当前位置:首页>文档>2003年数学一解析_数学一真题+解析[87-25]_数学一解析

2003年数学一解析_数学一真题+解析[87-25]_数学一解析

  • 2026-04-11 16:24:29 2026-02-04 17:54:07

文档预览

2003年数学一解析_数学一真题+解析[87-25]_数学一解析
2003年数学一解析_数学一真题+解析[87-25]_数学一解析
2003年数学一解析_数学一真题+解析[87-25]_数学一解析
2003年数学一解析_数学一真题+解析[87-25]_数学一解析
2003年数学一解析_数学一真题+解析[87-25]_数学一解析
2003年数学一解析_数学一真题+解析[87-25]_数学一解析
2003年数学一解析_数学一真题+解析[87-25]_数学一解析
2003年数学一解析_数学一真题+解析[87-25]_数学一解析
2003年数学一解析_数学一真题+解析[87-25]_数学一解析
2003年数学一解析_数学一真题+解析[87-25]_数学一解析
2003年数学一解析_数学一真题+解析[87-25]_数学一解析
2003年数学一解析_数学一真题+解析[87-25]_数学一解析
2003年数学一解析_数学一真题+解析[87-25]_数学一解析
2003年数学一解析_数学一真题+解析[87-25]_数学一解析
2003年数学一解析_数学一真题+解析[87-25]_数学一解析
2003年数学一解析_数学一真题+解析[87-25]_数学一解析
2003年数学一解析_数学一真题+解析[87-25]_数学一解析
2003年数学一解析_数学一真题+解析[87-25]_数学一解析
2003年数学一解析_数学一真题+解析[87-25]_数学一解析
2003年数学一解析_数学一真题+解析[87-25]_数学一解析
2003年数学一解析_数学一真题+解析[87-25]_数学一解析

文档信息

文档格式
pdf
文档大小
0.325 MB
文档页数
17 页
上传时间
2026-02-04 17:54:07

文档内容

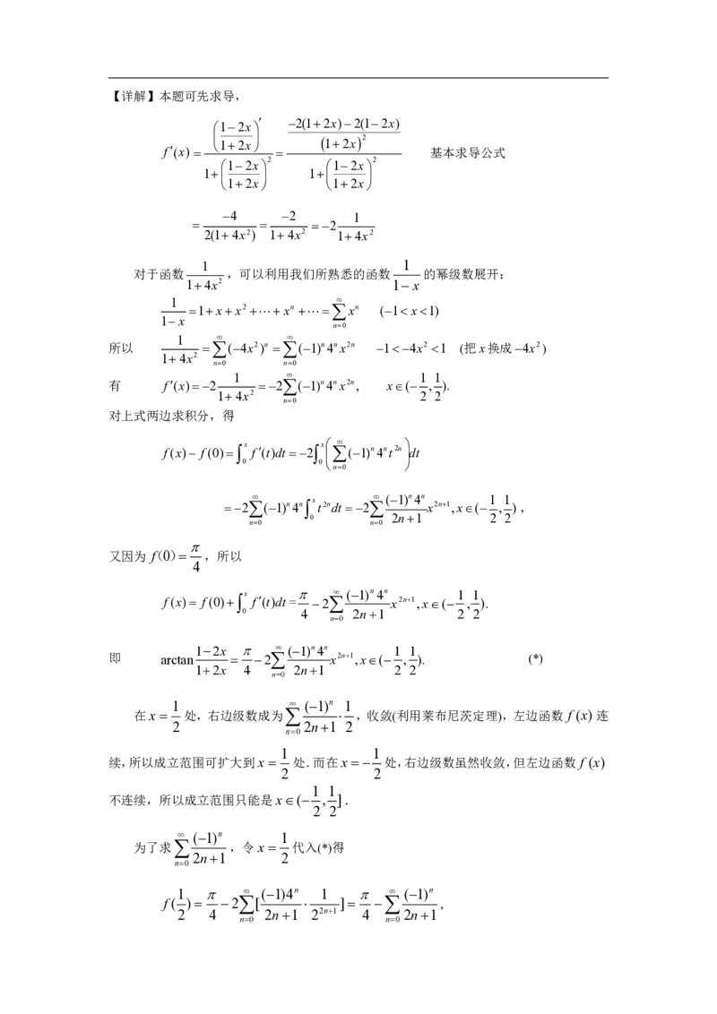
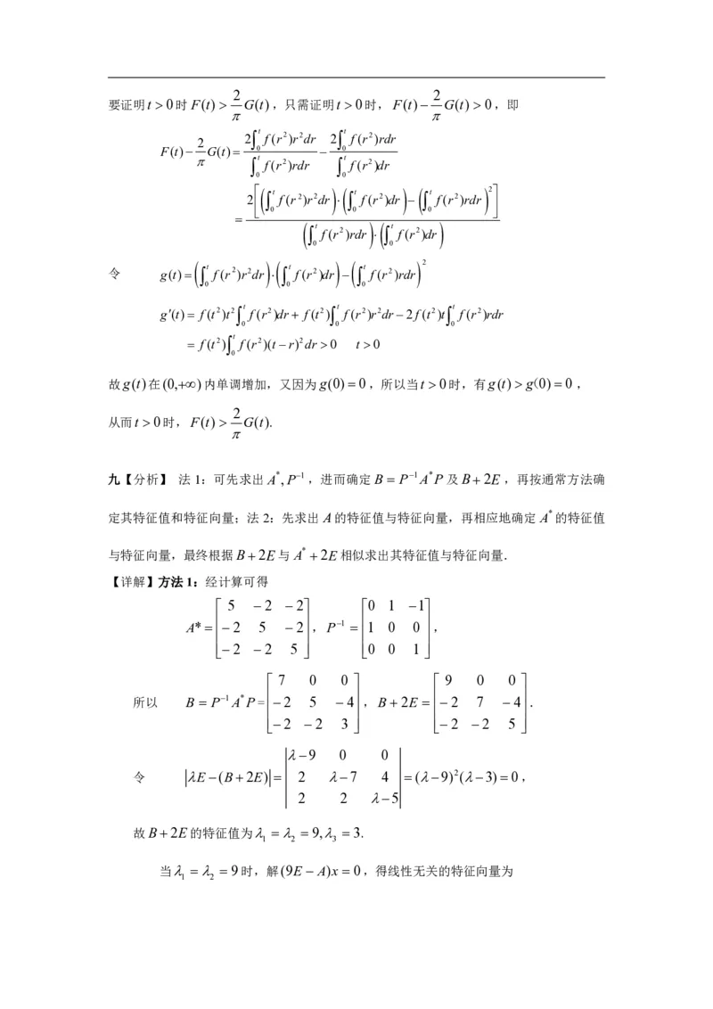
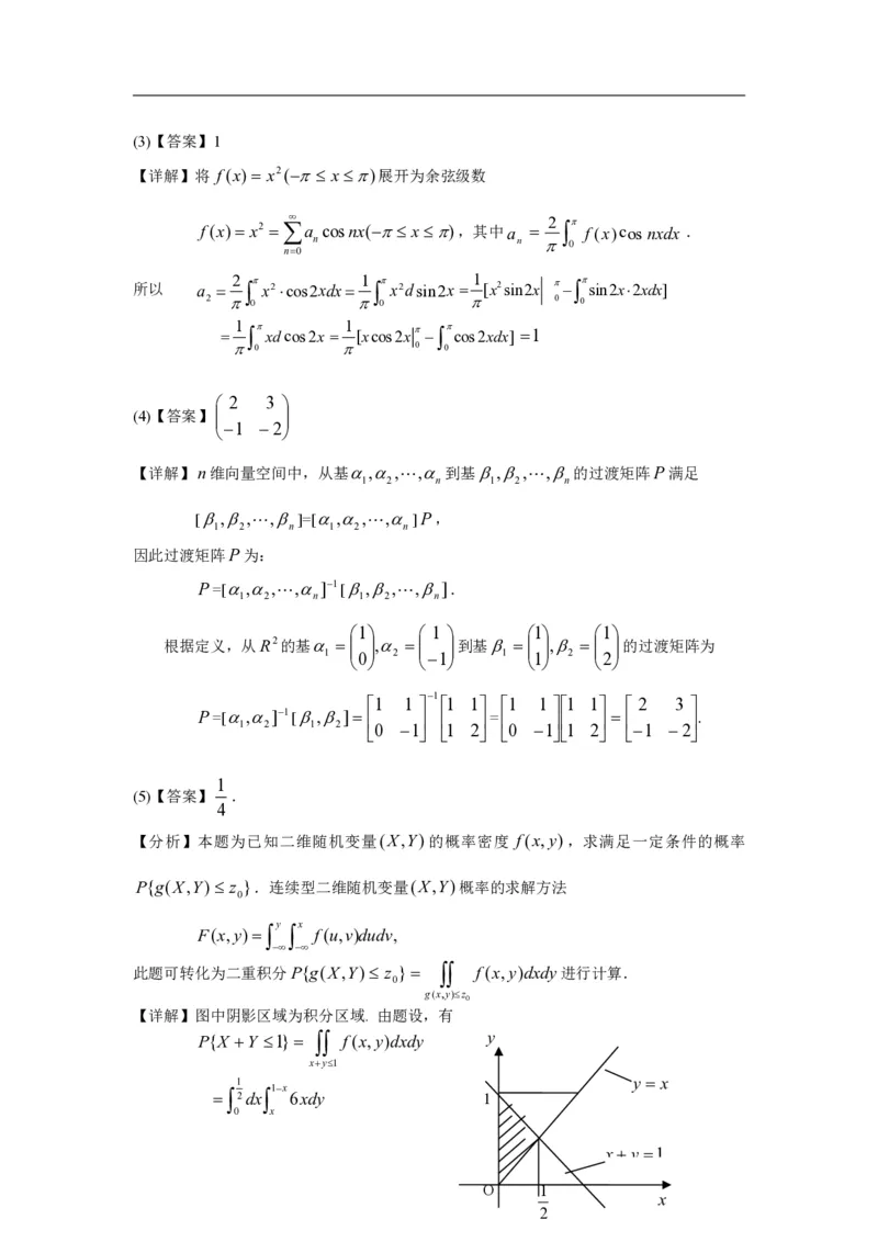
2003年全国硕士研究生入学统一考试数学一试题分析 一、填空题 1 (1)【答案】 e 【详解】方法1:求limu(x)v(x)型极限,一般先化为指数形式 limu(x)v(x) limev(x)lnu(x) 然后求limv(x)lnu(x),再回到指数上去. 1 lncosx lncosx lim lim(cosx)ln(1x2)=limeln(1x2) ex0ln(1x2) , x0 x0 而 lncosx ln(1cosx1) cosx1 lim lim lim (等价无穷小替换ln(1x)x) x0ln(1x2) x0 ln(1x2) x0 x2 1  x2 1 1 2 lim  (等价无穷小替换1cosx x2) x0 x2 2 2  1 1 故 原式=e 2  . e 1 lncosx 方法2:令y (cosx)ln(1x2) ,有ln y  ,以下同方法1. ln(1x2) (2)【答案】2x4yz 5 【详解】由题意,只要满足所求切平面的法向量与已知平面的法向量平行即可.  平面2x4yz 0的法向量:n {2,4,1}; 1  曲面zx2 y2在点(x ,y ,z )的法向量:n {z (x ,y ),z (x ,y ),1}{2x ,2y ,1} 0 0 0 2 x 0 0 y 0 0 0 0   由于n //n ,因此有 1 2 2x 2y 1 0  0  2 4 1 可解得,x 1,y  2,相应地有z  x2  y2 5. 