当前位置:首页>文档>2016广州中考政治试题及答案(word版)_中考真题_7.政治中考真题2015-2024年_地区卷_广东广州中考政治2008---2020年

2016广州中考政治试题及答案(word版)_中考真题_7.政治中考真题2015-2024年_地区卷_广东广州中考政治2008---2020年

  • 2026-03-20 12:01:52 2026-02-06 20:53:11

文档预览

2016广州中考政治试题及答案(word版)_中考真题_7.政治中考真题2015-2024年_地区卷_广东广州中考政治2008---2020年
2016广州中考政治试题及答案(word版)_中考真题_7.政治中考真题2015-2024年_地区卷_广东广州中考政治2008---2020年
2016广州中考政治试题及答案(word版)_中考真题_7.政治中考真题2015-2024年_地区卷_广东广州中考政治2008---2020年
2016广州中考政治试题及答案(word版)_中考真题_7.政治中考真题2015-2024年_地区卷_广东广州中考政治2008---2020年
2016广州中考政治试题及答案(word版)_中考真题_7.政治中考真题2015-2024年_地区卷_广东广州中考政治2008---2020年
2016广州中考政治试题及答案(word版)_中考真题_7.政治中考真题2015-2024年_地区卷_广东广州中考政治2008---2020年
2016广州中考政治试题及答案(word版)_中考真题_7.政治中考真题2015-2024年_地区卷_广东广州中考政治2008---2020年
2016广州中考政治试题及答案(word版)_中考真题_7.政治中考真题2015-2024年_地区卷_广东广州中考政治2008---2020年
2016广州中考政治试题及答案(word版)_中考真题_7.政治中考真题2015-2024年_地区卷_广东广州中考政治2008---2020年
2016广州中考政治试题及答案(word版)_中考真题_7.政治中考真题2015-2024年_地区卷_广东广州中考政治2008---2020年
2016广州中考政治试题及答案(word版)_中考真题_7.政治中考真题2015-2024年_地区卷_广东广州中考政治2008---2020年
2016广州中考政治试题及答案(word版)_中考真题_7.政治中考真题2015-2024年_地区卷_广东广州中考政治2008---2020年
2016广州中考政治试题及答案(word版)_中考真题_7.政治中考真题2015-2024年_地区卷_广东广州中考政治2008---2020年
2016广州中考政治试题及答案(word版)_中考真题_7.政治中考真题2015-2024年_地区卷_广东广州中考政治2008---2020年
2016广州中考政治试题及答案(word版)_中考真题_7.政治中考真题2015-2024年_地区卷_广东广州中考政治2008---2020年
2016广州中考政治试题及答案(word版)_中考真题_7.政治中考真题2015-2024年_地区卷_广东广州中考政治2008---2020年
2016广州中考政治试题及答案(word版)_中考真题_7.政治中考真题2015-2024年_地区卷_广东广州中考政治2008---2020年
2016广州中考政治试题及答案(word版)_中考真题_7.政治中考真题2015-2024年_地区卷_广东广州中考政治2008---2020年
2016广州中考政治试题及答案(word版)_中考真题_7.政治中考真题2015-2024年_地区卷_广东广州中考政治2008---2020年

文档信息

文档格式
doc
文档大小
0.597 MB
文档页数
15 页
上传时间
2026-02-06 20:53:11

文档内容

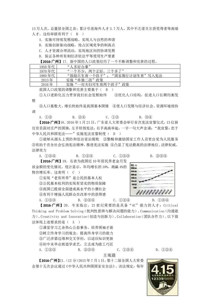
2016年广州市初中毕业生学业考试 思想品德 一、选择题(在下列各题的四个选项中,只有一项是最符合题目要求的。共20 小题,每小题2分,共40分) 【2016·广州】1.2015年10月5题,中国中医科学院研究员 因在青蒿素研究 中的杰出贡献,获得2015年诺贝尔生理学或医学奖,这是中国本土科学家首次获得诺贝尔 自然科学奖项。( A ) A.屠呦呦 B.袁隆平 C.钟南山 D.莫言 【2016·广州】2.2015年11月7日,中共中央总书记、国家主席习近平同台湾方面领导人 马英九在新加坡会面。这是1949年以来两岸领导人的首次会面。双方认为应该继续坚持“ ”,巩固共同政治基础,推动两岸关系和平发展。( C ) A.和平统一 B.一国两制 C.九二共识 D.党际协商 【2016·广州】3.根据国务院发布的《关于推进价格机制改革的若干意见》,到2017年竞 争性领域和环节价格基本放开,到2020年, 决定价格机制基本完善。( D ) A.企业 B.政府 C.法律 D.