当前位置:首页>文档>2024考研数学一真题答案解析公众号:小乖考研免费分享_04.数学一历年真题_普通版本数学一

2024考研数学一真题答案解析公众号:小乖考研免费分享_04.数学一历年真题_普通版本数学一

  • 2026-04-12 12:18:32 2026-02-06 18:19:01

文档预览

2024考研数学一真题答案解析公众号:小乖考研免费分享_04.数学一历年真题_普通版本数学一
2024考研数学一真题答案解析公众号:小乖考研免费分享_04.数学一历年真题_普通版本数学一
2024考研数学一真题答案解析公众号:小乖考研免费分享_04.数学一历年真题_普通版本数学一
2024考研数学一真题答案解析公众号:小乖考研免费分享_04.数学一历年真题_普通版本数学一
2024考研数学一真题答案解析公众号:小乖考研免费分享_04.数学一历年真题_普通版本数学一
2024考研数学一真题答案解析公众号:小乖考研免费分享_04.数学一历年真题_普通版本数学一
2024考研数学一真题答案解析公众号:小乖考研免费分享_04.数学一历年真题_普通版本数学一
2024考研数学一真题答案解析公众号:小乖考研免费分享_04.数学一历年真题_普通版本数学一
2024考研数学一真题答案解析公众号:小乖考研免费分享_04.数学一历年真题_普通版本数学一
2024考研数学一真题答案解析公众号:小乖考研免费分享_04.数学一历年真题_普通版本数学一
2024考研数学一真题答案解析公众号:小乖考研免费分享_04.数学一历年真题_普通版本数学一
2024考研数学一真题答案解析公众号:小乖考研免费分享_04.数学一历年真题_普通版本数学一
2024考研数学一真题答案解析公众号:小乖考研免费分享_04.数学一历年真题_普通版本数学一
2024考研数学一真题答案解析公众号:小乖考研免费分享_04.数学一历年真题_普通版本数学一
2024考研数学一真题答案解析公众号:小乖考研免费分享_04.数学一历年真题_普通版本数学一
2024考研数学一真题答案解析公众号:小乖考研免费分享_04.数学一历年真题_普通版本数学一
2024考研数学一真题答案解析公众号:小乖考研免费分享_04.数学一历年真题_普通版本数学一
2024考研数学一真题答案解析公众号:小乖考研免费分享_04.数学一历年真题_普通版本数学一
2024考研数学一真题答案解析公众号:小乖考研免费分享_04.数学一历年真题_普通版本数学一
2024考研数学一真题答案解析公众号:小乖考研免费分享_04.数学一历年真题_普通版本数学一
2024考研数学一真题答案解析公众号:小乖考研免费分享_04.数学一历年真题_普通版本数学一

文档信息

文档格式
pdf
文档大小
0.461 MB
文档页数
17 页
上传时间
2026-02-06 18:19:01

文档内容

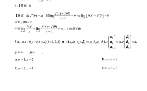
2024 考研数学(一) 真题 试卷及解析 一、选择题:1~10小题,每小题5分,共50分.下列每题给出的四个选项中,只有一个选 项是符合题目要求的. 1. 设 f(x)  x ecostdt,g(x)  sinx et2 dt ,则下列正确的是 0 0 A. f(x) 为奇函数, g(x) 为偶函数 B. f(x) 为偶函数, g(x) 为奇函数 C. f(x),g(x) 均为奇函数 D. f(x),g(x) 均为周期函数 1.【答案】C 【解析】ecost关于t是偶函数,则 x ecostdt是奇函数,由 g(x)  sinx et2 dt,则 0 0 g(x)  sinx et2 dt   sinx et2 dt ,令t  u,则g(x) sinx eu2 du, 0 0 0 于是g(x)g  x  ,g(x)是奇函数. 2.已知P P  x,y,z  ,QQ  x,y,z  均连续, 为z  1x2  y2,x0,y 0的上侧, 则 PdydzQdzdx   x y  A.  P Qdxdy  z z    x y  B.   P Qdxdy  z z    x y  C.  P Qdxdy  z z    x y  D.   P Qdxdy  z z   2.【答案】A由转换投影公式。  z  z  P   dxdyQ  dxdy  x  y    x  y  P   Q dxdy   z  z   Px Qy    dxdy.  z z   选A   3.幂级数  a xn 的和函数为ln(2 x),则  na  n 2n n0 n0 1 1 A. B. 6 3 1 1 C. D. 6 3 3.