当前位置:首页>文档>1993考研数学一真题及答案解析公众号:小乖考研免费分享_04.数学一历年真题_普通版本数学一_1987-2016考研数学(一)真题答案与解析

1993考研数学一真题及答案解析公众号:小乖考研免费分享_04.数学一历年真题_普通版本数学一_1987-2016考研数学(一)真题答案与解析

  • 2026-04-16 15:46:25 2026-02-06 17:33:02

文档预览

1993考研数学一真题及答案解析公众号:小乖考研免费分享_04.数学一历年真题_普通版本数学一_1987-2016考研数学(一)真题答案与解析
1993考研数学一真题及答案解析公众号:小乖考研免费分享_04.数学一历年真题_普通版本数学一_1987-2016考研数学(一)真题答案与解析
1993考研数学一真题及答案解析公众号:小乖考研免费分享_04.数学一历年真题_普通版本数学一_1987-2016考研数学(一)真题答案与解析
1993考研数学一真题及答案解析公众号:小乖考研免费分享_04.数学一历年真题_普通版本数学一_1987-2016考研数学(一)真题答案与解析
1993考研数学一真题及答案解析公众号:小乖考研免费分享_04.数学一历年真题_普通版本数学一_1987-2016考研数学(一)真题答案与解析
1993考研数学一真题及答案解析公众号:小乖考研免费分享_04.数学一历年真题_普通版本数学一_1987-2016考研数学(一)真题答案与解析
1993考研数学一真题及答案解析公众号:小乖考研免费分享_04.数学一历年真题_普通版本数学一_1987-2016考研数学(一)真题答案与解析
1993考研数学一真题及答案解析公众号:小乖考研免费分享_04.数学一历年真题_普通版本数学一_1987-2016考研数学(一)真题答案与解析
1993考研数学一真题及答案解析公众号:小乖考研免费分享_04.数学一历年真题_普通版本数学一_1987-2016考研数学(一)真题答案与解析
1993考研数学一真题及答案解析公众号:小乖考研免费分享_04.数学一历年真题_普通版本数学一_1987-2016考研数学(一)真题答案与解析
1993考研数学一真题及答案解析公众号:小乖考研免费分享_04.数学一历年真题_普通版本数学一_1987-2016考研数学(一)真题答案与解析
1993考研数学一真题及答案解析公众号:小乖考研免费分享_04.数学一历年真题_普通版本数学一_1987-2016考研数学(一)真题答案与解析
1993考研数学一真题及答案解析公众号:小乖考研免费分享_04.数学一历年真题_普通版本数学一_1987-2016考研数学(一)真题答案与解析
1993考研数学一真题及答案解析公众号:小乖考研免费分享_04.数学一历年真题_普通版本数学一_1987-2016考研数学(一)真题答案与解析
1993考研数学一真题及答案解析公众号:小乖考研免费分享_04.数学一历年真题_普通版本数学一_1987-2016考研数学(一)真题答案与解析
1993考研数学一真题及答案解析公众号:小乖考研免费分享_04.数学一历年真题_普通版本数学一_1987-2016考研数学(一)真题答案与解析
1993考研数学一真题及答案解析公众号:小乖考研免费分享_04.数学一历年真题_普通版本数学一_1987-2016考研数学(一)真题答案与解析
1993考研数学一真题及答案解析公众号:小乖考研免费分享_04.数学一历年真题_普通版本数学一_1987-2016考研数学(一)真题答案与解析
1993考研数学一真题及答案解析公众号:小乖考研免费分享_04.数学一历年真题_普通版本数学一_1987-2016考研数学(一)真题答案与解析
1993考研数学一真题及答案解析公众号:小乖考研免费分享_04.数学一历年真题_普通版本数学一_1987-2016考研数学(一)真题答案与解析
1993考研数学一真题及答案解析公众号:小乖考研免费分享_04.数学一历年真题_普通版本数学一_1987-2016考研数学(一)真题答案与解析
1993考研数学一真题及答案解析公众号:小乖考研免费分享_04.数学一历年真题_普通版本数学一_1987-2016考研数学(一)真题答案与解析
1993考研数学一真题及答案解析公众号:小乖考研免费分享_04.数学一历年真题_普通版本数学一_1987-2016考研数学(一)真题答案与解析