市场 【2016·广州】4.2015年12月12日,包括中国在内的近200个缔约方一致同意通过具有 里程碑意义的《 》,为2020年后全球应对气候变化行动作出安排。( B ) A.里约协定 B.巴黎协定 C.巴厘岛协定 D.京都议定书 【2016·广州】5.根据《国务院关于广州市城市总体规划的批复》,广州被定位为我国( D ) ①重要的中心城市 ②世界金融中心 ③国际商贸中心 ④综合交通枢纽 A.①②③ B.②③④ C.①②④ D.①③④ 【2016·广州】右图为不同时期的“法” 字: “法”在古汉语中曾有“刑、法、律、法 律”等称谓,如“夏有乱政而作禹刑”“李 悝编法经”“商鞅改法为律”“唐律”等。东汉许慎《说文解字》直言:“灋,刑也。平之如水, 从水……;“灋”从“廌”(zhí),“廌”是传说中的一种独角神兽,它有明辨是非、判断曲 直的神性;“灋”从“水”,表示法律追求公平如水;“灋”含“去”,延伸出惩恶扬善之义。 今天,“法”已是我们的时代主题词。据此回答6、7题。 【2016·广州】6.“法”字的语源表明,中华文化( C ) A.历经沧桑 饱受磨难 B.独具特色 兼容并蓄 C.博大精深 源远流长 D.绵延不绝 固守正统 【2016·广州】7.今天,表明公平如水、惩恶扬善的“水”“去”仍是“法”不可或缺的 组成部分,这深刻揭示了法律的( B ) ①规范作用 ②预测作用 ③促进作用 ④保护作用 A.①② B.①④ C.②③ D.③④ 【2016·广州】8.审议中的野生动物保护法修订案新增规定:禁止为食用非法购买国家重 点保护的野生动物及其制品;违反该规定构成犯罪的,依法追究刑事责任。这告诉我们( A )①各种生命息息相关,相互依存 ②保护野生动物就是保护人类自己 ③不吃“野味”就是道德高尚的表现 ④国家立法惩治好吃“野味”的陋习 A.①②④ B.②③④ C.①②③ D.①③④ 【2016·广州】国家禁毒委的权威发布显示:当前我国234.5万名吸毒人员中,不满18岁 的有4.3万名,吸毒人员呈低龄化特点;贩毒主体以青少年和农民为主。据此回答9、10题。 【2016·广州】9.针对未成年人“吸毒、注射毒品”,正确看法是( B ) ①吸毒是感染艾滋病的高危行为 ②吸毒违法,永远不要尝试第一次 ③未成年人无法 自觉抵制毒品的诱惑 ④该行为属预防未成年人犯罪法规定的严重不良行为 A.①②③ B.①②④ C.①③④ D.②③④ 【2016·广州】10.我国刑法将贩毒的刑事责任年龄规定为14周岁,充分说明犯罪的最本 质特征是( A ) A.严重危害性 B.普遍约束性 C.人身危害性 D.财产危害 性 【2016·广州】11.国家网信办于2015年6月30日发出通知,要求网站不得对涉及未成年 人体罚、侮辱人格尊严行为、校园欺凌等暴力情节进行渲染报道,不得披露未成年人个人信 息,避免对未成年人造成二次伤害。根据未成年保护法,这属于( C ) A.家庭保护 B.学校保护 C.社会保护 D.司法保护 【2016·广州】12.2015年,我国实施了一系列司法改革:实施登记立案制,有案必立;实 施司法责任制,法官、检察官对承办案件终身负责;立法保障律师的诉讼权;制定政策防止领 导干部插手干预司法案件。这表明( D ) ①追求程序正义会削弱司法公信力 ②程序正义推动司法公正 ③司法改革将权力关进制度的笼子 ④司法公平促进社会和谐 A.①②③ B.①③④ C.①②④ D.②③④ 【2016·广州】在“一带一路”的建设中,新疆等民族地区从历史上的边缘地区、改革开 放的后发地区一跃而成开放的前沿地带。据此回答13、14题。 【2016·广州】13.民族地区是我国的资源富集区、水系源头区、生态屏障区、文化特色区、 边疆地区、贫困地区。因此,民族地区在开放中,要( C ) ①努力实现各民族的共同繁荣 ②秉持民族事务事关国家全局的立场 ③自觉维护中华民族的大团结 ④经济、政治、军事领域无条件开放 A.①③④ B.②③④ C.①②③ D.①②④ 【2016·广州】14.我们在和“一带一路”沿线的中亚、西亚等国家和地区打交道时,面对 不同的民族语言、风俗习惯和宗教信仰,正确的态度和做法是( D ) ①尊重民族差异,包容多样文化 ②倡导文明宽容,促进互学互鉴 ③坚持汉族特色,强化自身优势 ④搁置文化交心,埋头开拓市场 A.③④ B.②④ C.①③ D.①② 【2016·广州】15.右边的漫画启示我们( A ) ①不讲信用,害人害己 ②不拘小节,无关痛痒 ③言而有信,知行合一 ④信用社会,法治先行 A.①③④ B.①②③ C.①②④ D.②③④ 【2016·广州】16.近五年来,广东实施了珠江人才计 划等重大人才引进与培养工程,搭建1059个人才创新创业平台;来粤工作的境外专家超过13万人次,总量居全国之首;累计引进海外人才3.7万人,其中不乏诺贝尔获奖得者等高端 人才。这些举措有利于( B ) A.实施可持续发展战略,实现人与自然的和谐 B.实施创新驱动战略,抢占区域竞争的制高点 C.人才资源合理流动,实现地区间的协调发展 D.保证各种所有制经济依法平等使用生产要素 【2016·广州】17.新中国的人口政策经历了一个不断调整和完善的过程。 