0 0 0 0 0  所求切平面过点(1,2,5),法向量为:n {2,4,1},故所求的切平面方程为 2 2(x1)4(y2)(z5) 0,即 2x4yz 5(3)【答案】1 【详解】将 f(x)  x2( x )展开为余弦级数 f (x)  x2   a cosnx( x),其中a  2   f (x)cosnxdx . n n  0 n0 所以 a  2   x2cos2xdx 1   x2dsin2x  1 [x2sin2x   sin2x2xdx] 2  0  0  0 0  1   xdcos2x  1 [xcos2x    cos2xdx] 1  0  0 0  2 3  (4)【答案】    1 2 【详解】n维向量空间中,从基,,, 到基,,, 的过渡矩阵P满足 1 2 n 1 2 n [,,, ]=[,,, ]P, 1 2 n 1 2 n 因此过渡矩阵P为: P=[,,, ]1[,,, ]. 1 2 n 1 2 n 1  1  1 1 根据定义,从R2的基  ,  到基  ,  的过渡矩阵为 1  0   2  1   1  1   2  2   1 1 1  1 1 1 1 1 1  2 3  P=[, ]1[, ]    =      . 1 2 1 2 0 1 1 2 0 11 2 1 2 1 (5)【答案】 . 4 【分析】本题为已知二维随机变量(X,Y)的概率密度 f(x,y),求满足一定条件的概率 P{g(X,Y) z }.连续型二维随机变量(X,Y)概率的求解方法 0 y x F(x,y)  f(u,v)dudv,   此题可转化为二重积分P{g(X,Y) z }  f(x,y)dxdy进行计算. 0 g(x,y)z 0 【详解】图中阴影区域为积分区域. 由题设,有 P{X Y 1}  f (x,y)dxdy y xy1 1 y  x 1x 2dx 6xdy 1 0 x x y 1 O 1 x 21 1 2(6x12x2)dx  0 4 (6)【答案】(39.51,40.49). 【分析】可以用两种方法求解: (1) 已知方差2 1,对正态总体的数学期望进行估计. 因为X  N(,1),设有n 1 n 1 X E(X) 个样本,样本均值X  X ,则 X  N(, ),将其标准化,由公式 ~ N(0,1) n i n D(X) i1 n X  得: ~ N(0,1) 1 n X  由正态分布分为点的定义P{ u }1可确定临界值u ,进而确定相应的 1   n 2 2   置信区间(xu ,xu ).   2 n 2 n (2)本题是在单个正态总体方差已知条件下,求期望值的置信区间问题.由教材上已   经求出的置信区间(xu ,xu ),其中P{U u }1,U  N(0,1) ,可以    2 n 2 n 2 直接得出答案. 【详解】方法 1:由题设,1 0.95,可见 0.05. 查标准正态分布表知分位点 u 1.96. 本题n16, x  40.  2 X  40 根据P{ 1.96}0.95,有P{ 1.96}0.95, 1 n 1 16 即P{39.5140.49}0.95,故的置信度为0.95的置信区间是(39.51,40.49). 方法2:由题设,1 0.95, P{U u } P{u U u }2(u )10.95,(u )0.975      2 2 2 2 2   查得u 1.96. 将1,n16, x  40代入(xu ,xu )得置信区间    2 n 2 n 2 (39.51,40.49) 二、选择题 (1)【答案】(C)【分析】函数的极值点可能是驻点(一阶导数为零) 或导数不存在的点,极值点是极大值点还是极小值 点可进一步由取极值的第一或第二充分条件判定. 【详解】根据导函数的图形可知,一阶导数为零的 点有3个(导函数与x轴交点的个数);x0是导数 不存在的点. 对3个一阶导数为零的点左右两侧导数符号均 不一致,故必为极值点,其中第一个交点左右两侧 导数符号由正变为负,是极大值点;第二个交点和第三个交点左右两侧导数符号由负变为正, 是极小值点,则三个驻点中有两个极小值点,一个极大值点; 对导数不存在的点:x0.左侧一阶导数为正,右侧一阶导数为负,可见x0为极 大值点. 