文档信息

文档格式
doc
文档大小
2.659 MB
文档页数
19 页
上传时间
2026-02-06 17:33:02

文档内容

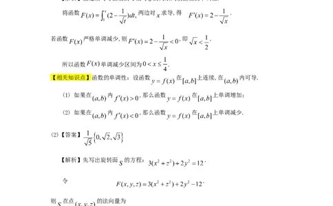
Born to win 1993 年全国硕士研究生入学统一考试数学一试题 一、填空题(本题共5小题,每小题3分,满分15分,把答案填在题中横线上.) (1) 函数 的单调减少区间为______________. (2) 由曲线 绕 轴旋转一周得到的旋转面在点 处的指向外侧 的单位法向量为______________. (3) 设函数 的傅里叶级数展开式为 ,则其中系数 的值为______________. (4) 设数量场 则 ______________. (5) 设 阶矩阵 的各行元素之和均为零,且 的秩为 ,则线性方程组 的通解 为______________. 二、选择题(本题共5小题,每小题3分,满分15分,在每小题给出的四个选项中,只有一项是 符合题目要求的,把所选项前的字母填在题后的括号内.) (1) 设 , 则当 时, 是 的 ( ) (A) 等价无穷小 (B) 同阶但非等价无穷小 (C) 高阶无穷小 (D) 低阶无穷小 (2) 双纽线 所围成的区域面积可用定积分表示为 ( ) (A) (B) (C) (D) (3) 设有直线 与 ,则 与 的夹角为 ( ) (A) (B) 1Born to win (C) (D) (4) 设曲线积分 与路径无关,其中 具有一阶连续 导数,且 ,则 等于 ( ) (A) (B) (C) (D) (5) 已知 , 为三阶非零矩阵,且满足 ,则 (A) 时, 的秩必为1 (B) 时, 的秩必为2 (C) 时, 的秩必为1 (D) 时, 的秩必为2 三、(本题共3小题,每小题5分,满分15分.) (1) 求 . (2) 求 . (3) 求微分方程 ,满足初始条件 的特解. 四、(本题满分6分) 计算 ,其中 是由曲面 与 所围立体的表面外侧. 五、(本题满分7分) 求级数 的和. 六、(本题共2小题,每小题5分,满分10分.) (1) 设在 上函数 有连续导数,且 证明 在 内有且仅有一个零点. 2Born to win (2) 设 ,证明 . 七、(本题满分8分) 已知二次型 ,通过正交变换化成标准形 ,求参数 及所用的正交变换矩阵. 八、(本题满分6分) 设 是 矩阵, 是 矩阵,其中 , 是 阶单位矩阵,若 ,证明 的列向量组线性无关. 九、(本题满分6分) 设物体 从点 出发,以速度大小为常数 沿 轴正向运动.物体 从点 与 同时出发,其速度大小为 ,方向始终指向 ,试建立物体 的运动轨迹所满足的微分方 程,并写出初始条件. 十、填空题(本题共2小题,每小题3分,满分6分,把答案填在题中横线上.) (1) 一批产品共有10个正品和2个次品,任意抽取两次,每次抽一个,抽出后不再放回,则第 二次抽出的是次品的概率为_______. (2) 设随机变量 服从 上的均匀分布,则随机变量 在 内的概率分布密 度 _______. 十一、(本题满分6分) 设随机变量 的概率分布密度为 , . (1) 求 的数学期望 和方差 . (2) 求 与 的协方差,并问 与 是否不相关? (3) 问 与 是否相互独立?为什么? 3Born to win 1993 年全国硕士研究生入学统一考试数学一试题解析 一、填空题(本题共5个小题,每小题3分,满分15分.) (1)【答案】 【解析】由连续可导函数的导数与 的关系判别函数的单调性. 将函数 两边对 求导,得 . 若函数 严格单调减少,则 ,即 . 所以函数 单调减少区间为 . 【相关知识点】函数的单调性:设函数 在 上连续,在 内可导. (1) 如果在 内 ,那么函数 在 上单调增加; (2) 如果在 内 ,那么函数 在 上单调减少. (2)【答案】 【解析】先写出旋转面 的方程: . 