1950年代 “人多好办事” 1970年代 “一个不少,两个正好,三个多了” 1980年代 “鼓励只生育一个孩子”;“国家推行计划生育”写入宪法 2013年 实施“单独二孩”政策 2016年 实施“一对夫妇可生育两个孩子”政策 我国人口政策的调整和完善主要基于( B ) ①人口老龄化压力贯穿我们社会发展始终 ②优化人口结构,促进人口长期均衡发 展 ③人口基数大、增长快始终是我国基本国情 ④使人口发展与经济社会、资源环境相协 调 A.①③ B.②④ C.①② D.③④ 【2016·广州】18.2016年1月21日,广东省人大常委会举行首次宪法宣誓仪式,13位新 任官员面对庄严的国旗,左手轻按宪法,右手高高举起,一字一句大声念诵:“我宣誓:忠于 中华人民共和国宪法……”实施宪法宣誓制度( D ) ①能够从源头上预防和惩治吏治腐败 ②警醒和激励国家工作人员更自觉为人民服务 ③有助于在全社会弘扬宪法精神,推进宪法实施 ④凸显了宪法最高的法律地位、法律权威、 法律效力 A.①③④ B.①②④ C.①②③ D.②③④ 【2016·广州】19.右表为我国近10年居民养老金月发 放金额的变化情况。统计显示,年均增长的10%,跑赢4%的 物价增长率。这表明( C ) ①实现“老有所养”是公民的基本人权 ②公民基本权利的实现有坚实的物质保障 ③我国已提前全面建成高水平的小康社会 ④有利于增强人民群众在改革中的获得感 A.①②③ B.②③④ C.①②④ D.①③④ 【2016·广州】20.专家指出,21世纪需要的是具备“4C”能力的人才:Critical Thinking and Problem Solving(批判性思辨与解决问题的能力)、Communication(沟通能 力)、Creativity and Innovation(创造与创新力)、Collaboration(团队合作力)。以下做 法体现上述要求的是( A ) ①课堂学习之余热心公益事务,培养领袖才能 ②树立终身学习的观念,提高终身学习的能力 ③广泛涉猎边缘和交叉学科,以适应知识更新 ④初中未毕业就退学求艺,立志成为能工巧匠 A.①②③ B.②③④ C.①③④ D.①②④ 主观题 【2016·广州】21.(12分)2015年7月1日,第十二届全国人大常委 会第十五次会议通过《中华人民共和国国家安全法》,该法规定:每年的4月15日为全民国家安全教育日。今年4月15日是我国首个全民国家安全教育日。 公民应如何自觉履行维护国家安全的基本义务? 【2016·广州】22.(10分)2015年9月2日上午,中共中央党书记、国家主席、中央军委主 席习近平在中国人民抗日战争胜利70周年纪念章颁发仪式上,向30名抗战老战士老同志、 抗战将领、帮助和支持中国抗战的国际友人或其遗属代表颁发纪念章并发表重要讲话。他强 调:实现我们的目标,需要英雄,需要英雄精神。我们要铭记一切为中华民族和中国人民作出 贡献的英雄们,崇尚英雄,捍卫英雄,学习英雄,关爱英雄,勠力同心为实现“两个一百年” 奋斗目标、实现中华民族伟大复兴的中国梦而努力奋斗。 运用民族精神的知识回答为什么“实现我们的目标,需要英雄,需要英雄精神”。 【2016·广州】23.(12分)2015年11月29日,中共中央、国务院发布《关于打赢脱贫攻坚 战的决定》,全面吹响脱贫攻坚战的号角。阅读材料,回答问题。 材料一:全面建成小康社会,实现中国梦,就是要实现人民幸福。尽管中国的发展成就举 世瞩目,但目前全国仍有14个集中连片特困地区,592个国家扶贫开发工作重点县、12.8万 个贫困村、7000多万农村贫困人口,除京津沪3个直辖市外,其余28个省级行政区都存在相 当数量的生活在贫困线以下的群众,有些人甚至用不上电,喝不上干净水。 (1)结合材料一,概括我国现阶段的发展特点。 材料二:H企业集团积极响应国家号召,投入30亿元结对帮扶某贫困县。该集团利用自 身的雄厚实力,综合采取产业扶贫、异地搬迁扶贫、吸纳就业扶贫、发展教育扶贫、特殊困难 群体生活保障扶贫等一揽子措施,实施精准扶贫。短短几个月,执行迅速,效果立显。集团总 裁说,“集团的快速发展得益于国家的改革开放。人长大了,要懂得孝敬父母、企业做大了, 要懂得报恩,帮助贫困地区脱贫是企业应尽的社会责任”。 (2)结合材料二,运用共同富裕的知识,分析企业参与脱贫攻坚战的意义。 【2016·广州】24.(14分)城市因水而生,黑臭河涌是困扰市民的一大顽症。阅读材料,回 答问题。 材 料 一:如 此 “ 治 水”材料二:目前实施的《广州市水污染防治计划实施方案》规定,2016年底前,所有工业集 聚区应规定建立水污染集中处理设施;2017年底,城市建成区河涌基本消除黑臭;2020年城 镇生活污水集中处理率达到95%以上;2030年底前,城市建成区黑臭水体总体得到消除。已 试行的《广州市环境违法行为有奖举报试行办法》则鼓励市民积极举报污水私排行为,最高 奖励三万元。 (1)揭示材料一漫画所反映的问题。 (2)综合材料一、二,请你为黑臭河涌的治理出谋划策。 【2016·广州】25.(12分)任何社会 都会存在不公平现象。