当前位置:首页>文档>陕西省西安中学2025-2026学年高三上学期质量检测生物试卷(三)_2025年12月_251222陕西省西安中学2025-2026学年高三上学期质量检测(三)(全科)

陕西省西安中学2025-2026学年高三上学期质量检测生物试卷(三)_2025年12月_251222陕西省西安中学2025-2026学年高三上学期质量检测(三)(全科)

  • 2026-04-08 07:52:54 2026-02-09 05:13:18

文档预览

陕西省西安中学2025-2026学年高三上学期质量检测生物试卷(三)_2025年12月_251222陕西省西安中学2025-2026学年高三上学期质量检测(三)(全科)
陕西省西安中学2025-2026学年高三上学期质量检测生物试卷(三)_2025年12月_251222陕西省西安中学2025-2026学年高三上学期质量检测(三)(全科)
陕西省西安中学2025-2026学年高三上学期质量检测生物试卷(三)_2025年12月_251222陕西省西安中学2025-2026学年高三上学期质量检测(三)(全科)
陕西省西安中学2025-2026学年高三上学期质量检测生物试卷(三)_2025年12月_251222陕西省西安中学2025-2026学年高三上学期质量检测(三)(全科)
陕西省西安中学2025-2026学年高三上学期质量检测生物试卷(三)_2025年12月_251222陕西省西安中学2025-2026学年高三上学期质量检测(三)(全科)
陕西省西安中学2025-2026学年高三上学期质量检测生物试卷(三)_2025年12月_251222陕西省西安中学2025-2026学年高三上学期质量检测(三)(全科)
陕西省西安中学2025-2026学年高三上学期质量检测生物试卷(三)_2025年12月_251222陕西省西安中学2025-2026学年高三上学期质量检测(三)(全科)
陕西省西安中学2025-2026学年高三上学期质量检测生物试卷(三)_2025年12月_251222陕西省西安中学2025-2026学年高三上学期质量检测(三)(全科)
陕西省西安中学2025-2026学年高三上学期质量检测生物试卷(三)_2025年12月_251222陕西省西安中学2025-2026学年高三上学期质量检测(三)(全科)
陕西省西安中学2025-2026学年高三上学期质量检测生物试卷(三)_2025年12月_251222陕西省西安中学2025-2026学年高三上学期质量检测(三)(全科)
陕西省西安中学2025-2026学年高三上学期质量检测生物试卷(三)_2025年12月_251222陕西省西安中学2025-2026学年高三上学期质量检测(三)(全科)
陕西省西安中学2025-2026学年高三上学期质量检测生物试卷(三)_2025年12月_251222陕西省西安中学2025-2026学年高三上学期质量检测(三)(全科)
陕西省西安中学2025-2026学年高三上学期质量检测生物试卷(三)_2025年12月_251222陕西省西安中学2025-2026学年高三上学期质量检测(三)(全科)
陕西省西安中学2025-2026学年高三上学期质量检测生物试卷(三)_2025年12月_251222陕西省西安中学2025-2026学年高三上学期质量检测(三)(全科)
陕西省西安中学2025-2026学年高三上学期质量检测生物试卷(三)_2025年12月_251222陕西省西安中学2025-2026学年高三上学期质量检测(三)(全科)

文档信息

文档格式
docx
文档大小
1.051 MB
文档页数
11 页
上传时间
2026-02-09 05:13:18

文档内容

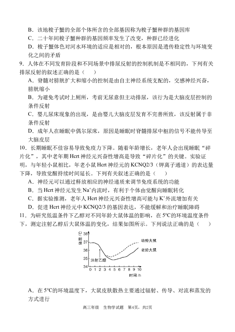
