当前位置:首页>文档>第3节分式学案(含答案)2025年中考数学人教版一轮复习_2数学总复习_2025中考复习资料_2025年人教版中考数学一轮复习学案(含答案)

第3节分式学案(含答案)2025年中考数学人教版一轮复习_2数学总复习_2025中考复习资料_2025年人教版中考数学一轮复习学案(含答案)

  • 2026-04-06 06:53:42 2026-02-06 02:32:29

文档预览

第3节分式学案(含答案)2025年中考数学人教版一轮复习_2数学总复习_2025中考复习资料_2025年人教版中考数学一轮复习学案(含答案)
第3节分式学案(含答案)2025年中考数学人教版一轮复习_2数学总复习_2025中考复习资料_2025年人教版中考数学一轮复习学案(含答案)
第3节分式学案(含答案)2025年中考数学人教版一轮复习_2数学总复习_2025中考复习资料_2025年人教版中考数学一轮复习学案(含答案)
第3节分式学案(含答案)2025年中考数学人教版一轮复习_2数学总复习_2025中考复习资料_2025年人教版中考数学一轮复习学案(含答案)
第3节分式学案(含答案)2025年中考数学人教版一轮复习_2数学总复习_2025中考复习资料_2025年人教版中考数学一轮复习学案(含答案)
第3节分式学案(含答案)2025年中考数学人教版一轮复习_2数学总复习_2025中考复习资料_2025年人教版中考数学一轮复习学案(含答案)
第3节分式学案(含答案)2025年中考数学人教版一轮复习_2数学总复习_2025中考复习资料_2025年人教版中考数学一轮复习学案(含答案)
第3节分式学案(含答案)2025年中考数学人教版一轮复习_2数学总复习_2025中考复习资料_2025年人教版中考数学一轮复习学案(含答案)
第3节分式学案(含答案)2025年中考数学人教版一轮复习_2数学总复习_2025中考复习资料_2025年人教版中考数学一轮复习学案(含答案)
第3节分式学案(含答案)2025年中考数学人教版一轮复习_2数学总复习_2025中考复习资料_2025年人教版中考数学一轮复习学案(含答案)
第3节分式学案(含答案)2025年中考数学人教版一轮复习_2数学总复习_2025中考复习资料_2025年人教版中考数学一轮复习学案(含答案)
第3节分式学案(含答案)2025年中考数学人教版一轮复习_2数学总复习_2025中考复习资料_2025年人教版中考数学一轮复习学案(含答案)

