有同学吐槽:“数学到底该怎么学?完全学不会怎么办!”有个笨方法:那就是熟记公式、定理等各种知识点,这些是解题的根本,一旦你烂熟于心,中低难度的题还是可以手到擒来的!
所以今天给大家分享的是【高中数学知识点最全归纳(含二级结论、PDF版)(新高考适用)】,高中三年这一份就够了,希望能帮助到大家~
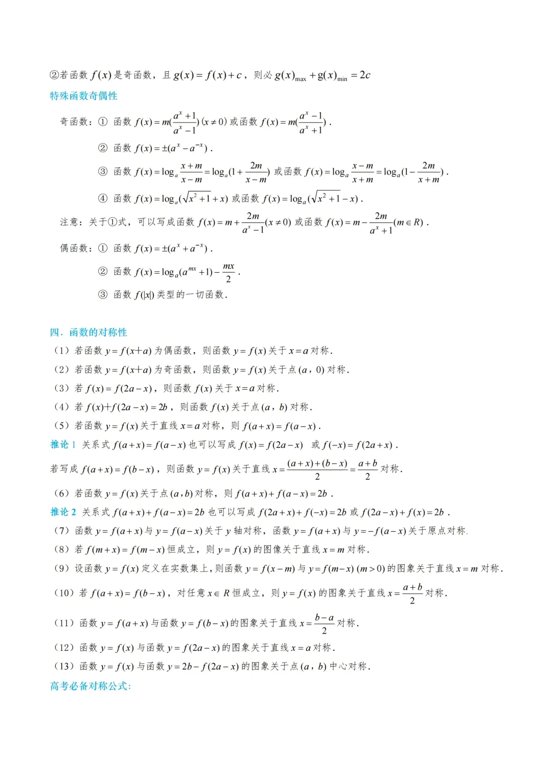
由于篇幅限制,部分篇幅如下~








受文章篇幅限制,仅能分享部分内容~
领取方法:
1、先下方点👍“赞”➕♥“推荐,然后关注下方公众号
2、在对话框中回复“ 资料获取 ”即可获取完整电子版

更多电子版及学习方法持续更新中……
夜雨聆风