软硬件协同设计将成为释放LoopLM全部潜力的关键。
未来方向同样令人期待。更大规模的LoopLM是最直接的方向,如果在70B级别上仍能维持参数效率优势,将从根本上改变AI行业竞争格局。与强化学习的深度融合值得探索,让模型学会在不同任务上动态选择最优循环策略,甚至在循环中学会"反思"和"自我纠错"。多模态循环推理将机制扩展到视觉、音频等领域,可用于跨模态信息的反复整合与对齐,有望在视觉问答、多模态推理任务上带来质的飞跃。硬件协同优化也不容忽视,LoopLM的独特计算模式对硬件设计提出了新需求,专门针对循环计算优化的AI芯片可能带来数量级的效率提升。
此外,LoopLM与显式思维链(CoT)并非对立,而是互补。CoT通过生成中间文本进行推理,具有高度的可解释性;LoopLM则在隐空间中完成推理,具有更高的计算效率。在实际应用中,两者可以协同配合:LoopLM负责快速隐式推理,需要解释或审计时再切换到CoT模式。LoopLM与模型压缩技术(量化、剪枝、蒸馏)也可以叠加使用,经过量化处理的LoopLM既拥有更小的存储占用,又保留了通过循环计算提升推理能力的弹性。
八、结语:从"快速直觉"到"深度思考"
回顾整个Ouro项目,其核心贡献可归纳为四个维度。
理论范式的创新。 Ouro成功将"隐空间迭代推理"这一学术构想转化为可工程化实现的预训练框架,通过借鉴Universal Transformer的循环思想并引入熵正则化的自适应深度分配机制,为"如何在预训练阶段构建推理能力"提供了优雅而有效的答案。
工程规模的突破。 将LoopLM训练推进到7.7T tokens,这是迄今为止循环语言模型达到的最大预训练规模,验证了LoopLM在大规模数据上的可行性。
性能表现的验证。 Ouro 1.4B和2.6B在广泛基准测试中展现出超越参数量级的卓越表现,能够与数倍于自身的SOTA模型相媲美。更为关键的是,控制实验揭示了优势的根源:不是知识容量的扩张,而是知识操纵能力的提升。LoopLM并非简单地"记住更多",而是"想得更清楚"。
推理质量的洞察。 与显式CoT相比,LoopLM产生的推理过程与最终输出具有更高的一致性,隐空间推理在某种程度上规避了文本推理中常见的"自我不一致"问题。
这四项贡献环环相扣:理论范式提供了基础,工程规模验证了可行性,性能表现证明了有效性,推理质量的分析揭示了内在机理。它们共同构成了一个完整的叙事:循环推理不仅是一个巧妙的想法,更是一个在真实世界中行得通的方案。
Ouro项目以衔尾蛇为名,寓意着循环与自我更新。在AI技术日新月异的今天,Ouro提醒我们:通往更强人工智能的道路并非只有"更大"这一个方向。"更深的思考",无论是在隐喻层面还是字面意义上,都可能是一条同样有效的路径。
当模型学会在隐空间中反复消化知识,当推理不再是简单的"一次性输出"而是"深思熟虑后的回应",我们或许正在见证人工智能从"快速直觉"走向"深度思考"的关键一步。
衔尾蛇在古老炼金术中象征着转化与升华。也许,这正是大语言模型推理范式的一次炼金术般的蜕变:从"大声说出来"到"在沉默中思考",从线性展开到循环升华,从知识的被动容器到知识的主动驾驭者。
这条道路才刚刚开始,前方充满无限可能。
Ouro项目教会我们的最重要的一课或许是:在人工智能的研究中,有时候"回头看看老路"比"拼命往前冲"更有价值。循环推理的思想并非凭空出现,它与Universal Transformer、与循环神经网络、甚至与人类大脑的反复咀嚼机制都有一脉相承的关联。Ouro的天才之处不在于发明了循环,而在于在恰当的历史节点,以恰当的工程规模,将循环推理与隐空间计算和自适应深度分配三者融合为一个有机的整体,然后用7.7T tokens的预训练数据验证了这个整体的可行性。
衔尾蛇告诉我们,终结亦是开始。Ouro的终结,也许正是下一代推理模型的开始。
本文基于论文"Scaling Latent Reasoning via Looped Language Models"撰写,论文地址:arxiv.org/abs/2510.25741。Ouro模型已开源,项目主页:ouro-llm.github.io
夜雨聆风