一些人遭遇不公, 往往会问计于网络,希望借助网络大V (一般指获得个人认证,拥有众多粉丝 的微博用户)的关注和众多粉丝的强大 传播力,形成舆论压力,达到个人目的。 阅读材料,回答问题。 网络空间是亿万民众的共同精神家 园。请结合上述案例,运用网络交往和 社会公平的有关知识,谈谈如何理智看 待“有事找网络”这一社会现象。2016 年广东省广州市中考思想品德试卷 参考答案与试题解析 一、选择题(在下列各题的四个选项中,只有一项是最符合题目要求的.共17小题,每小 题2分,共40分) 1.2015年10月5题,中国中医科学院研究员因在青蒿素研究中的杰出贡献,获得2015 年诺贝尔生理学或医学奖,这是中国本土科学家首次获得诺贝尔自然科学奖项.( ) A.屠呦呦 B.袁隆平 C.钟南山 D.莫言 【考点】时事政治. 【分析】本题属于时事政治题.考查学生对时政知识的掌握;依据相关的时政知识解答即 可. 【解答】2015年10月5题,中国中医科学院研究员屠呦呦因在青蒿素研究中的杰出贡献, 获得2015年诺贝尔生理学或医学奖,这是中国本土科学家首次获得诺贝尔自然科学奖项; 故选A. 2.2015年11月7日,中共中央总书记、国家主席习近平同台湾方面领导人马英九在新 加坡会面.这是1949年以来两岸领导人的首次会面.双方认为应该继续坚持“”,巩固共同 政治基础,推动两岸关系和平发展.( ) A.和平统一 B.一国两制 C.九二共识 D.党际协商 【考点】时事政治. 【分析】题目考查的是时事政治,涉及到“习马会”. ] 【解答】2015年11月7日,中共中央总书记、国家主席习近平同台湾方面领导人马英九 在新加坡会面.这是1949年以来两岸领导人的首次会面.双方认为应该继续坚持“九二共 识”,巩固共同政治基础,推动两岸关系和平发展.故选C. 3.根据国务院发布的《关于推进价格机制改革的若干意见》,到2017年竞争性领域和环 节价格基本放开,到2020年,决定价格机制基本完善.( ) A.企业 B.政府 C.法律 D.市场 【考点】时事政治. 【分析】题目考查的是时事政治,涉及到价格机制. 【解答】根据国务院发布的《关于推进价格机制改革的若干意见》,到2017年竞争性领域 和环节价格基本放开,到2020年,市场决定价格机制基本完善.故选D. 4.2015年12月12日,包括中国在内的近200个缔约方一致同意通过具有里程碑意义 的《》,为2020年后全球应对气候变化行动作出安排.( ) A.里约协定 B.巴黎协定 C.巴厘岛协定 D.京都议定书 【考点】时事政治. 【分析】题目考查的是时事政治,涉及到应对气候变化. 【解答】2015年12月12日,包括中国在内的近200个缔约方一致同意通过具有里程碑 意义的《巴黎协定》,为2020年后全球应对气候变化行动作出安排.故选B. 5.根据《国务院关于广州市城市总体规划的批复》,广州被定位为我国( )①重要的中心城市 ②世界金融中心 ③国际商贸中心 ④综合交通枢纽. A.①②③ B.②③④ C.①②④ D.①③④ 【考点】时事政治. 【分析】本题属于时事政治题.考查学生对时政知识的掌握;依据相关的时政知识解答即 可. 【解答】根据《国务院关于广州市城市总体规划的批复》,广州被定位为我国重要的中心 城市、国际商贸中心、综合交通枢纽.故选D. 如图为不同时期的“法”字:“法”在 古汉语中曾有“刑、法、律、法律”等称谓, 如“夏有乱政而作禹刑”“李悝编法经” “商鞅改法为律”“唐律”等.东汉许慎《说文解字》直言:“灋,刑也.平之如水,从水…; “灋”从“廌”(zhí),“廌”是传说中的一种独角神兽,它有明辨是非、判断曲直的神性; “灋”从“水”,表示法律追求公平如水;“灋”含“去”,延伸出惩恶扬善之义.今天, “法”已是我们的时代主题词.据此回答6、7题. 6.“法”字的语源表明,中华文化( ) A.历经沧桑 饱受磨难 B.独具特色 兼容并蓄 C.博大精深 源远流长 D.绵延不绝 固守正统 【考点】中华文化. 【分析】本题属于“中华文明是世界上最先进的文明之一”这一知识点,需要在掌握我 国的传统优秀历史文化以及要弘扬民族文化等相关知识的基础上,对材料进行深入的分析, 从而得出结论. 【解答】本题考查了中华文化的特点.由题干描述得知,“法”字的语源表明,中华文化 博大精深,源远流长,所以C是正确的选项,排除不符合题意的选项ABD. 故选C. 7.今天,表明公平如水、惩恶扬善的“水”“去”仍是“法”不可或缺的组成部分,这 深刻揭示了法律的( ) ①规范作用 ②预测作用 ③促进作用 ④保护作用. A.①② B.①④ C.②③ D.③④ 【考点】法律的作用. 【分析】本题属于“法律保护我们的权利”这一知识点,需要在掌握法律的涵义,我国法 律重要性,公民的权利和义务,公民权利和义务的关系,要正确行使权利自觉履行义务等相 关知识的基础上,对材料进行深入的分析,从而得出结论. 【解答】由题干描述得知,表明公平如水、惩恶扬善的“水”“去”仍是“法”不可或缺 的组成部分,这深刻揭示了法律的规范作用、保护作用,所以①④是正确的选项,排除不符合 题意的选项②③. 故选B. 8.