故 f (x)共有两个极小值点和两个极大值点,应选(C). (2)【答案】(D) 【详解】方法1:推理法 b c 由题设limb 1,假设limb c 存在并记为 A,则limc lim n n  A,这与 n n n n n n n n b n limc 矛盾,故假设不成立,limb c 不存在. 所以选项(D)正确. n n n n n 方法2:排除法 1 n1 取a  ,b  ,满足lima  0,limb 1, 而a 1,b 0,a b ,(A)不正确; n n n n n n n n 1 1 1 1 n1 取b  ,c n2,满足limb 1,limc ,而b 01c ,(B)不正确; n n n n n n n 1 1 1 取a  ,c n2,满足lima  0,limc ,而lima c 1,(C)不正确. n n n n n n n n n n (3)【答案】(A) f(x,y)xy 【详解】由 lim 1 f(x,y)xy(1)(x2 y2)2,其中lim0. x0,y0 (x2 y2)2 x0 y0 由 f(x,y)在点(0,0)连续知, f (0,0)0. 取 y  x, x 充分小,x0,有 f(x,y) x2(1)(2x2)2 0; 取 yx, x 充分小,x0,有 f(x,y) x2(1)(2x2)2 0 故点(0,0)不是 f(x,y)的极值点,应选(A). (极值的定义)(4)【分析】 本题为一般教材上均有的比较两组向量个数的定理:若向量组I:,,, 1 2 r 可由向量组II:,,,线性表示,则当r  s时,向量组I必线性相关. 或其逆否命 1 2 s 题:若向量组I:,,, 可由向量组II:,,,线性表示,且向量组I线性无 1 2 r 1 2 s 关,则必有r  s. 可见正确选项为(D). 本题也可通过举反例用排除法找到答案. 【详解】 用排除法: 0 1 0   ,  ,  ,则 0 0 ,但, 线性无关,排除(A); 1  0   1  0   2  1   1 1 2 1 2 0 1 1   ,  ,  ,则, 可由线性表示,但线性无关,排除(B); 1  0   2  0   1  0   1 2 1 1 1 1 0   ,  ,  ,可由, 线性表示,但线性无关,排除(C). 1  0   1  0   2  1   1 1 2 1 (5)【答案】(B) 【分析】本题可找反例用排除法进行分析,但①、②两个命题的反例比较复杂一些,关键是 抓住③、④,迅速排除不正确的选项. 【详解】若AX 0与BX 0同解,则它们的解空间中的基础解系所含向量个数相同,即n- 秩(A)=n-秩(B), 得秩(A)=秩(B),命题③成立,可排除(A),(C); 但反过来,若秩(A)=秩(B),则不能推出AX  0与BX  0同解,通过举一反例证明, 1 0 0 0 若A   ,B    ,则秩(A)=秩(B)=1,但AX  0与BX  0不同解,可见命 0 0 0 1 题④不成立,排除(D). 故正确选项为(B). (6)【答案】(C). 【分析】求解这类问题关键在于了解产生2变量、t变量、F 变量的典型模式. n (1)2分布:设X ,X ,,X 相互独立且均服从标准正态分布,则随机变量Z X 2 1 2 n i i1 服从自由度为n的2分布.记做Z 2(n). X (2)t分布:设X  N(0,1),X ~2(n),且X ,X 相互独立,则随机变量Z  1 1 2 1 2 X /n 2 服从自由度为n的t分布.记做Z t(n)X n (3)F 分布:设X 2(n ),Y  2(n ),且X,Y 相互独立,则随机变量Z  1 服从 1 2 Y n 2 F 分布,其第一、二自由度分别为n ,n .记做Z  F(n ,n ). 1 2 1 2 【详解】其实,由F 分布的性质以及t分布和F 分布的关系得, (1) 如果统计量 T t(n),则有T2  F(1,n); 1 (2) 如果统计量F  F(n ,n ),则有  F(n ,n ). 