【答案】A  x 【解析】ln  2x ln1  ln2  2 n  x    2 ln2 (1)n1 n n1 2 3 4 6  x  x  x  x           x 2 2 2 2 ln2        2 2 3 4 6   na 0a 2a 3a 4a  2n 2 4 6 8 n0 1  1  1  2    3  222  244 266  1 1 1       23 25 27   1  1  23  8 1 4 1      1 3 8 3 6 1   22  44.设函数 f  x  在区间 1,1  上有定义,且limf  x 0,则 x0 f x A.lim  m,则f0 m. x0 x f x B.f0 m,则lim  m. x0 x C.limf x m,则f 0 m. x0 D.f 0 m,则limf x m. x0 4.【答案】B f(x) f(0) 【解析】由 f (0)  m. 则lim mlim  f(x) f(0) 0 x0 x0 x0 从而 f(0)0 f(x) f(x) f(0) 于是lim lim  m,B选项正确 x0 x x0 x0    1 1     5. :axbycz d  i1,2,3  ,  a,b,c  ,  a,b,c,d  ,r  m,r  n, i i i i i i i i i i i i i i  2  2           3 3 则m ,n . A.m 1,n  2. B.mn2. C.m  2,n 3. D.mn3.5.【答案】B 【解析】由题意可知, , , 相交于一条直线,且不重合 1 2 3 a xb yc z  d 1 1 1 1  即方程组a xb yc z  d 有无穷多解,且α ,α ,α 两两不相关 2 2 2 2 1 2 3  a xb yc z  d 3 3 3 3 α   β  1 1     故r  α 3 r  β 2 3,r  α i ,α j   2i  j     α  β  3 3 故mn2. a  1  1        1 1 a       6.设向量  ,  ,  ,若, , 线性相关,且其中任意两个向量均线 1 1 2 b 3 1 1 2 3        1  a  1  性无关,则 A.a 1,b1 B.a 1,b  1 C.a  2,b2 D.a 2,b2 6.【答案】 D. 【解析】 由  a 1 1  1 1 a  1 1 a        1 1 a 0 1a 1a2 0 1a 1a2 A α ,α ,α          1 2 3 1 b 1 0 b1 a1 0 b1 a1         1 a 1  0 a1 1a  0 0 2a2a 由 r  α ,α ,α  2 且 r  α ,α   2i  j 1 2 3 i j 故 r  α ,α ,α  2 1 2 3 1 当a1时,α 与α 相关,不满足题意 1 3 1 1 a  1 1 a      0 1 1a 0 1 1a 2 当a1时, α ,α ,α       1 2 3 0 b1 a1 0 0 b  a1 2     0 0 a2 0 0 a2  故要满足题意,则a20且b  a1 20 a2  b27.设A是秩为2的3阶矩阵,是满足A=0的非零向量,若对满足Τ= 0 的3维列向 量 ,均有A=,则 A.A3的迹为2 B.A3的迹为5 C.A2的迹为8 D.A2的迹为9 【答案】A 【解析】由Aα0且r  A 2可知0为特征值(且为单根),α为特征向量 由于Aβ  β 1β且β与α正交 所以β为特征值1对应的特征向量,且1为二重根 1 0 0  记 所以存在可逆P ,使得P1AP  0 1 0 Λ     0 0 0 所以P1AnP  Λn  Λ 即tr  An  tr  Λn  2,选A 8.设随机变量X,Y 相互独立,且 X 服从正态分布N  0,2  ,Y服从正态分布N 2,2  ,若 P  2X Y a  P  X Y  ,则a  A.2 10. B.2 10. C.2 6. D.2 6. 8.【答案】B 【解析】E(2X Y)  2EX  EY  2, D(2X Y)4DX DY 422102X Y 2 a2 a2 所以2X Y ~ N(2,10), X Y ~ N(2,4), P    ,  10 10   10  X Y 2 02 a2 P  =1(1) (1), 1,即a  10 2  2 2  10 9.设随机变量 X 的概率密度为 f x   21 x,0 x 1 在X  x  0 x1  条件下,随机 0,其他. 变量Y服从区间  x,1  上的均匀分布,则Cov  X,Y  1 1 A. . B. . 36 72 1 1 C. . D. . 72 36 9.