审议中的野生动物保护法修订案新增规定:禁止为食用非法购买国家重点保护的野 生动物及其制品;违反该规定构成犯罪的,依法追究刑事责任.这告诉我们( ) ①各种生命息息相关,相互依存 ②保护野生动物就是保护人类自己 ③不吃“野味”就是道德高尚的表现 ④国家立法惩治好吃“野味”的陋习.A.①②④ B.②③④ C.①②③ D.①③④ 【考点】多彩的生命. 【分析】本题属于“珍爱生命”这一知识点,需要在掌握生命的多样性,生命的重要性, 法律保护公民的生命健康权以及如何依法维护自己的生命健康权等相关知识的基础上,对 材料进行深入的分析,从而得出结论. 【解答】由题干描述得知,禁止为食用非法购买国家重点保护的野生动物及其制品;违反 该规定构成犯罪的,依法追究刑事责任.这告诉我们,各种生命息息相关,相互依存,保护野 生动物就是保护人类自己,国家立法惩治好吃“野味”的陋习,所以①②④是正确的选项, 排除不符合题意的选项③. 故选A. 国家禁毒委的权威发布显示:当前我国234.5万名吸毒人员中,不满18岁的有4.3万名, 吸毒人员呈低龄化特点;贩毒主体以青少年和农民为主.据此回答9、10题. 9.针对未成年人“吸毒、注射毒品”,正确看法是( ) ①吸毒是感染艾滋病的高危行为 ②吸毒违法,永远不要尝试第一次 ③未成年人无法自觉抵制毒品的诱惑 ④该行为属预防未成年人犯罪法规定的严重不良行为. A.①②③ B.①②④ C.①③④ D.②③④ 【考点】黄、赌、毒及邪教的危害. 【分析】本题考查的是不良诱惑的危害. 【解答】吸毒这一不良诱惑伤害我们的身体,损坏我们的心灵,有损我们的身心健康;消 磨人的意志,使人不思进取;使人无视法律的尊严,损害他人和社会,使人走上违法犯罪的道 路.选项③观点错误.故选B. 10.我国刑法将贩毒的刑事责任年龄规定为14周岁,充分说明犯罪的最本质特征是( ) A.严重危害性 B.普遍约束性 C.人身危害性 D.财产危害性 【考点】法律的特征。 【分析】本题属于“法律保护我们的权利”这一知识点,需要在掌握法律的涵义,我国法 律重要性,公民的权利和义务,公民权利和义务的关系,要正确行使权利自觉履行义务等相 关知识的基础上,对材料进行深入的分析,从而得出结论. 【解答】由题干描述得知,犯罪的最本质特征是严重的社会危害性,所以A是正确的选项, 排除不符合题意的选项BCD. 故选A. 11.国家网信办于2015年6月30日发出通知,要求网站不得对涉及未成年人体罚、侮辱 人格尊严行为、校园欺凌等暴力情节进行渲染报道,不得披露未成年人个人信息,避免对未 成年人造成二次伤害.根据未成年保护法,这属于( ) A.家庭保护 B.学校保护 C.社会保护 D.司法保护 【考点】社会保护. 【分析】本题主要考查社会保护这一知识点,要明确应切实保护未成年人的合法利益不 受非法侵犯.【解答】由于未成年人缺乏社会经验,缺乏自我保护的意识与能力,所以全社会应给予他 们特殊的保护,从题干内容来看,属于对未成年的社会保护,所以C正确,其他选项不合题意, 故选C. 12.2015年,我国实施了一系列司法改革:实施登记立案制,有案必立;实施司法责任制, 法官、检察官对承办案件终身负责;立法保障律师的诉讼权;制定政策防止领导干部插手干 预司法案件.这表明( ) ①追求程序正义会削弱司法公信力 ②程序正义推动司法公正 ③司法改革将权力关进制度的笼子 ④司法公平促进社会和谐. A.①②③ B.①③④ C.①②④ D.②③④ 【考点】正义制度;和谐社会. 【分析】本题属于“为正义高歌”这一知识点,需要在掌握正义和非正义行为,维护社会 正义的重要性,积极维护正义等相关知识的基础上,对材料进行深入的分析,从而得出结论. 【解答】从题干的表述中即看出,2015年,我国实施了一系列司法改革:实施登记立案制, 有案必立;实施司法责任制,法官、检察官对承办案件终身负责;立法保障律师的诉讼权;制 定政策防止领导干部插手干预司法案件.这表明程序正义推动司法公正,司法改革将权力关 进制度的笼子,司法公平促进社会和谐,所以②③④是正确的选项,排除错误的观点①. 故选D. 在“一带一路”的建设中,新疆等民族地区从历史上的边缘地区、改革开放的后发地区 一跃而成开放的前沿地带.据此回答13、14题. 13.民族地区是我国的资源富集区、水系源头区、生态屏障区、文化特色区、边疆地区、贫 困地区.因此,民族地区在开放中,要( ) ①努力实现各民族的共同繁荣 ②秉持民族事务事关国家全局的立场 ③自觉维护中华民族的大团结 ④经济、政治、军事领域无条件开放. A.①③④ B.②③④ C.①②③ D.①②④ 【考点】我国的民族关系. 【分析】本题考查民族区域自治制度.民族区域自治制度,是我国基本政治制度与民族政 策.处理民族关系的原则:平等、团结、共同繁荣. 【解答】④项错误,我国民族地区在开放中是一定程度的开放,而不是经济、政治、军事领 域无条件开放.民族地区在开放中,要努力实现各民族的共同繁荣,秉持民族事务事关国家 全局的立场,自觉维护中华民族的大团结.①②③正确. 故选C 14.