AI 仿真,真的准确吗?
对于任何从事工程实践的人而言,提出这个问题不仅是顺理成章的,更是一项职业义务。保持审慎的怀疑精神,正是工程学的基石。
若要评估准确性,我们必须首先区分不同的范式。
有限元方法和物理AI的区别
大家对有限元法(FEM)等传统方法有着根深蒂固的信任。这种信任感直接源于对流程的可控性,以及数十年来在工业界所经受的严格验证。
传统的计算机辅助工程(CAE)属于方程驱动型,其内在机理具有天然的可解释性,它是通过求解物理定律的显式数学表达式来得出结果。
经典的 CAE 工作流呈现出一种线性且透明的特质:导入 CAD 模型——生成网格——施加边界条件——运行求解器——提取并进行后处理结果分析。
但是,有限元分析并不是对现实的直接求解,而是一系列假设之上的数值近似:
材料模型被简化;
边界条件被理想化;
接触关系被参数化;
网格尺寸影响结果;
收敛标准带有人为选择。
同一个零件,不同工程师建模,结果往往不同。改变网格密度、接触算法或阻尼参数,都可能改变应力峰值的位置与大小。
我们并没有验证真实物理,只是在验证:模型在当前假设下是否数值稳定。
将 AI 引入这一原本具有确定性的工程循环之中,随即引发了一大疑问——由于存在“黑箱”特质(即内部机理的不可见性),如果某个 AI 模型输出的结果显示出现了异常的应力集中现象,那么这一错误究竟源自何处?
是训练数据中潜藏着某种偏差?
是神经网络架构本身存在某种局限?
抑或是模型在运算过程中违背了基本的物理定律?
“物理 AI”(Physics AI)则是由数据与物理原理融合驱动的,它提供的是一种统计学意义上的可靠性,而非确定性的数学证明。物理AI并非纯依靠数据拟合,而是通过在损失函数中显式加入控制方程残差、硬编码边界条件、或采用算子学习保留空间映射的平移不变性,让模型在训练期就被‘锁死’在物理可行域内,使其外推行为具有可解释的数学边界,而非盲目插值。

如何量化AI的“准”?
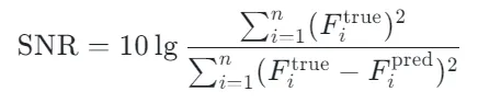
工程界习惯用收敛曲线与残差,但AI场预测需要更贴合全场分布的指标。iAISIM评估误差的方法采用信噪比(SNR)作为核心评价基准:假设一个模型由n个有限元组成,其中第i个有限元上等效应力的真实值为
(CAE基准结果),预测值为
。对该模型进行整体预测的评价指标SNR为:

该指标衡量预测场与基准场之间的能量占比,对幅值尺度不敏感,更擅长反映全场形态的一致性。SNR值越高,表明AI预测结果与传统CAE求解器结果越接近。SNR=15dB 对应全场均方误差约3%,20dB对应约1%。我们的测试集中,多数工况稳定在20dB以上。
这里有一个重点必须强调:全局SNR会掩盖局部风险。AI在应力集中区、接触边界或材料非线性过渡带易出现梯度平滑。但iAISIM的训练算法考虑到了这个问题,抑制了误差的平均化。损失函数的惩罚项设计也可以根据用户需求自适应调整。
工程实践如何应用?
在传统仿真领域对数学完美性的执着追求,往往掩盖了一个不容忽视的现实:在工程实践中,所谓的绝对正确其实只是一种幻象。每一个有限元(FEM)模型本质上都只是一种近似表达,它不可避免地背负着诸多不确定性因素的包袱——例如材料属性的离散性、网格离散化所带来的误差,以及对边界条件所作的理想化假设。
工程师所真正需要的,并非那种脱离实际的绝对正确,而是那种足以支撑其做出关键决策的、具有工程实用价值的有效正确性。
传统 CAE 解决的是求取答案的问题;而物理 AI 解决的则是探索未知的问题。
物理 AI 并非旨在取代既有的物理定律本身。它的核心价值在于——从根本上改变了我们对这些物理定律进行数值计算与求解的方式。借助深度网络、PINNs等技术,AI 能够学习设计参数与物理响应之间那种复杂的非线性映射关系。
这种本质上的区分决定了二者的应用部署策略。物理 AI 更适合于概念设计与迭代优化阶段而生,擅长执行大规模的参数扫描以及对设计空间进行穷尽式的探索。当然,对于最终的验证确认、法规认证审批以及针对极端边缘工况的建模分析而言,传统的 CAE 依然是不可或缺的绝对必要手段。
新的范式
物理 AI 的引入,将传统工作流从“设置参数——漫长等待——做出决策”的线性模式,转变为一种持续、实时的反馈闭环模式。在此过程中,AI 并非仅仅充当一个自动化的替代工具,而是作为一种交互式的思维界面发挥作用。
工程师将精力移至设计空间定义、物理边界设定与结果不确定性评估。AI在秒级返回预测结果,随后传统CAE在窄域内进行高精度验证与法规符合性审查。两者并非替代关系,而是构成“探索-收敛-确认”的双引擎架构。

准确性的终极答案,不在算法本身,而在工作流的重构之中。当AI提供广度,CAE守住底线,工程仿真才真正从“事后验证”走向“事前设计”。
下期预告:我们将通过一个真实的生产案例,为您揭示iAISIM那不到1秒的 AI 推理计算,是如何为工程团队赢回数周宝贵的研发时间的。
夜雨聆风