令 . 则 在点 的法向量为 , 所以在点 处的法向量为 . 因指向外侧,故应取正号,单位法向量为 4Born to win . (3)【答案】 【解析】按傅式系数的积分表达式 , 所以 . 因为 为奇函数,所以 ; 为偶函数,所以 . (4)【答案】 【解析】先计算 的梯度,再计算该梯度的散度. 因为 , 所以 . 数量场 分别对 求偏导数,得 , 由对称性知 5Born to win , , 将 分别对 求偏导,得 , , , 因此, . (5)【答案】 【解析】因为 ,由 知,齐次方程组的基础解系为一个向量,故 的通解形式为 .下面根据已知条件“ 的各行元素之和均为零”来分析推导 的一个非零解,它就是 的基础解系. 各行元素的和均为0,即 , 而齐次方程组 为 . 两者比较,可知 是 的解.所以应填 . 6Born to win 二、选择题(本题共5小题,每小题3分,满分15分.) (1)【答案】(B) 【解析】 为“ ”型的极限未定式,又分子分母在点 处导数都存在, 运用洛必达法则,有 . 因为当 , 所以 ,所以 , 所以 与 是同阶但非等价的无穷小量.应选(B). 【相关知识点】无穷小的比较: 设在同一个极限过程中, 为无穷小且存在极限 , (1) 若 称 在该极限过程中为同阶无穷小; (2) 若 称 在该极限过程中为等价无穷小,记为 ; (3) 若 称在该极限过程中 是 的高阶无穷小,记为 . 若 不存在(不为 ),称 不可比较. (2)【答案】(A) 【解析】由方程可以看出双纽线关于 轴、 轴对称,(如草图) 只需计算所围图形在第一象限部分的面积; 双纽线的直角坐标方程复杂,而极坐标方程 较为简单: . 显然,在第一象限部分 的变化范围是 7Born to win .再由对称性得 , 应选(A). (3)【答案】(C) 【解析】这实质上是求两个向量的夹角问题, 与 的方向向量分别是 , 与 的夹角 的余弦为 , 所以 ,应选(C). (4)【答案】(B) 【解析】在所考察的单连通区域上,该曲线积分与路径无关 , 即 , 化简得 , 即 , 解之得 , 所以 . 由 得 ,因此 ,故应选(B). 【相关知识点】曲线积分 在单连通区域内与路径无关的充分必要条件是 . (5)【答案】(C) 8Born to win 【解析】若 是 矩阵, 是 矩阵, ,则 . 当 时,矩阵的三行元素对应成比例, ,有 ,知 , 所以, 可能是1,也有可能是2,所以(A)、(B)都不准确; 当 时,矩阵的第一行和第三行元素对应成比例, ,于是从 得 ,又因 ,有 ,从而 必成立,所以应当选(C). 三、(本题共3小题,每小题5分,满分15分.) (1)【解析】令 ,则当 时, , , 这是 型未定式, , 而 是两个重要极限之一,即 . 所以 . 而 , 故 . (2)【解析】方法一: . 令 ,则 , 所以 9Born to win , 所以 . 方法二:令 ,则 , 所以 . 关于 的求解同方法一,所以 . (3)【解析】解法一:所给方程为伯努利方程,两边除以 得 ,即 . 令 ,则方程化为 ,即 , 即 , 积分得 . 由 得 , 即 , 代入初始条件 ,得 ,所以所求方程的特解是 . 10Born to win 解法二:所给方程可写成 的形式,此方程为齐次方程. 令 ,则 ,所以方程可化为 ,分离变量得 , 积分得 , 即 . 以 代入上式,得 .代入初始条件 ,得 , 故特解为 . 四、(本题满分6分) 【解析】将 表成 ,则 . 又 是封闭曲面,可直接用高斯公式计算. 记 围成区域 ,见草图, 取外侧,由高斯公式得 . 用球坐标变换求这个三重积分. 在球坐标变换下, 为: ,于是 . 五、(本题满分7分) 【解析】先将级数分解, 11Born to win . 第二个级数是几何级数,它的和已知 . 求第一个级数的和转化为幂级数求和.考察 . , 所以 . 因此原级数的和 . 