我们在和“一带一路”沿线的中亚、西亚等国家和地区打交道时,面对不同的民族 语言、风俗习惯和宗教信仰,正确的态度和做法是( ) ①尊重民族差异,包容多样文化 ②倡导文明宽容,促进互学互鉴 ③坚持汉族特色,强化自身优势 ④搁置文化交心,埋头开拓市场. A.③④ B.②④ C.①③ D.①② 【考点】尊重不同的文化习俗. 【分析】该题考查正确对待各国文化差异;面对不同文化,应采取客观、平等的态度,尊重 因文化不同而导致的行为方式的差异,要虚心学习其他文化的优点、长处.【解答】依据题干材料,我们在和“一带一路”沿线的中亚、西亚等国家和地区打交道时, 面对不同的民族语言、风俗习惯和宗教信仰,正确的态度和做法是尊重民族差异,包容多样 文化、倡导文明宽容,促进互学互鉴;故①②正确;③④说法都不正确;故选D. 15.如图的漫画启示我们( ) ①不讲信用,害人害己 ②不拘小节,无关痛痒 ③言而有信,知行合一 ④信用社会,法治先行. A.①③④ B.①②③ C.①②④ D. ②③④ 【考点】诚信的含义. 【分析】本题主要考查诚信的含义这一知识点,要明确生活中讲诚信的重要意义. 【解答】题干中的漫画形象地告诉我们不讲信用的人,最后是害人害己,应做到言而有信, 不讲信用的人必然会受到相应的处罚,所以①③④说法正确,②的说法错误,故选A. 16.近五年来,广东实施了珠江人才计划等重大人才引进与培养工程,搭建1059个人才 创新创业平台;来粤工作的境外专家超过13万人次,总量居全国之首;累计引进海外人才 3.7万人,其中不乏诺贝尔获奖得者等高端人才.这些举措有利于( ) A.实施可持续发展战略,实现人与自然的和谐 B.实施创新驱动战略,抢占区域竞争的制高点 C.人才资源合理流动,实现地区间的协调发展 D.保证各种所有制经济依法平等使用生产要素 【考点】时事政治;培养创新品质. 【分析】本题属于时事政治题.考查学生对时政知识的掌握;依据相关的时政知识解答即 可. 【解答】近五年来,广东实施了珠江人才计划等重大人才引进与培养工程,搭建1059个 人才创新创业平台;来粤工作的境外专家超过13万人次,总量居全国之首;累计引进海外人 才3.7万人,其中不乏诺贝尔获奖得者等高端人才.这些举措有利于实施创新驱动战略,抢 占区域竞争的制高点;故选B. 17.新中国的人口政策经历了一个不断调整和完善的过程. 1950年代 “人多好办事” 1970年代 “一个不少,两个正好,三个多了” 1980年代 “鼓励只生育一个孩子”;“国家推行计划生育”写入宪法 2013年 实施“单独二孩”政策 2016年 实施“一对夫妇可生育两个孩子”政策 我国人口政策的调整和完善主要基于( ) ①人口老龄化压力贯穿我们社会发展始终 ②优化人口结构,促进人口长期均衡发展 ③人口基数大、增长快始终是我国基本国情 ④使人口发展与经济社会、资源环境相协调. A.①③ B.②④ C.①② D.③④ 【考点】我国的人口现状.【分析】本题考查我国的人口现状.我国人口的基本特点是:人口基数大;新增人口多;人 口素质偏低.其他特点有:农村人口多;人口老龄化速度加快;人口分布不平衡;男女比例失 衡等. 【解答】本题考查我国的人口政策.我国人口政策的调整和完善有利于改善家庭人口结 构,促进家庭幸福与社会和谐;有利于促进人口长期均衡发展,延缓人口老龄化速度;保持合 理的劳动力规模,使人口发展与经济社会、资源环境相协调.所以选项②④正确且符合题意, 选项①错误,贯穿我们社会发展始终的观点过于绝对;选项③错误,始终是我国基本国情的 观点过于绝对. 故选B. 18.2016年1月21日,广东省人大常委会举行首次宪法宣誓仪式,13位新任官员面对庄 严的国旗,左手轻按宪法,右手高高举起,一字一句大声念诵:“我宣誓:忠于中华人民共和 国宪法…”实施宪法宣誓制度( ) ①能够从源头上预防和惩治吏治腐败 ②警醒和激励国家工作人员更自觉为人民服务 ③有助于在全社会弘扬宪法精神,推进宪法实施 ④凸显了宪法最高的法律地位、法律权威、法律效力. A.①③④ B.①②④ C.①②③ D.②③④ 【考点】宪法是国家的根本大法;增强宪法意识. 【分析】本题考查宪法知识点.依据教材知识,分析题干材料,辨析题肢选项,作出正确选 择. 【解答】宪法具有最高的法律地位、法律权威、法律效力,实施宪法宣誓制度有助于在全 社会弘扬宪法精神,推进宪法实施,警醒和激励国家工作人员更自觉为人民服务,②③④符 合题意;①说法绝对,夸大了宪法宣誓制度的作用.故选D 19.如表为我国近10年居民养老金月发放金额的变化情况.统计显示,年均增长的10%, 跑赢4%的物价增长率.这表明( ) ①实现“老有所养”是公民的基本人权 ②公民基本权利的实现有坚实的物质保障 ③我国已提前全面建成高水平的小康社会 ④有利于增强人民群众在改革中的获得感. A.①②③ B.②③④ C.①②④ D.①③④ [来&^@源:中教网%~] 【考点】我国公民享有的基本权利;民生问题. 【分析】本题考查人权与民生.依据教材知识,分析图表内容,辨析题肢选项,作出正确选 择. 【解答】我国近10年居民养老金月发放金额年均增长的10%,跑赢4%的物价增长率,实 现了“老有所养”,为保障公民的基本人权提供坚实的物质保障,有利于增强人民群众在改 革中的获得感,①②④分析正确;全面建成小康社会是到2020年的目标,③错误.