西安中学 2026 届高三质量检测考试(三) 生物学试题 时间:75分钟 满分:100分 一、单项选择题(每小题3分,共48分) 1.内质网质量控制(ERQC)机制可防止前体蛋白错误折叠、累积,必要时通过 启动自噬通路清除错误蛋白。下列叙述错误的是( ) A.ERQC机制的启动需要的能量主要来自线粒体 B.溶酶体可参与动物细胞中错误蛋白的清除 C.细胞骨架与该机制中的物质运输密切相关 D.大肠杆菌也存在内质网质量控制机制 2.某科研团队发现:肠道微生物分泌的信号分子能调控小肠上皮细胞的Na+-K+泵 活性,进而影响葡萄糖吸收速率。如图为小肠上皮细胞通过SGLTs(钠驱动的葡 萄糖载体蛋白)和Na+-K+泵转运葡萄糖、Na+和K⁺的过程。下列相关叙述错误的是 ( ) A.葡萄糖通过SGLTs进入细胞的过程与细胞膜两侧Na+浓度有关,属于协助扩 散 B.Na+-K+泵既具有运输功能,又能催化ATP水解,体现了蛋白质功能的多样 性 C.细胞内 K⁺浓度高于细胞外,K+通过Na+-K+泵进入细胞的方式为主动运输 D.若肠道微生物信号分子能增强Na+-K+泵活性,则可以促进小肠上皮细胞吸 收葡萄糖 3.下图表示人体内葡萄糖的部分代谢过程。下列说法错误的是( )A.人体某些细胞中的①过程可以不消耗能量 B.⑥过程的存在能说明细胞呼吸是生物体代谢的枢纽 C.③过程可以产生人体的某些非必需氨基酸 D.人体成熟红细胞能进行图中的①②④过程 4.以测定的 O 吸收量与释放量为指标,研究温度对某阳生植物光合作用与呼吸 2 作用的影响,结果如图所示。下列分析不正确的是( ) A.光照相同时间,在 40℃条件下植物积累的有机物量最多 B.两曲线的交点 A、C 表示补偿点 C.低于 A 点对应温度时,植物呼吸作用消耗的有机物随温度升高而增加 D.光照相同时间,A、B 两点植物光合作用制造的有机物的量相等 5.短串联重复序列(STR)是染色体DNA中由2~6个碱基串联重复的结构。STR 序列中A—T碱基对所占比例均大于C—G碱基对所占比例。将某21三体综合征 患儿及其父母的21号染色体上某一位点基因的STR进行扩增,结果如图所示。下 列有关叙述正确的是( ) 高三年级 生物学试题 第2页,共2页注:M为标准DNA片段,n1、n2、n3、n4为STR的不同重复次数。 A.与等长DNA相比,含STR的DNA稳定性更强,其转录发生于细胞核 B.该患儿与其父亲或母亲体内该位点的基因的STR重复次数是完全相同的 C.该患儿可能是初级卵母细胞分裂时21号染色体未分离导致的 D.21三体综合征患者细胞中染色体此种结构异常可用光学显微镜观察到 6.科学家通过秋水仙素诱导获得了同源四倍体水稻,其育性相较于二倍体水稻显 著降低。某基因(其显隐性基因分别记为W和w)负责合成直链淀粉,只有存在 W基因的水稻才能合成直链淀粉。不考虑突变和染色体互换,下列叙述错误的是 ( ) A.相比二倍体水稻,四倍体水稻的籽粒通常更加硕大 B.若要保留四倍体水稻的优良性状,需通过连续自交进行留种繁殖 C.基因型为Wwww的个体,其产生的次级精母细胞中可能不含W基因 D.若同源染色体两两联会,WWww的个体自交,子代中不能合成直链淀粉的 个体占1/36 7.S型肺炎链球菌菌株是导致人类肺炎和小鼠败血症的病原体,而R型菌株却无 毒性。下列有关叙述错误的是( ) A.S型细菌与R型细菌在结构上的区别之一是S型细菌的菌体有多糖类的荚膜 B.将R型细菌与加热杀死的S型细菌混合后所得到的大量S型细菌都是由R 型细菌转化而来 C.肺炎链球菌能利用自身的核糖体合成蛋白质 D.加热致死的S型细菌与R型细菌混合使R型细菌转化成S型细菌属于基因 重组 8.研究人员对某地梭子蟹的体色深浅进行了研究,发现经过二十年的水体治理, 不同体色的梭子蟹所占的比例发生了很大的变化(结果见下图)。假设浅体色、 中间体色和深体色的基因型分别为aa、Aa、AA,下列相关说法中错误的是( ) A.不同体色的梭子蟹在对空间和资源的竞争中不断发展、协同进化B.