1 2 F 2 1 由以上两条性质可以直接得出本题的答案为(C). U 先由t分布的定义知X  t(n),其中U ~ N(0,1),V ~2(n),于是 V n V V 1 n n Y  =  , X2 U2 U2 1 分母中只含有一个标准正态分布的平方,所以U2 ~2(1). 由F 分布的定义知Y ~F(n,1). 故应选(C). 1 三【分析】圆锥体体积公式:V  r2h;旋转体的体积: 3 (1) 连续曲线y  f(x),直线xa、x b所围成的图形绕直线x x 旋转一周而成 0 的立体的体积V  bf(x)x 2 dx 1 0 a (2) 连续曲线x g(x),直线 y c、 yd 所围成的图形绕直线 y y 旋转一周而成 0 的立体的体积V  dg(y) y 2 dy 2 0 c 【详解】为了求D的面积,首先要求出切点的坐标,设切点的横坐标为x ,则曲线y lnx 0 在点(x ,lnx )处的切线方程是: 0 0 1 y lnx  (xx ). 0 x 0 0 1 切线的斜率为 y  ,由于该切线过原点,将(0,0)点代入切线方程,得lnx 1 0, x 0 x 0 0 从而x e. 所以该切线的方程为 01 y  x. e  (1) 利用平面图形D的面积公式S  (y)(y) dy ,得  1 1 A  (ey ey)dy  e1. 0 2 (2) 旋转体体积可用一大立体(圆锥)体积减去一小立体体积进行计算,为了帮助理解, 可画一草图. y 1 D O 1 e x 1 切线 y  x与x轴及直线xe所围成的三角形绕直线xe旋转所得的圆锥体积为: e 1 1 V  (eey)2dy e2. 1 0 3 曲线y lnx与x轴及直线xe所围成的图形绕直线xe旋转所得的旋转体体积为: V   1 (eey)2dy  1 (e22eey e2y)dy 2 0 0 1 1 1 1 (e2y2eey  e2y) ( e22e ) 2 2 2 0 因此所求旋转体的体积为 1 1  V V V  e2 (eey)2dy  (5e2 12e3). 1 2 3 0 6 四【分析】幂级数展开有直接法与间接法,一般考查间接法展开,即通过适当的恒等变形、 求导或积分等,转化为可利用已知幂级数展开的情形. 另外,由于函数展开成的幂级数,经两边求导或积分(其中一边是逐项求导或逐项积分) 后,其新的展开式收敛区间不变,但在收敛区间端点处,求导(积分)后的展开式成立与否, 要另行单独处理,设已有  f(x)a (xx )n n 0 n0 收敛区间为(x R,x R). 如果在xx R 处级数收敛,并且 f (x)(左)连续,则展开式 0 0 0 成立的范围可扩大到xx R 处,在xx R处亦有类似的结论,不过此时 f (x) (左)连 0 0 续应改称(右)连续.【详解】本题可先求导,  2(12x)2(12x) 12x  12x   12x2 f(x)   基本求导公式 12x 2 12x 2 1  1  12x 12x 4 2 1   2 2(14x2) 14x2 14x2 1 1 对于函数 ,可以利用我们所熟悉的函数 的幂级数展开: 14x2 1x 1  1xx2xn xn (1x1) 1x n0 1   所以 (4x2)n (1)n4nx2n 14x2 1 (把x换成4x2) 14x2 n0 n0 1  1 1 有 f(x)2 2(1)n4nx2n, x( , ). 14x2 2 2 n0 对上式两边求积分,得 f(x) f(0) x f(t)dt 2 x   (1)n4nt2n  dt   0 0  n0 2  (1)n4n x t2ndt 2  (1)n4n x2n1,x( 1 , 1 ) , 0 2n1 2 2 n0 n0  又因为 (f 0) ,所以 4 x   (1)n4n 1 1 f(x) f(0) f(t)dt= 2 x2n1,x( , ). 0 4 2n1 2 2 n0 12x   (1)n4n 1 1 即 arctan  2 x2n1,x( , ). (*) 12x 4 2n1 2 2 n0 1  (1)n 1 在x  处,右边级数成为  ,收敛(利用莱布尼茨定理),左边函数 f (x) 连 2 2n1 2 n0 1 1 续,所以成立范围可扩大到x  处.