故选C 20.专家指出,21世纪需要的是具备“4C”能力的人才:Critical Thinking and Problem Solving(批判性思辨与解决问题的能力)、Communication(沟通能力)、Creativity and Innovation(创造与创新力)、Collaboration(团队合作力).以下做法体现上述要求的 是( )①课堂学习之余热心公益事务,培养领袖才能 ②树立终身学习的观念,提高终身学习的能力 ③广泛涉猎边缘和交叉学科,以适应知识更新 ④初中未毕业就退学求艺,立志成为能工巧匠. A.①②③ B.②③④ C.①③④ D.①②④ 【考点】热心公益 服务社会;自觉履行受教育义务. 【分析】本题主要考查热心公益、服务社会,自觉履行受教育义务这一知识点,要明确应 树立终身学习的观念,以适应知识更新. 【解答】题干中的内容告诉我们应适应时代的发展,树立终身学习的观念,提高自己学习 的能力,同时还应积极参加社会公益活动,加强与他人的合作,培养团队精神,所以①②③说 法正确,④的说法错误,故选A. 二.主观题 21.2015年7月1日,第十二届全国人大常委会第十五次会议 通过《中华人民共和国国家安全法》,该法规定:每年的4月15日为 全民国家安全教育日.今年4月15日是我国首个全民国家安全教育 日.公民应如何自觉履行维护国家安全的基本义务? 【考点】阐述见解题;忠实履行公民义务;维护国家安全. 【分析】本题考查的知识点是维护国家安全.树立国家安全意识, 自觉关心、维护国家安全,是我国宪法规定的公民必须履行的基本 义务,也是青少年热爱祖国的具体体现. 【解答】本题考查自觉履行维护国家安全的基本义务.根据教材知识,树立国家安全意识, 自觉关心、维护国家安全,是我国宪法规定的公民必须履行的基本义务,也是青少年热爱祖 国的具体体现. 具体做法:保守国家秘密,树立国家安全意识,自觉关心、维护国家安全,这 是每个公民应尽的义务;发现危害国家安全的行为及时向国家安全机关或公安机关报告;公 民要配合国家安全机关工作. 故答案为: 树立国家安全意识,自觉关心、维护国家安全,是我国宪法规定的公民必须履行的基本 义务,也是青少年热爱祖国的具体体现. 具体做法:保守国家秘密,树立国家安全意识,自觉关心、维护国家安全,这是每个公民 应尽的义务;发现危害国家安全的行为及时向国家安全机关或公安机关报告;公民要配合国 家安全机关工作. 22.2015年9月2日上午,中共中央党书记、国家主席、中央军委主席习近平在中国人民 抗日战争胜利70周年纪念章颁发仪式上,向30名抗战老战士老同志、抗战将领、帮助和支持 中国抗战的国际友人或其遗属代表颁发纪念章并发表重要讲话.他强调:实现我们的目标, 需要英雄,需要英雄精神.我们要铭记一切为中华民族和中国人民作出贡献的英雄们,崇尚 英雄,捍卫英雄,学习英雄,关爱英雄,勠力同心为实现“两个一百年”奋斗目标、实现中华 民族伟大复兴的中国梦而努力奋斗.运用民族精神的知识回答为什么“实现我们的目标,需 要英雄,需要英雄精神”. 【考点】阐述见解题;中华民族精神;弘扬和培育民族精神. 【分析】本题考查的知识点是中华民族精神.民族精神和时代精神互相作用,共同构成中 华民族立国兴邦的精神品格,成为推动中华民族伟大复兴的精神动力.包括在长期革命斗争以及探索社会主义建设道路过程中形成的井冈山精神、长征精神、延安精神、抗战精神、西柏 坡精神、焦裕禄精神和雷锋精神等;包括在改革开放新时期形成的创业精神、廉洁奉公精神、 载人航天精神和抗震救灾精神、北京奥运精神等,这些精神相互联系,共同构筑了不同时期 的中国精神. 【解答】本题考查中华民族精神.民族精神和时代精神互相作用,共同构成中华民族立国 兴邦的精神品格,成为推动中华民族伟大复兴的精神动力.包括在长期革命斗争以及探索社 会主义建设道路过程中形成的井冈山精神、长征精神、延安精神、抗战精神、西柏坡精神、焦 裕禄精神和雷锋精神等;包括在改革开放新时期形成的创业精神、廉洁奉公精神、载人航天 精神和抗震救灾精神、北京奥运精神等,这些精神相互联系,共同构筑了不同时期的中国精 神.题干中的英雄精神表现了“天下兴亡、匹夫有责”的爱国情怀;视死如归、宁死不屈的民 族气节;不畏强暴、血战到底的英雄气概;百折不挠、坚忍不拔的必胜信念;是中华民族精神 的象征等. 故答案为: 弘扬英雄精神,有利于发展社会主义先进文化,构建社会主义核心价值体系;有利于捍 卫英雄人物的尊严,增强民族情感;有利于抵制落后的腐朽思想文化的侵蚀,为社会主义现 代化建设提供精神动力和智力支持;等等. 23.2015年11月29日,中共中央、国务院发布《关于打赢脱贫攻坚战的决定》,全面吹响 脱贫攻坚战的号角.阅读材料,回答问题. 材料一:全面建成小康社会,实现中国梦,就是要实现人民幸福.