六、(本题共2小题,每小题5分,满分10分.) (1)【解析】证法一:由拉格朗日中值定理可知,在 存在一点 ,使得 , 即 . 因为 ,所以当 时, ,故 . 由 ,所以在 上由介值定理可知,必有一点 使得 . 又因为 ,故 为严格单调增函数,故 值唯一. 证法二:用牛顿-莱布尼兹公式,由于 , 以下同方法1. 12Born to win (2)【解析】先将不等式做恒等变形: 因为 ,故原不等式等价于 或 . 证法一:令 ,则 . 因为 ,所以 ,故 . 从而 在 时为严格的单调递增函数,故 . 由此 ,即 . 证法二:令 ,则 . 当 时, ,所以 为严格的单调递减函数,故存在 使得 成立.即 . 七、(本题满分8分) 【解析】写出二次型 的矩阵为 ,它的特征方程是 . 经正交变换化成标准形 ,那么标准形中平方项的系数1,2,5就是 的 特征值. 把 代入特性方程,得 . 因 知 .这时 . 对于 ,由 , ,得 . 13Born to win 对于 ,由 , ,得 . 对于 ,由 , ,得 . 将 单位化,得 . 故所用的正交变换矩阵为 . 【相关知识点】二次型的定义:含有 个变量 的二次齐次多项式(即每项都是二 次的多项式) 其中 , 称为 元二次型.令 , ,则二次型可用矩阵乘法表示为 其中 是对称矩阵 ,称 为二次型 的矩阵. 八、(本题满分6分) 【解析】证法一:对 按列分块,记 ,若 , 14Born to win 即 , 亦即 . 两边左乘 ,得 ,即 ,亦即 . 所以 线性无关. 证法二:因为 是 矩阵, ,所以 . 又因 ,故 .所以 线性无关. 【相关知识点】1. 向量组线性相关和线性无关的定义:存在一组不全为零的数 , 使 ,则称 线性相关;否则,称 线性无 关. 2. 矩阵乘积秩的结论:乘积的秩小于等于单个矩阵的秩 九、(本题满分6分) 【解析】如图,设当 运动到 时, 运动到 . 由 的方向始终指向 ,有 ,即 (1) 又由 , ,得 . 由题意, 单调增, ,所以 .亦即 15Born to win . (2) 由(1),(2)消去 , ,便得微分方程 . 初始条件显然是 . 十、填空题(本题共2小题,每小题3分,满分6分,把答案填在题中横线上.) (1)【解析】可以用古典概型,也可以用抽签原理. 方法一:从直观上看,第二次抽出次品的可能性与第一次抽到正品还是次品有关,所以考虑 用全概率公式计算. 设事件 “第 次抽出次品” 由已知得 .应用全概率公式 . 方法二:对填空题和选择题可直接用抽签原理得到结果. 由抽签原理(抽签与先后次序无关),不放回抽样中第二次抽得次品的概率与第一次抽得 次品的概率相同,都是 . (2)【解析】方法一:可以用分布函数法,即先求出分布函数,再求导得到概率密度函数. 由已知条件, 在区间 上服从均匀分布,得 的概率密度函数为 . 先求 的分布函数 . 当 时, ;当 时, ;当 时, . 16Born to win 即 于是,对分布函数求导得密度函数 . 故随机变量 在 内的概率分布密度 . 方法二:也可以应用单调函数公式法. 由于 在(0,4)内单调,反函数 在(0,2)内可导,且导数 恒不为零,因此,由连续型随机变量函数的密度公式,得到随机变量 的概率 密度为 故随机变量 在 内的概率分布密度 . 十一、(本题满分6分) 【解析】(1)第一问是常规问题,直接运用公式对其计算可得期望与方差. . (因为被积函数 是奇函数,积分区域关于 轴对称,所以积分值为0.) 17Born to win (2) 根据协方差的计算公式 来计算协方差. 因为 ,所以 (因为被积函数 是奇函数,积分区域关于 轴对称,所以积分值为0.) 所以 与 不相关. (3) 方法一: 对于任意正实数 ,事件 含于事件 ,且 , 所以 , , 可见 , 因此 与 不独立. 方法二:因为 ; 又 ,显然有 ,因此 与 不独立. 18Born to win 19