而在x 处,右边级数虽然收敛,但左边函数 f (x) 2 2 1 1 不连续,所以成立范围只能是x( , ]. 2 2  (1)n 1 为了求 ,令x  代入(*)得 2n1 2 n0 1   (1)4n 1   (1)n f( )  2[  ]  , 2 4 2n1 22n1 4 2n1 n0 n01 再由 f( ) 0,得 2  (1)n  1     f( )  . 2n1 4 2 4 n0 五【详解】(1) 方法1:用格林公式证明. 由曲线为正向封闭曲线,自然想到用格林公式 Q P  PdxQdy   dxdy . L  x y  D 所以 xesinydy yesinxdx (esiny esinx)dxdy L D 所以 xesinydy yesinxdx (esiny esinx)dxdy L D 因为积分区域D关于yx 对称,所以 x与y互换 (esiny esinx)dxdy  (esiny esinx)dxdy D D 故 xesinydy yesinxdx  xesinydy yesinxdx L L 方法2:化为定积分证明  0  左边 xesinydy yesinxdx= esinydyesinxdx= (esinx esinx)dx L L 0  0  0  右边 xesinydy yesinxdx= esinydy  esinxdx= (esinx esinx)dx L L 0  0 所以 xesinydy yesinxdx  xesinydy yesinxdx. L L (2) 方法1:用格林公式证明 xesinydy yesinxdx (esiny esinx)dxdy L D =esinydxdyesinxdxdy=esinxdxdyesinxdxdy 利用轮换对称性 D D D D =(esinx esinx)dxdy2dxdy 22 D D (因为ab2 ab,a0,b0)   方法2:由(1)知, xesinydy yesinxdx (esinx esinx)dx 2dx 22 L 0 0 六【详解】(1) 建立坐标系,地面作为坐标原点,向下为x轴正向,设第n次击打后,桩被 打进地下x ,第n次击打时,汽锤所作的功为W (n 1,2,3,).由题设,当桩被打进地下 n n 的深度为x时,土层对桩的阻力的大小为kx ,汽锤所作的功等于克服阻力所做的功.W  x1kxdx k x2,W  x2kxdx k (x2x2),W  x3kxdx k (x2x2),x a 1 0 2 1 2 x1 2 2 1 3 x2 2 3 2 1 k 从而 W W W  x2 1 2 3 2 3 又 W  rW ,W rW r2W , 2 1 3 2 1 k k 从而 x2 W W W (1rr2)W (1rr2) a2 2 3 1 2 3 1 2 于是 x a 1rr2 . 3 (2) 第n次击打后,桩被打进地下x ,第n次击打时,汽锤所作的功为W (n1,2,3,). n n 则汽锤前n次所功的和等于克服桩被打进地下x m所做的功. n x  nkxdxW W W (1rrn1)W 1 2 n 1 0 a k 而 W  kxdx a2 牛-莱公式 1 0 2 k k 所以 x 2 (1rrn1) a2 2 n 2 1rn 从而 x a 1rrn1 a . 等比数列求和公式 n 1r a 由于0r 1,所以limx  . n1 n 1r dx d2x dy d2y 七【详解】 (1) 将题中的 与 变换成以x为自变量y为因变量的导数 与 来表 dy dy2 dx dx2 示(即通常所说的反函数变量变换),有 dx 1 1 d2x d dx d 1 dx  y 1 y =  ,  ( )= ( ) =    . dy dy y dy2 dy dy dx y dy y2 y (y)3 dx 代入原方程,得 y y  sinx. (*) (2) 方程(*)所对应的齐次方程为y y 0,特征方程为r2 10,根r 1,因此 1,2 通解为Y C ex C ex. 