该地梭子蟹的全部个体所含的全部基因称为梭子蟹种群的基因库 C.二十年间梭子蟹种群的基因频率发生了改变,种群已经进化 D.梭子蟹体色对河水环境的适应是相对的,根本原因是遗传稳定性与环境变 化之间的矛盾 9.人体在不同发育阶段和不同场景中排尿反射的控制机制是不相同的,下列有关 排尿反射的叙述正确的是( ) A.脊髓对膀胱扩大和缩小的控制是由自主神经系统支配的,交感神经兴奋, 膀胱缩小 B.为避免考试时上厕所,考前无尿意但主动排尿,该行为是大脑皮层控制的 条件反射 C.婴儿尿床现象的出现,是由婴儿大脑皮层发育不完善所致,该反射属于非 条件反射 D.成年人在睡眠中偶尔尿床,原因是睡眠时脊髓排尿中枢的信号不能传导至 大脑皮层 10.长期睡眠不佳容易导致免疫力下降。随着年龄增长,老年人会出现睡眠“碎 片化”,其中老年期Hcrt神经元兴奋性增高是导致“碎片化”的关键。实验证 明,与年轻小鼠相比,年老小鼠Hcrt神经元的KCNQ2/3(钾离子通道)的表达量 下降,导致觉醒持续时间延长。下列有关叙述正确的是( ) A.神经元可以通过释放相应的神经递质来调节免疫系统的功能 B.当Hcrt神经元发生Na+内流时,有利于个体由觉醒向睡眠转化 C.据实验推测,老年人Hcrt神经元兴奋性增高可能与K+外流增加有关 D.促进Hcrt神经元中KCNQ2/3的基因表达,不能缓解和治疗睡眠障碍 11.为研究低温条件下乙醇对不同年龄大鼠体温的影响,在5℃的环境温度条件 下,测定注射乙醇后大鼠体温的变化,结果如图所示。下列说法正确的是( ) A.在5℃的环境温度下,大鼠皮肤散热主要通过辐射、传导、对流和蒸发的 方式进行 高三年级 生物学试题 第4页,共2页B.与环境温度为25℃相比,大鼠在5℃温度条件下垂体分泌的抗利尿激素会 减少 C.低温刺激大鼠皮肤冷觉感受器产生兴奋,经传入神经传至大脑皮层的体温 调节中枢 D.大鼠机体在1 h~3 h的产热量小于散热量,乙醇引起的体温变化对幼龄大 鼠影响较小 12.如图表示调控拟南芥开花的4 条途径,其中自主途径受自身内部发育状况的 影响,CO、FLC、FT、SOC1 以及 AP1 和LFY 代表途径中的基因, “→”表示促 进,“ ”表示抑制,下列叙述正确的是( ) A.春化途径可促进 FT 和 SOCl 的表达,进而调控拟南芥开花 B.LFY 基因发生甲基化修饰后,不会影响对拟南芥开花的调控 C.光周期途径和春化途径都是植物对环境中光信号作出反应 D.图中拟南芥开花只受激素调节和环境因素调节的作用 13.1994年分布在我国青海湖周边地区的普氏原羚不足300只。由于采取了一系 列保护措施,到2024年数量已达到3400余只。下列相关叙述错误的是( ) A.普氏原羚的迁入率与迁出率属于种群水平的研究问题 B.普氏原羚的种群密度可以直接反映其种群数量的变化趋势 C.性别比例主要通过影响出生率进而影响普氏原羚种群密度 D.种群密度是种群数量特征中最基本的特征 14.为研究噪音污染对动物行为和健康产生的影响,研究人员将斑胸草雀的雏鸟 在孵化前、后暴露在有交通噪音的声学环境中一段时间,部分结果如图。下列叙 述错误的是( )A.对照组的声学环境可以使用录制的正常斑胸草雀的鸣唱声音 B.长期交通噪音会降低斑胸草雀子代数量,属于非密度制约因素 C.与对照组相比,雏鸟孵化后暴露在噪音环境中,以上两项指标均有显著差 异 D.据图推测,长期噪音干扰会导致斑胸草雀平均寿命缩短,种群密度下降 15.某农场中的能量流动简图如图所示,字母表示能量,其中b 和c 分别表示第 2 2 二、第三营养级的同化量,e 和e 分别表示第二、第三营养级从饲料中获取的能 1 2 量。下列叙述正确的是( ) A.流经该农场的总能量为a B.c 与c 中的能量都来自b 1 3 2 C.该农场的能量金字塔一定呈上窄下宽的金字塔形 D.第二和第三营养级之间的能量传递效率为c /(b +e )×100% 2 2 1 16.