尽管中国的发展成就举 世瞩目,但目前全国仍有14个集中连片特困地区,592个国家扶贫开发工作重点县、12.8万 个贫困村、7000多万农村贫困人口,除京津沪3个直辖市外,其余28个省级行政区都存在相 当数量的生活在贫困线以下的群众,有些人甚至用不上电,喝不上干净水. (1)结合材料一,概括我国现阶段的发展特点. 材料二:H企业集团积极响应国家号召,投入30亿元结对帮扶某贫困县.该集团利用自 身的雄厚实力,综合采取产业扶贫、异地搬迁扶贫、吸纳就业扶贫、发展教育扶贫、特殊困难 群体生活保障扶贫等一揽子措施,实施精准扶贫.短短几个月,执行迅速,效果立显.集团总 裁说,“集团的快速发展得益于国家的改革开放.人长大了,要懂得孝敬父母、企业做大了, 要懂得报恩,帮助贫困地区脱贫是企业应尽的社会责任”. (2)结合材料二,运用共同富裕的知识,分析企业参与脱贫攻坚战的意义. 【考点】材料分析题;社会主义初级阶段的基本国情;共同富裕;民生问题. 【分析】(1)此题旨在考查学生阅读分析提炼知识的能力 (2)此题旨在考查学生运用所学知识解决实际问题的能力. 【解答】(1)此题旨在考查学生阅读分析提炼知识的能力,依据材料和答题方向即可作答. (2)此题旨在考查学生运用所学知识解决实际问题的能力.对于这类的意义题目,要针对某 一“做法”或“事件”有什么意思来回答,回答时要从经济、政治、社会等方面的意义来考 虑,还要对个人、国家、社会和事件本身的意义来思考. 故答案为: (1)我国现在处于社会主义初级阶段,生产力水平低且发展不平衡.(2)①实现贫困人口 全部脱贫是社会主义本质的要求,有利于实现全面建设小康社会的目标.②党是社会主义现 代化建设的领导核心.党提出贫困人口实现全部脱贫目标体现了党的领导核心作用.③全心 全意为人民服务是党的宗旨.党提出贫困人口实现全部脱贫目标也体现了党的工作的出发 点和落脚点.)④我国政府是人民的政府,政府宗旨是为人民服务.政府提出贫困人口实现全 部脱贫目标是政府责任的体现.24.城市因水而生,黑臭河涌是困扰市民的一大顽症.阅读材料,回答问题. 材料一:如此“治水” 材料二:目前实施的《广州市水污染防治计划实施方案》规定,2016年底前,所有工业集 聚区应规定建立水污染集中处理设施;2017年底,城市建成区河涌基本消除黑臭;2020年城 镇生活污水集中处理率达到95%以上;2030年底前,城市建成区黑臭水体总体得到消除.已 试行的《广州市环境违法行为有奖举报试行办法》则鼓励市民积极举报污水私排行为,最高 奖励三万元. (1)揭示材料一漫画所反映的问题. (2)综合材料一、二,请你为黑臭河涌的治理出谋划策. 【考点】材料分析题;依法治国的地位;节约资源的基本国策;我国的环境现状;保护环境 的基本国策;生态文明建设;可持续发展战略;资源节约型社会与环境友好型社会. 【分析】(1)此题旨在考查学生阅读分析提炼知识的能力 (2)本题考查环境污染与防治、环境保护,考查学生运用所学知识解决实际问题的能力. 【解答】(1)此题旨在考查学生阅读分析提炼知识的能力,依据多漫画的分析即可作答. (2)本题考查环境污染与防治、环境保护,考查学生运用所学知识解决实际问题的能力.从国 家的角度作答,故答案为: (1)我国城市黑臭水问题亟待解决. (2)解决城市黑臭水体问题,应从污 染源、污染水体处理,环保意识做起.具体 做法包括控制污染物排放、加大生产生活 污水处理,达标排放;调整产业结构;保护 城市湿地生态系统;加大宣传力度;加大 惩罚力度. 【2016·广州】25.任何社会都会存在 不公平现象.一些人遭遇不公,往往会问 计于网络,希望借助网络大V(一般指获得 个人认证,拥有众多粉丝的微博用户)的 关注和众多粉丝的强大传播力,形成舆论 压力,达到个人目的.阅读材料,回答问题. 网络空间是亿万民众的共同精神家园.请结合上述案例,运用网络交往和社会公平的有关知识,谈谈如何理智看待“有事找网络”这 一社会现象. 【考点】材料分析题;遵守网络规则;公平的含义与相对性;正确面对生活中的不公平现 象;依法行使建议权和监督权. 【分析】本题属于“互联网”这一知识点,需要在掌握遵守网络规则、公平的含义和相对 性、依法行使批评和建议权等相关知识的基础上,对材料进行深入的分析,从而得出结论. 【解答】这类题目的解题方法通常按照“是什么”、“为什么”、“怎么办”的思路去解 答,即“对与错”、“重要性、必要性”、“具体措施”等,掌握遵守网络规则、公平的含义和 相对性、依法行使批评和建议权等相关知识的基础上,对材料进行深入的分析,从而得出结 论. 故答案为: (1)学会自我保护,我们要正确认识网络的两面性,用其所长、避其所短,发挥网络交往 对生活的积极促进作用,享受健康交往带来的乐趣.必须提高安全防范意识,提高辨别觉察 能力,提高抗诱惑能力,才能保护自己,遵守网络规则,网络交往要遵守道德,上网更要遵守 法律. (2)我们要正确认识网络的两面性,用其所长、避其所短,发挥网络交往对生活的积极促 进作用,享受健康交往带来的乐趣.我们必须提高自己的安全防范意识,不轻易泄露个人资 料,不随意答应网友的要求.不断提高自己的辨别觉察能力,提高自己的抗诱惑能力,才能保 护自己. (3)我们要在宪法和法律许可的范围之内行使监督权,不得损害国家和集体他人的利益.