由于i不是特征方程得根,所以设方程(*)的特解为 1 2 y*  Acosx Bsin x 则 y* AsinxBcosx,y* AcosxBsinx代入方程(*),得:AcosxBsinxAcosxBsinx2Acosx2Bsinxsinx 1 1 解得A0,B   ,故 y*   sinx. 从而 y y sinx的通解为 2 2 1 y Y  y* C ex C ex  sinx. 1 2 2 3 由 y(0) 0,y(0)  ,得C 1,C  1.故变换后的微分方程满足初始条件 2 1 2 3 y(0) 0,y(0)  的解为 2 1 y ex ex  sinx. 2 1 且y(x)的导函数y(x)ex ex  cosx0,满足题设y0条件. 2 八【详解】(1) 首先对F(t)进行化简,三重积分转化为在球面坐标系中的计算;二重积分转 化为在极坐标系中的计算.  f(x2  y2 z2)dv 2 d  d t f(r2)r2sindr 2  sind t f(r2)r2dr 0 0 0 0 0 (t) 2 t f(r2)r2drcos 4 t f(r2)r2dr (球面坐标) 0 0 0  f(x2  y2)d 2 d t f(r2)rdr 2 t f(r2)rdr (极坐标) 0 0 0 D(t) 所以 2  t t t  d d f(r2)r2sindr 4 f(r2)r2dr 2 f(r2)r2dr F(t) 0 0 0  0  0 2 t t t  d f(r2)rdr 2 f(r2)rdr  f(r2)rdr 0 0 0 0 为了讨论F(t)在区间(0,)内的单调性,对F(t)求导: t t t t2f(t2) f(r2)rdr f(r2)r2dr f(t2)t tf(t2) f(r2)r(tr)dr F(t)2 0 0 2 0 t t [ f(r2)rdr]2 [ f(r2)rdr]2 0 0 由于 f(t)0,r0,tr0,所以 f(r2)r(tr)0. 再利用定积分的性质:若在区间[a,b]上 b f (x)0,则 f(x)dx0. 所以F(t)0,所以F(t)在区间(0,)内严格单调增加. a (2) 将待证的不等式作适当的恒等变形后,构造辅助函数,再用单调性进行证明即可. t t t 因为  f(x2)dx2 f(x2)dx2 f(r2)dr , t 0 0 所以  f(x2  y2)d t t 2 f(r2)rdr  f(r2)rdr G(t) D(t)  0  0 t t t  f(x2)dx 2 f(r2)dr  f(r2)dr t 0 02 2 要证明t 0时F(t)  G(t),只需证明t 0时,F(t) G(t) 0,即   2 t f(r2)r2dr 2 t f(r2)rdr 2 F(t) G(t) 0  0   t f(r2)rdr  t f(r2)dr 0 0  t   t   t 2 2  f(r2)r2dr   f(r2)dr   f(r2)rdr    0 0 0    t   t   f(r2)rdr   f(r2)dr 0 0      2 令 g(t)  t f(r2)r2dr   t f(r2)dr   t f(r2)rdr 0 0 0 t t t g(t) f(t2)t2 f(r2)dr f(t2) f(r2)r2dr2f(t2)t f(r2)rdr 0 0 0 t  f(t2) f(r2)(tr)2dr 0 t 0 0 故g(t)在(0,)内单调增加,又因为g(0)0,所以当t 0时,有g(t) g(0)0, 2 从而t 0时,F(t)  G(t).  九【分析】 法1:可先求出A*,P1,进而确定B  P1A*P及B2E,再按通常方法确 定其特征值和特征向量;法2:先求出A的特征值与特征向量,再相应地确定A*的特征值 与特征向量,最终根据B2E与A* 2E相似求出其特征值与特征向量. 