【答案】D  1  , x y1 2(1x), 0 x1 【解析】由题意可知 f (y∣x)1x f(x) Y∣X   0, 其他.  0, 其他. 2, 0 x y 1, f(x,y) 0, 其他. 1 1 1 1 EX  2x(1x)dx 2     0 2 3 3 E  XY   1 dx 1 2xydy  1 0 x 4  y  2dx2y, 0 y1, 1 2 f (y) 0 EY  2y2dy Y   0, 其他. 0 3 1 2 1 Cov(XY)   4 9 36 10. 设随机变量X,Y 相互独立,且均服从参数为的指数分布,令Z  X Y ,则下列随机 变量中与Z 同分布的是X Y A. X Y B. 2 C. 2X D. X 10.【答案】D 2e(xy), x0, y 0 【解析】X与Y的联合概率密度为 f(x,y) f (x) f (y)  X Y  0, 其他 设Z 的分布函数为F (z),则F (z) P  Z  z  P  X Y  z  Z Z 1 当z 0时,F (z)0; Z 2 当z 0时,F (z) P z  X Y  z 2P  0 X Y  z  Z  yz 2 eydy exdx. 0 y 2  ey ey e(yz) dy 0   2 e2ydy2ez e2ydy 0 0 1ez.   所以Z  E 1 ,从而Z与X服从相同的分布,选D. 二、填空题:11~16小题,每小题5分,共30分.  1ax2sinx 1 11.lim 6,则a _______. x0 x3 11.【答案】a6.  sinx   1ax2 1 esinxln(1ax2) 1 sinxln 1ax2 ax3 【解析】lim lim lim lim 6. x0 x3 x0 x3 x0 x3 x0 x3 所以a6. 12.设函数 f(u,v)具有二阶连续偏导数,且df(1,1)3du4dv,令 y f  cosx,1x2 , d2y 则 _______. dx2 x0 12.【答案】5【解析】由df(1,1)3du4dv,则 f(1.1)3, f(1.1)4,由 y f  cosx,1x2 x y dy 则  f' (sinx) f' 2x, dx 1 2 d2y  f(sinx) f2x(sinx) f(cosx)   f(sinx) f 2x  2x f2. dx2  11 12  1 21 22 2 因此 d2y  f 1,1  (1) f(1,1)2385. dx2 1 2 x0 a  13. 已 知 函 数 f  x  x1 , 若 f  x  0 a cosnx,x 0,π  , 则 2 n n1 limn2sina _______. 2n1 n 1 13.【答案】  【解析】由 1  2  2  a   f(x)cosnxdx   (x1)cosnxdx   xcosnxdx n    0  0 2  2       xdsinnx  xsinnx   sinnxdx n 0 n 0 0   2 1 cosnx    2 1 (1)n 1   2  (1)n1  .     nn 0 nn  n2 4 4 当为奇数时,a  ,则a  ,于是 n n2π 2n1 (2n1)2π 4 4 1 limn2sina limn2 sin limn2   . n 2n1 n (2n1)2 n (2n1)2  1 14.微分方程 y 满足条件 y(1)0的解为 . (x y)2 π 14.【答案】 arctan  x y  y 4 dx 【解析】方程化为 (x y)2 dydx du 令 u  x y 则  1 dy dy du 1 即 u2 1则 dudy dy u2 1 arctanu  yc π 代 x1,y 0,u 1. 得 c 4 π 得 arctan  x y  y 4 a1 a 15.设实矩阵A  ,若对任意实向量  a a x  y  = 1 ,β  1 ,  ΤAβ 2 ΤAβΤAβ x  y  2 2 均成立,则a的取值范围是________. 15.【答案】 a0 【解析】易知 AT  A A可正交相似对角化且A的特征值为实数,   即存在正交阵 Q 使 QTAQ 1  Λ  AQΛQT    2 又α, 有  ΤAβ 2 ΤAβΤAβ, 即  αTQΛQTβ 2 αTQΛQTαβTQΛQTβ a  b  记 QTαα  1 ,QTβ  β  1  1 a  1 b  2 2 即  αTΛβ 2 αTΛβαTΛβ 1 1 1 1 1 1 即 ab a b 2   a2 a2  b2 b2  1 1 1 2 2 2 1 1 2 2 1 1 2 22a2b2 2a2b2 2aba b  2a2b2 2a2b2 a2b2 a2b2 1 1 1 2 2 2 1 2 1 1 2 2 1 1 1 2 2 2 1 2 1 2 1 2 2 1  2aba b a2b2a2b2  a2b2a2b22aba b 0 1 2 1 1 2 2 1 2 1 2 1 2 2 2 1 2  1 2 2 1 1 1 2 2  a1 a  ab a b 2 0 0| A| a2 aa2 a0 1 2 1 2 2 1 1 2 a a 16. 