红树林中生长着各种植物:抗风浪、耐贫瘠的白骨壤生长在靠海的外缘林 带,红海榄生长在风浪较小的陆地边缘上。在阳光充足的上层,高大的红树会长 出茂盛的枝叶,吸引多种昆虫,成为林中鸟类的食物来源,红树林底部生活着丰 富的底栖动物,吸引着鹭和鹬等鸟类藏身其中。下列叙述错误的是( ) 高三年级 生物学试题 第6页,共2页A.题干中描述了红树林群落的水平结构和垂直结构 B.红树林中各种鸟类生态位的分化,有利于资源的充分利用 C.各种植物自身特点是植物和无机环境协同进化的结果 D.红树林是一种湿地生态系统,其间接价值远大于直接价值 二、填空题(共52分) 17(10分).海天牛以绿藻等藻类为食,并盗取叶绿体演化出一种特殊结构—— 盗质体,从而利用光合作用应对饥饿等营养胁迫。图1示海天牛细胞中光合作用的 部分过程。请回答下列问题。 (1)叶绿体中光合色素主要吸收 光。过程①表示 。光反应为卡尔文循环 提供的物质有 。 (2)研究人员让海天牛吸入一定量的18O标记的氧气。一段时间后,在海天牛体内检 测到了含18O的糖类。请写出氧原子可能的转移路径:18O → (用文字和箭 2 头表示)。 (3)与绿藻细胞相比,海天牛细胞缺乏叶绿体所需的许多核编码基因。为维持盗质 体内叶绿体的功能,海天牛可能采取的机制有 。 ①吸收并整合绿藻中光合作用相关的核基因 ②激活自身免疫系统以保护叶绿体免受降解 ③通过行为调节(如主动避光)避免叶绿体受强光损伤④其线粒体可为光合作用提供NADPH (4)盗质体膜上的P2X4和质子泵共同调控光合作用(图2)。质子泵将H+泵入腔 内,与CO 2-反应生成光合作用底物 ,叶绿体产生的ATP可激活P2X4。已知 3 盗质体腔内酸性过强会影响P2X4活性,为探究P2X4对光合作用的影响,研究者 分别用ATP、伊维菌素(P2X4增强剂)、Cu2+(P2X4拮抗剂)进行处理,结果如 图3。结合图2、3,请从稳态和平衡角度推测P2X4的作用是 。 18(10分).小麦、水稻等大多数植物,在暗反应阶段,CO 被C 固定以后形成 2 5 C ,进而被还原成(CH O),这类植物称为C 植物。玉米、甘蔗等原产在热带的 3 2 3 植物,CO 中的碳首先转移到草酰乙酸(C )中,然后转移到C 中,这类植物称 2 4 3 为C 植物,其固定CO 的途径如图1所示。芦荟、仙人掌等植物白天气孔关闭, 4 2 夜间气孔开放,这类植物在进化中形成了特殊的固碳途径,如图2所示,这类植物 称为CAM植物。(注:PEP羧化酶比RuBP羧化酶对CO 的亲和力更强) 2 (1)C 植物中固定CO 的酶是 。 4 2 (2)C 植物的光反应发生在 细胞,在炎热干旱夏季的中午,C 植物的CO 补 4 4 2 偿点 (填“大于”“等于”或“小于”)C 植物。 3 (3)暗反应中CO 的固定是由Rubisco酶催化进行的,但O 也能与CO 竞争Rubisco 2 2 2 酶,使该酶催化C 和O 反应,生成C 和CO ,此反应过程消耗ATP和NADPH, 5 2 3 2 被称为光呼吸。光呼吸过程中,C 和O 反应的场所为 ;该过程使细胞内 5 2 O /CO 的值降低,有利于生物适应 (填“高氧低碳”或“低氧高碳”)的环 2 2 境。 (4)CAM植物参与卡尔文循环的CO 直接来源于 过程。某实验小组欲通过颜 2 色变化来验证CAM植物中淀粉的含量变化规律,分别于白天和夜晚每隔一定时间 取该类植物的叶片,经脱色处理后滴加碘液,理论上观察到的结果是 。 19(12分).甘蓝型油菜属于十字花科植物,是两性花,其雄性不育和雄性可育 高三年级 生物学试题 第8页,共2页是一对相对性状,育性既可以由复等位基因决定,也可由两对等位基因决定。 Ⅰ.研究人员利用雄性不育品系1(A A )分别与育性正常的品系2(A A )、品系3 1 1 2 2 (A A )进行如下实验。回答下列问题: 3 3 组别 杂交 F 1 实验一 品系1×品系2 全为雄性不育 实验二 品系1×品系3 全为育性正常 (1)用雄性不育品系做杂交育种,在操作上最显著的优点是 。 (2)根据实验一、二的结果判断A 、A 、A 之间的显隐性关系是 ,只考虑这 1 2 3 组等位基因(A 、A 、A ),有 种基因型。 1 2 3 Ⅱ.研究人员用雄性不育植株与雄性可育植株杂交(雄性育性由基因M、m控制, 且只有基因M的表达受另一对等位基因B、b影响),再让F 中雄性可育植株自 1 交,结果如下表所示。回答下列问题: 亲本 F F 1 2 母本:雄性不育植株 雄性不育植株:雄 雄性不育植株:雄性可育植株 父本:雄性可育植株 性可育植株=1:1 =3:13 (3)基因B和b的根本区别是 ,B/b基因对M基因表达的影 响表现为 。 (4)F 中雄性可育植株的基因型有 种,若要利用F 中的两种可育株杂交,使 2 2 后代雄性不育株的比例最高,则双亲的基因型分别为 。 20(10分).长期熬夜会扰乱人体内分泌节律,不仅影响血糖稳态,也会影响脂 质代谢。图甲表示人体血糖调节的部分机制。 (1)夜间,正常人体处于空腹状态,当血糖浓度略有下降时,胰岛分泌的 (填 激素名称)增多,该激素通过促进 等过程,使血糖水平维持在正常范围。(2)研究发现,长期熬夜会引发交感神经持续兴奋,交感神经兴奋会抑制 (填 “胰岛A细胞”或“胰岛B细胞”)的活动,进而影响血糖稳态。为验证熬夜对 血糖的影响,研究者检测了正常作息组和熬夜组志愿者在夜间某时间点的血糖浓 度,结果如图乙所示。综合甲乙两图分析,推测熬夜组出现此现象的可能原因是 。 (3)长期熬夜会加重肝脏负担,机体血浆中大多数蛋白质由肝细胞合成。肝细胞合 成功能发生障碍时,组织液的量_____(填“增加”或“减少”)。长期熬夜还会 导致肝脏对激素①的敏感性下降,以及胆汁酸合成紊乱,胆汁酸能促进脂肪的消 化吸收和抑制脂肪的分解代谢。由此推测,长期熬夜会大大增加熬夜个体患_____ 的风险。 A.低血糖、消瘦 B.高血糖、肥胖 C.高血压、消瘦 (4)综合上述信息,下列关于长期熬夜对血糖稳态影响的叙述,错误的是______。 A.是神经和体液共同调节的结果 B.长期熬夜可能导致肝脏细胞膜上的胰岛素受体数量减少 C.肾上腺髓质分泌的激素在夜间异常升高 D.熬夜时机体供能不足,因此血糖水平降低 21(10分).稻虾共养系统是我国南方常见的生态农业模式,该系统以水稻种植 为基础,在稻田中养殖克氏原螯虾(俗称“小龙虾”),虾以稻田中的杂草、浮 游生物、害虫为食,虾粪可作为水稻的肥料,形成“稻护虾、虾促稻”的良性循 环。回答下列问题: (1)克氏原螫虾于1929年引入南京,初始一段时间种群数量迅速上升。从种群特征 角度分析,导致小龙虾数量上升的直接原因是 。稻虾共养可实现“一田双 收,生态环保”的双赢局面,体现了生物多样性的 价值。 (2)稻虾共养系统中,水稻固定的太阳能除用于自身生长、发育和繁殖外,其余能 量的去向是 。水稻参与碳循环的主要途径有光合作用、呼吸作用,还有 (答出1点即可)。 (3)在稻田里施用无机肥,干预了稻田系统的 过程。稻虾共养能减少农药 和无机肥的使用,原因是 。 (4)为探究不同密度下稻虾共作系统的生态效益,研究者设置3个龙虾投放密度组 (D1:15尾/m2、D2:30尾/m2、D3:45尾/m2),测定水稻产量、土壤速效氮含 量(能被作物快速吸收的氮)及龙虾存活率。结果显示:D2组水稻产量最高,土 壤速效氮含量显著低于D1组;D3组土壤速效氮含量高于D2组,但龙虾存活率显 著下降。下列叙述正确的有 。 高三年级 生物学试题 第10页,共2页A.D2组水稻产量最高,可能因龙虾活动促进了土壤养分循环,且未过度干扰 水稻生长 B.D3组龙虾存活率下降,可能是高密度导致溶氧量不足或病害传播加剧 C.D3组土壤速效氮含量升高,说明龙虾排泄物分解速率超过水稻吸收能力 D.若进一步增加密度至D4(60尾/m2),则养殖过程中龙虾总生物量仍会持 续增长