【详解】方法1:经计算可得  5 2 2 0 1 1     A* 2 5 2 ,P1  1 0 0 ,     2 2 5  0 0 1       7 0 0   9 0 0      所以 B  P1A*P= 2 5 4 ,B2E  2 7 4 .     2 2 3  2 2 5      9 0 0 令 E (B2E)  2 7 4 (9)2(3)0, 2 2 5 故B2E的特征值为  9, 3. 1 2 3 当  9时,解(9E A)x 0,得线性无关的特征向量为 1 21 2       1 ,   0 , 1   2    0   1      所以属于特征值  9的所有特征向量为 1 2 1 2     k k   k 1 k 0 ,其中k ,k 是不全为零的任意常数. 1 1 2 2 1  2  1 2  0   1      当 3时,解(3E A)x 0,得线性无关的特征向量为 3 0     1 , 3   1   0   所以属于特征值 3的所有特征向量为k  k 1 ,其中k  0为任意常数. 3 3 3 3  3 1   方法2:设A的特征值为,对应的特征向量为,即A.由于 A 7  0,所以 0. 所以 A*A A E  A*A A E A*(A) A (E) A  A*() AA* A A* ,  A 于是 B(P1) P1A*P(P1) (P1),  A (B2E)P1( 2)P1.  A 因此, 2为B2E的特征值,对应的特征向量为P1.  3 2 2 由于EA 2 3 2 (1)2(7),故A的特征值为1,7 1 2 3 2 2 3 1 1     当  1时,对应的线性无关特征向量可取为  1 ,   0 . 1 2 1   2    0   1     1   当 7时,对应的一个特征向量为  1 . 3 3   1   0 1 1  1  1 0         由P1  1 0 0 ,得P1  1 ,P1  1 ,P1  1 .   1   2   3   0 0 1   0   1  1         因此,B2E的三个特征值分别为9,9,3.对应于特征值9的全部特征向量为  1  1     k P1 k P1  k 1 k 1 ,其中k ,k 是不全为零的任意常数; 1 1 2 2 1  2  1 2  0   1      对应于特征值3的全部特征向量为 0   k P1  k 1 ,其中k 是不为零的任意常数. 3 3 3  3 1   十【分析】三条直线相交于一点,相当于对应线性方程组有唯一解,进而转化为系数矩阵与 增广矩阵的秩均为2. 【详解】方法1:“必要性”. 设三条直线l ,l ,l 交于一点,则线性方程组 1 2 3 ax2by  3c,  bx2cy  3a, (*)  cx2ay  3b,  a 2b a 2b 3c     有唯一解,故系数矩阵A b 2c 与增广矩阵A  b 2c 3a 的秩均为2,于     c 2a c 2a 3b     是 A 0. a 2b 3c abc 2(bca) 3(cab) A  b 2c 3a  b 2c 3a c 2a 3b c 2a 3b 1 2 3 1 1 1 (abc) b 2c 3a 6(abc) b c a c 2a 3b c a b1 0 0 cb ab 6(abc) b cb ab 6(abc) ac bc c ac bc 6(abc)[(cb)(bc)(ab)(ac)] 6(abc)(bcc2b2 bca2 acabbc) 6(abc)(a2b2 c2 acabbc) 3(abc)[(ab)2(bc)2 (ca)2], 由于三条直线互不相同,所以(ab)2 (bc)2 (ca)2  0,故 abc  0. “充分性”. 由abc  0,则从必要性的证明可知, A 0,故秩(A)3. 由于 a 2b 1 3  2(acb2)  2[a(ab)b2]=2[(a b)2  b2] 0, b 2c 2 4 故秩(A)2.于是,秩(A)=秩(A)=2.因此方程组(*)有唯一解,即三直线l ,l ,l 交 1 2 3 于一点. 