设随机试验每次成功的概率为 p,现进行3次独立重复试验,在至少成功1次的条件下, 4 3次试验全部成功的概率为 ,则 p . 13 2 16.【答案】 p  3 【解析】设事件A:全成功,B:至少成功一次,则 P(AB) P(A) p3 4 P  A|B     , P(B) P(B) 1(1p)3 13 13p3 44(1 p)3 2 整理得 p(3p2)(3p6)0 p . 3 三、解答题:17~22小题,共70分.解答应写出文字说明、证明过程或演算步骤.   x 17. 已知平面区域D  (x,y)| 1 y2  x1,1 y1 ,计算 dxdy. x2  y2 D 【解析】 x x  dxdy 2 dxdy x2  y2 x2  y2 D D 1 π 1 rcos  1 rcos 2[4dcos rdr 2dsin rdr] 0 1 r  1 r 4 则 1 π 1 π 1 cos I 4dcosrcosdr 4cos r2 d 1 0 1 0 2 1π 1 π 1  1 π 1 4 1    4 d 4secd  ln(sectan)  ln 21 2 0 cos 2 0 2 2 0 1 π 1 π 1 sin I 2dsinrcosdr 2cos r2 d 2 π 1 π 2 4 4 1 π 1 π cos 1 1 2 1 1  2 d  (1 2) ( 21) 2 πsin2 2 sin π 2 2 4 4 故原积分 ln( 2 1)( 2 1) 18.已知函数 f  x,y  x3 y3 x y 2 3,为曲面z  f  x,y  在点(1,1,1)处的切平 面.D为与坐标平面所围有界区域在xOy平面上的投影. (1)求的方程;(2)求 f  x,y  在D上的最大值与最小值. 【解析】(1)F(x,yz) x3 y3(x y)2 3z. F 3x22(x y) x  则F 3y22(x y) 记P(1,1,1). y  F 1  z F 1. F 1. F 1. x y z p p p 即F(x,y,z)在(1,1,1)处的切平面方程的法向量为(1,1,1),且过(1,1,1) 所以(1)(x1)(1)(y1)(1)(z1)0 即的方程为x yz 3 (2)由(1)可知:有界区域在xoy平面上的投影为:D {(x,y∣)0 x3,0 y3x}f 3x2 2(x y)0 4 4 (i)在区域D内: x 得唯一驻点:P ,   f y  3y2 2(x y)0 1 3 3 (ii)在x轴上, f(x,y) x3x2 3 g(x) (0 x3) 2 2  令g(x)3x2 2x0 x . 所以P  ,0 3 2 3   2 (iii)在 y轴上,同理可得P 0,  3  3 (iv)在直线 y 3x, f(x,y) x3(3x)36h(x)(0 x3) 3 3 令h(x)3x2 3(3x)2 0 P  ,  4 2 2 端点P  0,0 ,P  3,0 ,P  0,3  5 6 7 4 4 17 代入各点,最大值 f(3,0) f(0,3)21,最小值为 f  ,   . 3 3 27 19.设函数 f  x  具有2阶导数,且 f 0  f 1  , f x  1.证明: x  1x  (1)当x 0,1  时, f  x  f  0  1x  f  1  x  ; 2 (2)  1 f  x  dx f  0  f  1   1 . 0 2 12 证明:(1) f f(x) f(0) f(0)x 1 x2(1) 2 f f(x) f(1) f(1)(x1) 2 (x1)2(2) 2 (1x)(1)+x(2)f f   f(x) f(0)(1x) f(1)x f (0)x(1x) f '(1)(x1)x  1 x 2 1x  2 (x 1)2x 2 2 f(x) f(0)(1x) f(1)x 1 1 „ x2(1x) x(1x)2 2 2 1  x(1x)(x1x) 2 x(1x)  . 2 0 (2)  1 f(x) f(0)(1x) f(1)x  dx   1 f(x)dx f(0) (1x)2  f(1) 1 0 0 2 2 1 1 f(0) f(1) 1x(1x) 1   f(x)dx „  dx . 