文档信息

文档格式
docx
文档大小
0.155 MB
文档页数
8 页
上传时间
2026-02-06 02:32:29

文档内容

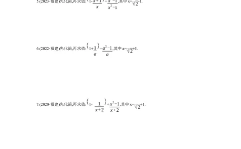
第 3 节 分式 回归教材·过基础 【知识体系】 【考点清单】 知识点1 分式的有关概念和性质 知识点2 分式的运算 b d {乘法: · =⑨ ❑ a c 乘除 b d b c 除法: ÷ = · =⑩ ❑ a c a d 约分的关键是确定分子、分母的公因式{系数:最大公约数 字母:相同字母取最低次幂 分式的乘方法则:分式的乘方要把分子、分母分别乘方,即 b n= (n为正整数) aa b {同分母分式相加减: ± =⑫ ❑ c c 加减 a c ad bc 异分母分式相加减: ± = ± =⑬ ❑ b d bd bd 通分的关键是寻找最简公分母{系数:最小公倍数 字母:相同字母取最高次幂 【基础演练】 2x x2-x-2 ❑√x+3 x2-1 (一题多角度)已知式子:① ;② ;③x+1;④ ;⑤ . 3x+2 x−2 x2-1 1−x (1)以上式子中,是分式的有 ;是最简分式的有 .(填序号) 2x ❑√x+3 (2)若式子 有意义,则x的取值范围是 ;若式子 有意义,则x的取值范围是 3x+2 x2-1 . x2-x-2 (3)若分式 的值为0,则x的值为 . x−2 x2-1 (4)化简式子 的结果为 . 1−x x2-x-2 (5)计算 ÷(x+1)的结果是 . x−2 (6)先化简,再求值: 2x ÷ x2-x-3x−x2 ,其中x=3. 3x+2 1−x x−1 真题精粹·重变式 考向1 分式的概念和性质 热点训练 1 1.分式 有意义的条件是 ( ) 3+x A.x=-3 B.x≠-3 C.x≠3 D.x≠02x 2.当x= 时,分式 的值为零. x+2 考向2 分式的运算 6年6考 1 2 ab−a 3.(2023·福建)已知 + =1,且a≠-b,则 的值为 . a b a+b x x−y+3xy 4.(2021·福建)已知非零实数x,y满足y= ,则 的值等于 . x+1 xy 5.(2023·福建)先化简,再求值: 1-x+1 ÷x2-1 ,其中x= -1. ❑√2 x x2-x 6.(2022·福建)先化简,再求值: 1+1 ÷a2-1,其中a= +1. ❑√2 a a 7.(2020·福建)先化简,再求值: 1- 1 ÷x2-1,其中x= +1. ❑√2 x+2 x+2 8.(2019·福建)先化简,再求值:(x-1)÷ x-2x−1 ,其中x= +1. ❑√2 x 热点训练2m+1 m2-1 9.先化简,再求值: -1 ÷ ,其中m=❑√3+1. m m 1 a 10.(拓展)先化简,再求值: 1- · ,其中a=❑√2-1. a a2-1 x+1 1 3 11.以下是某同学化简分式 - ÷ 的部分运算过程: x2-4 x+2 x−2 x+1 1 x−2 原式= (x+2)(x-2) - x+2 × 3 ① x+1 x−2 x−2 = - × ② (x+2)(x-2) (x+2)(x-2) 3 x+1−x−2 x−2 = × ③ (x+2)(x-2) 3 …… (1)上面的运算过程中第 步出现了错误. (2)请你写出完整的解答过程. 1 1 x+2 12.先化简 - ÷ ,然后从-1,0,1中选择适当的数代入求值. x−1 x+1 x2-1核心方法 分式的化简求值中的“四注意” 1.化简求值类的问题一定要做到先化简,再求值,否则不得分; 2.通分时若有常数项,要记得给常数项乘最小公分母; 3.注意化简结果应为最简分式; 4.必须保证所代入的值使原分式的分母及运算过程中分式的分母都不为0.参考答案 回归教材·过基础 考点清单 ①分子 ②分母 ③B≠0 ④B=0 ⑤A=0,B≠0 ⑥公因式 ⑦最简分式 ⑧整式 ⑨bd ⑩bc bn a±b ad±bc ac ad an c bd 基础演练 2 (1)①②⑤ ① (2)x≠- x≥-3且x≠±1 (3)-1 (4)-x-1 (5)1 3 (6)解析:原式= 2x ÷ x2-x+3x-x2 3x+2 1−x 1−x 2x x2-x+3x-x2 = ÷ 3x+2 1−x 2x 2x = ÷ 3x+2 1−x 2x 1−x = · 3x+2 2x 1−x = . 3x+2 1−3 2 当x=3时,原式= =- . 3×3+2 11 真题精粹·重变式 1.B 2.0 1 2 3.1 解析:∵ + =1. a b b 2a 2a+b ∴ + = =1, ab ab ab ∴ab=2a+b, ab-a 2a+b-a a+b ∴ = = =1. a+b a+b a+b 4.4x-(x+1) x(x-1) 5.解析:原式= · x (x+1)(x-1) 1 x 1 =- · =- . x x+1 x+1 当x=❑√2-1时, 1 ❑√2 原式=- =- . ❑√2-1+1 2 a 1 a 6.解析:原式= + × a a (a+1)(a-1) a+1 a 1 = × = . a (a+1)(a-1) a-1 1 1 ❑√2 当a=❑√2+1时,原式= = = . ❑√2+1−1 ❑√2 2 x+2−1 x+2 1 7.解析:原式= · = . x+2 (x+1)(x-1) x-1 1 ❑√2 当x=❑√2+1时,原式= = . ❑√2+1−1 2 x2-2x+1 x x 8.解析:原式=(x-1)÷ =(x-1)· = . x (x-1)2 x-1 ❑√2+1 ❑√2+1 2+❑√2 ❑√2 当x=❑√2+1时,原式= = = =1+ . ❑√2+1−1 ❑√2 2 2 2m+1−m m 9.解析:原式= · m (m+1)(m-1) m+1 m 1 = · = . m (m+1)(m-1) m-1 1 1 ❑√3 当m=❑√3+1时,原式= = = . ❑√3+1−1 ❑√3 3 a-1 a 1 10.解析:原式= · = . a (a+1)(a-1) a+1 当a=❑√2-1时, 1 ❑√2 原式= = . ❑√2-1+1 2 11.解析:(1)③. x+1 1 x-2 (2)原式= - × (x+2)(x-2) x+2 3= x+1 - x-2 ×x-2= x+1−x+2 ×x-2 (x+2)(x-2) (x+2)(x-2) 3 (x+2)(x-2) 3 3 x-2 1 = × = . (x+2)(x-2) 3 x+2 12.解析:原式= x+1 x-1 x+2 x+1−x+1 (x-1)(x+1) - ÷ = × (x-1)(x+1) (x-1)(x+1) (x-1)(x+1) (x-1)(x+1) x+2 2 (x-1)(x+1) 2 = × = . (x-1)(x+1) x+2 x+2 ∵x+1≠0且x-1≠0且x+2≠0, ∴x≠-1且x≠1且x≠-2, 当x=0时,分母不为0, 2 原式= =1. 0+2