方法2:“必要性” x  a 2b 3c 0     设三直线交于一点(x ,y ),则 y 为BX  0的非零解,其中B b 2c 3a . 0 0  0     1     c 2a 3b  所以|B|0.而 a 2b 3c a 2b 3c B  b 2c 3a  b 2c 3a  A c 2a 3b c 2a 3b 3(abc)[(ab)2(bc)2 (ca)2],(解法同方法1) 但根据题设 (ab)2 (bc)2 (ca)2  0,故abc  0. “充分性”:考虑线性方程组 ax2by  3c,  bx2cy  3a, (*)  cx2ay  3b, 将方程组(*)的三个方程相加,并由abc  0.可知,方程组(*)等价于方程组 ax2by  3c,  (**) bx2cy  3a. a 2b 因为  2(acb2)  2[a(ab)b2]=[a2 b2 (ab)2]0, b 2c 故方程组(**)有唯一解,所以方程组(*)有唯一解,即三直线l ,l ,l 交于一点. 1 2 3 十一【详解】乙箱中可能的次品件数为0,1,2,3,分别求出其概率,再按定义求数学期望即可; 而求从乙箱中任取一件产品是次品的概率,涉及到两次试验,是典型的用全概率公式的情形, 第一次试验的各种可能结果(取到的次品数)就是要找的完备事件组. (1) 方法1:X 的可能取值为0,1,2,3, 取出k件次品k 0,1,2,3的取法有CkC3k种; 3 3 样本空间即从两个箱子中取出3件产品的总的取法数为C3.所以有,X 的概率分布为 6 CkC3k P{X  k} 3 3 , k 0,1,2,3. C3 6 即 X 0 1 2 3 1 9 9 1 P 20 20 20 20 因此,由离散型数学期望的定义 n E(X)x PX  x  k k k1 1 9 9 1 3 易得 E(X)0 1 2 3  . 20 20 20 20 2 方法2:本题对数学期望的计算也可用分解法: 设 0, 从甲箱中取出的第i件产品是合格品, X  i 1, 从甲箱中取出的第i件产品是次品. 则X 的概率分布为 i X 0 1 i 1 1 P i 1,2,3. 2 2 因为X  X  X  X ,所以由数学期望的线性可加性,有 1 2 33 EX EX EX EX   . 1 2 3 2 (2) 设A表示事件“从乙箱中任取一件产品是次品”,由于{X 0},{X 1},{X  2}, {X 3}构成完备事件组,因此根据全概率公式,有 3 3 k 1 3 P(A)  P{X  k}P{AX  k}= P{X k}  kP{X k} 6 6 k0 k0 k0 1 1 3 1  EX   . 6 6 2 4 十二【分析】本题表面上是一数理统计问题,实际上考查了求分布函数、随机变量的函数求 分布和概率密度以及数学期望的计算等多个知识点.将数理统计的概念与随机变量求分布与 数字特征结合起来是一种典型的命题形式. 求分布函数F(X)是基本题型:求统计量 ˆ 的分布函数F (x),可作为多维相互独立且 ˆ ˆ 同分布的随机变量函数求分布函数,直接用定义即可;是否具有无偏性,只需检验E 是否成立. 【详解】(1) 由连续型随机变量分布函数的定义,有 x 1e2(x),x , F(x)   f(t)dt     0, x . ˆ (2) 由题给 min(X ,X ,,X ).,有 1 2 n F (x)  P{ˆ  x} P{min(X ,X ,,X ) x} ˆ 1 2 n 1P{min(X ,X ,,X ) x}1P{X  x,X  x,,X  x} 1 2 n 1 2 n 1e2n(x),x, 1[1F(x)]n   0, x. ˆ (3) 由连续型随机变量概率密度是分布函数在相应区间上的微分得概率密度为 dF (x) 2ne2n(x),x , f (x)  ˆ   ˆ dx  0, x . 因为 E( ˆ )  xf (x)dx  2nxe2n(x)dx  1 ,  ˆ  2n ˆ 所以作为的估计量不具有无偏性.