0 2 0 2 12 20.已知有向曲线L为球面x2  y2 z2 2x与平面2xz10的交线.从z 轴正向往z 轴负向看去为逆时针方向,计算曲线积分   6xyz yz2 dx2x2zdyxyzdz. L 5x2 6x y2 1=0 . 【解析】曲线在xOy平面上的投影为L :  方向为逆时针,记L 围成的 1  z 0 1 区域面积为D. 则原积分  6xy(2x1) y(2x1)2  dx2x2(2x1)dyxy(2x1)d(2x) L 1      12x2 4x1 ydx 4x32x2 dy L 1     由格林公式,可得 12x2 4x  12x2 4x1 d  d S D D D 2  3 x   5 y2 2 2 4 5 4 5 即  1.S    .所以原积分为 . 2 2  2  2 D 5 5 25 25     5  5x 2x 2z , n n1 n1  21.已知数列  x  ,  y  ,  z  满足x 1,y 0,z 2,且y 2y 2z , 记 n n n 0 0 0 n n1 n1  z 6x 3y 3z , n n1 n1 n1 x  n     y 写出满足  A 的矩阵A,并求An及x ,y ,z (n1,2,). n  n n n1 n n n   z  n x  n1   【解析】 (1) 由题意可知,   y n1  n1   z  n1 x  2 0 2 x  n n1         y  0 2 2 y n n1  n    n1      z   6 3 3 z  n n1 2 0 2    故  0 2 2      6 3 3  2 0 2 (2) 由  0 2 2 1 2 0 6 3 3 解得 0, 1, 2 1 2 3  1    当 0 时,解得线性无关特征向量为   1 1 1      1  2   当  1 时, 解得线性无关特征向量为   2 2 2      3  1    当  2 时, 解得线性无关特征向量为   2 3 3      0  1 2 1  0      故存在可逆矩阵P ,,  1 2 2 ,使得P1AP  1 1 2 3          1 3 0   2 故A PP1 即    1 2 1  0  6 3 2   An   PΛP1n  PΛnP1   1 2 2   1   2 1 1           1 3 0   2 n  1 1 0    (1)n12n 4 (1)n12n 2 2  x  x  x     n   n1   n2   (1)n2n14 (1)n2n12 2  y n  A  y n1  A2  y n2   6 3 3     z n     z n1     z n2   x  (1)n12n 4 (1)n12n 2 2 1  (2)n 8   0        An  y 0  (1)n2n14 (1)n2n12 2 0   (2)n18  z 0     6 3 3     2     12   22.设总体X 服从  0, 上的均匀分布,其中 0, 为未知参数, X ,X ,,X 为来 1 2 n 自总体X 的简单随机样本,记X  maxX ,X ,,X ,T cX . n 1 2 n c n (1)求c , 使得T c 是的无偏估计; (2)记h  c  E  T 2 ,求c使得h  c  最小. c 22.【解】(1)E  cX  cEX cEmax  X ,X X  (n) (n) 1 2 n 0 x0 1   0 x x f (x) F (x) , 0„x X X   0 其他    1, x 0, x0  xn max  X ,X X  ~ F (x)  ,0„x  1 2 n Xn  n  1, x   n  xn1 0 x f (x)n Xn   0 其他.  nx 1 n n Emax  X ,,X   xn1d  xn1  , 1 n 0 n n n1 n1  n1 所以c . n   (2)h(c) E T222T  ET2E22ET c c c c  2    E cX 22E cX c2EX2 2 2cEX n n n n nx2 1 n  n 因为EX2   xn1dx  xn2 2 n 0 n n n2 n2 0   nx 1 n n EX    xn1dx   xn1   n 0 n n n1 n1 0 n n  nc2 n  所以h(c) c2222c  = 12c 2 n2 n1 n 2 n1 n n 2n 2n 令 f(x) x212 x, f(x) x 0 n2 n1 n2 n1 n2 n2 解得x ,即c 时,h  c  取最小值. n1 n1